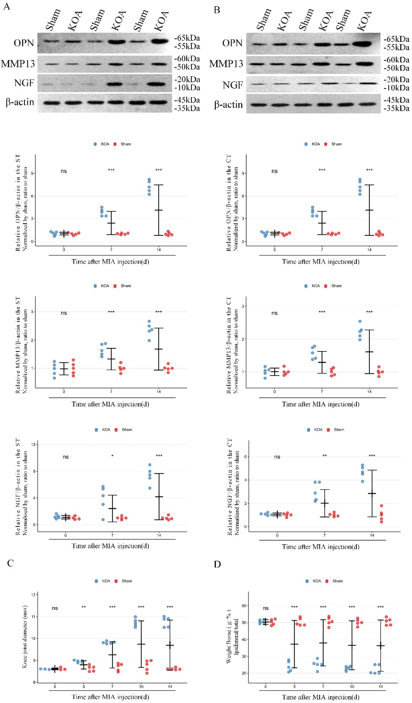
Fig. 1

MIA-induced early synovitis and functional impairment in rat knees. (A) Representative Western blots and quantification of OPN, MMP13, and NGF in synovium. (B) Protein expression in chondrocytes. Data normalized to sham (dashed line). (C) Progressive joint swelling shown by transverse knee diameter at 90° flexion. (D) Impaired weight-bearing capacity of the ipsilateral hindlimb. Data are presented as mean ± SD of 5 biological replicates; ** P < 0.01 vs. sham.