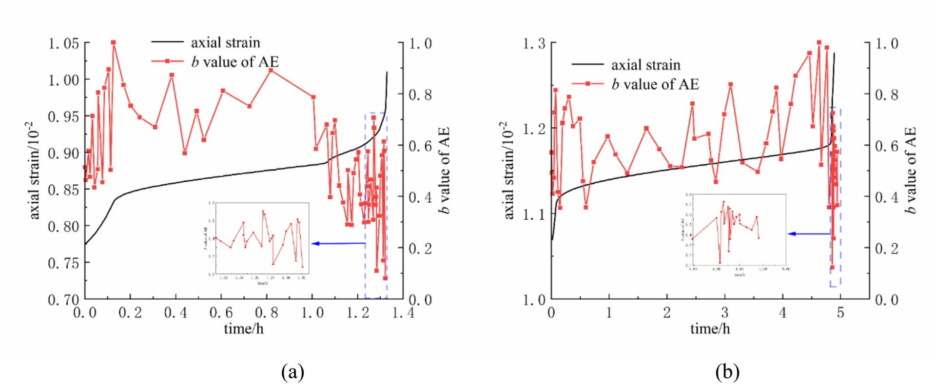
Fig. 11

Variation curve of creep acoustic emission b value under the fifth-order stress. (a) Freeze-thaw 0 times rock sample, (b) Freeze-thaw 90 times rock sample.

Variation curve of creep acoustic emission b value under the fifth-order stress. (a) Freeze-thaw 0 times rock sample, (b) Freeze-thaw 90 times rock sample.