Fig. 2
From: Novel nomogram and decision curve analysis for predicting head and neck skin cancer risk

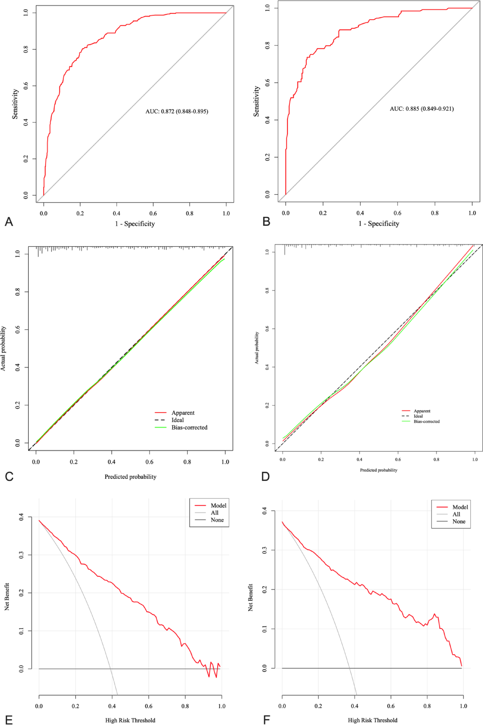
Performance verification plots of the original nomogram. (A) Receiver Operating Characteristic (ROC) curve of the original nomogram in the training cohort, with an Area Under the Curve (AUC) of 0.872 (95% confidence interval: 0.848–0.895; (A, B) ROC curve of the original nomogram in the validation cohort, with an AUC of 0.885 (95% confidence interval: 0.849–0.921; (B, C) Calibration curve of the original nomogram in the training cohort (evaluating the agreement between predicted and actual risks); (D) Calibration curve of the original nomogram in the validation cohort; (E) Decision Curve Analysis (DCA) of the original nomogram in the training cohort (comparing the model’s net benefit with “screen all” and “screen none” strategies); (F) DCA of the original nomogram in the validation cohort.