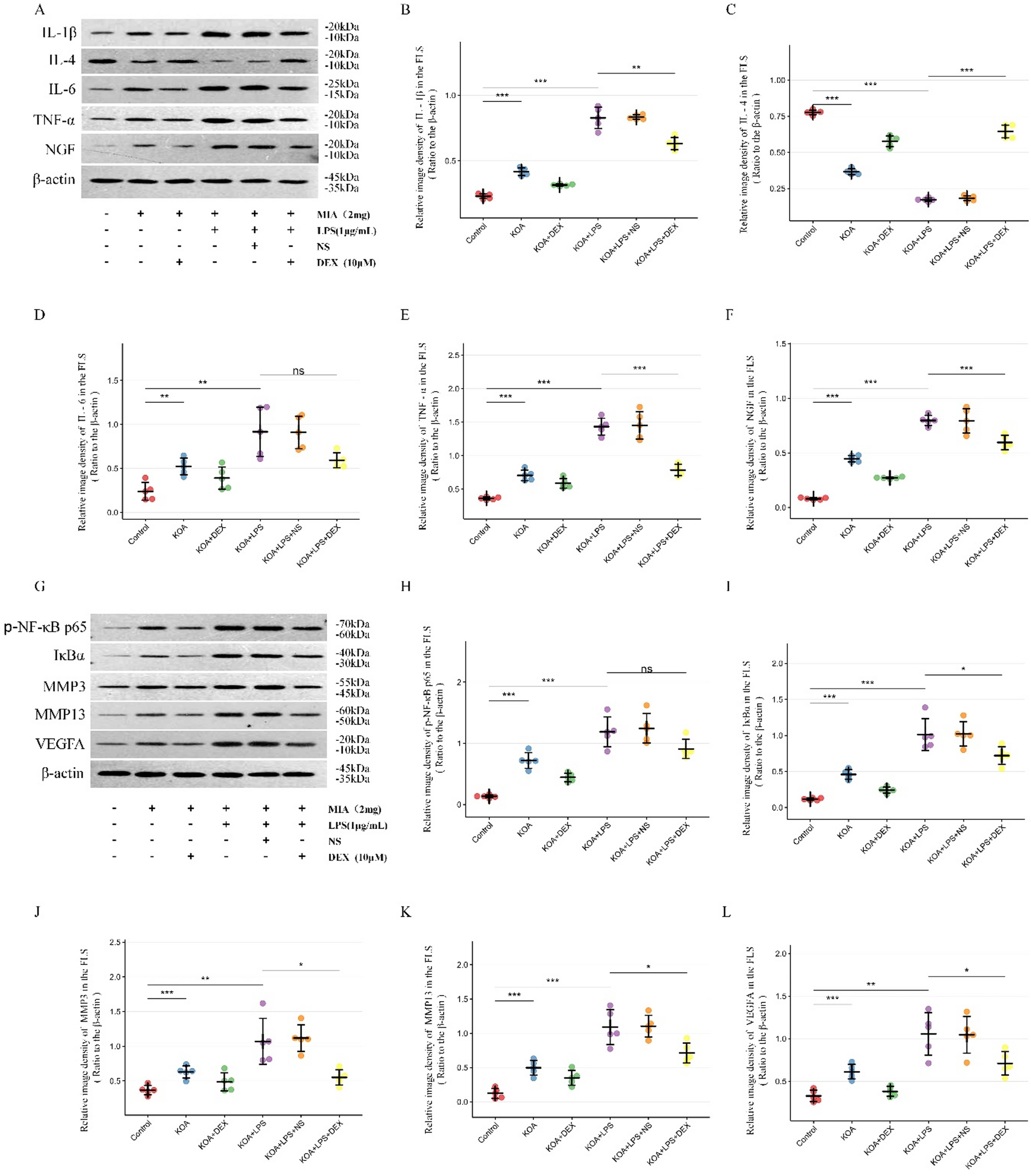
Fig. 5

Dexamethasone modulates inflammatory mediators, the NF-κB signaling pathway, and its downstream effectors. (A) Representative Western blots of indicated proteins. (B-F) Quantitative analysis of: (B) IL-1β, (C) IL-4, (D) IL-6, (E) TNF-α, (F) NGF. (G) Representative Western blots of NF-κB pathway components. (H–L) Quantitative analysis of: (H) p-NF-κB p65, (I) IκBα, (J) MMP3, (K) MMP13, (L) VEGFA. Group designations: 1: MIA- and DEX-; 2: MIA + and DEX-; 3: MIA + and DEX + ; 4: MIA + and LPS + ; 5: MIA + and LPS + and NS + ; 6: MIA + and LPS + and DEX + . Data are presented as mean ± SD of 5 biological replicates; **P < 0.01, *** P < 0.001.