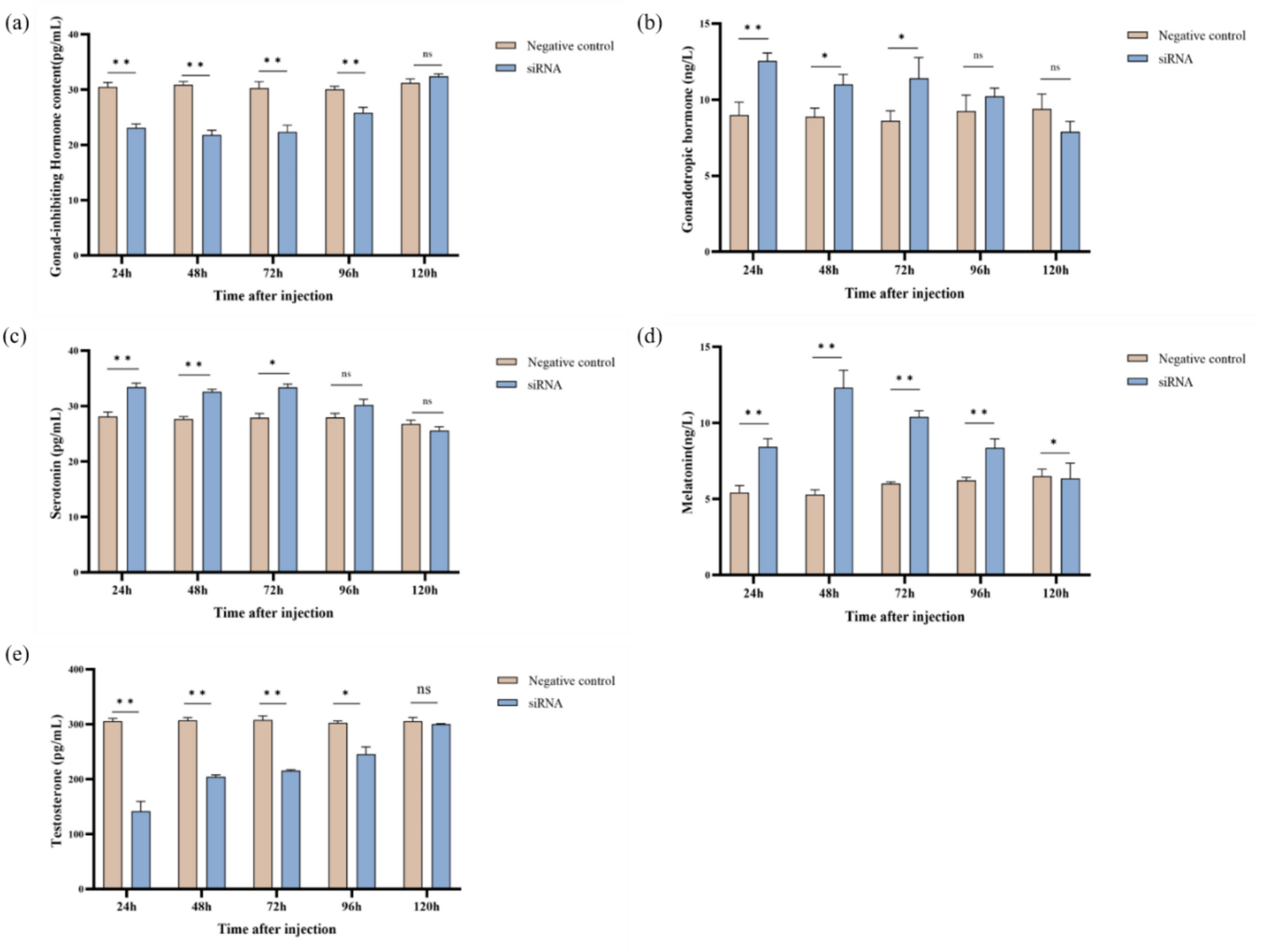
Fig. 8

Concentration of gonadal related hormones at different time points after injection of siRNA in male Procambarus clarkii. (a) Gonad-inhibiting Hormone, (b) Gonadotropic hormone, (c) Serotonin, (d) Melatonin, (e) Testosterone. The data were presented as mean ± SD (n = 3). * indicates significant difference (P < 0.05). * * indicates that the difference is high significant (P < 0.01).