Fig. 10

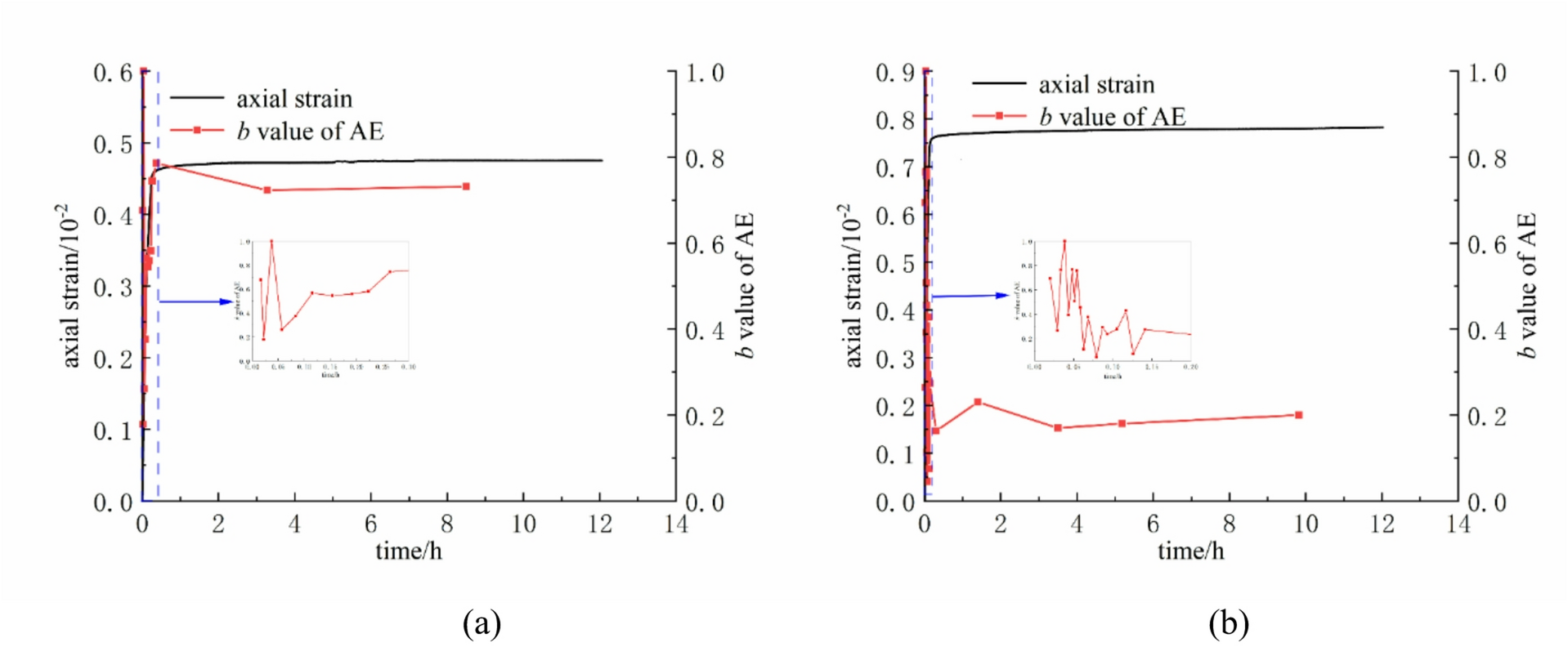
The change curve of creep acoustic emission b value under the first-order stress. (a) Freeze-thaw 0 times rock sample, (b) Freeze-thaw 90 times rock sample.

The change curve of creep acoustic emission b value under the first-order stress. (a) Freeze-thaw 0 times rock sample, (b) Freeze-thaw 90 times rock sample.