Fig. 6
From: Joint channel estimation and feedback with masked token transformers in massive MIMO systems

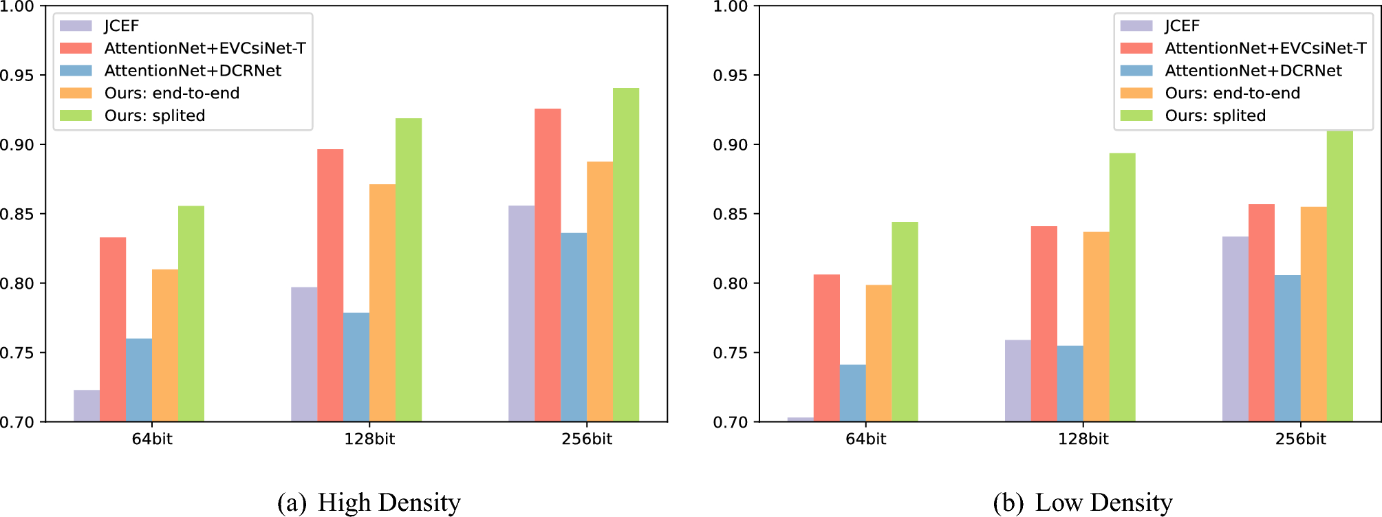
Quantitative comparison of joint channel estimation and channel compression on the dataset. Higher is better.
From: Joint channel estimation and feedback with masked token transformers in massive MIMO systems

Quantitative comparison of joint channel estimation and channel compression on the dataset. Higher is better.