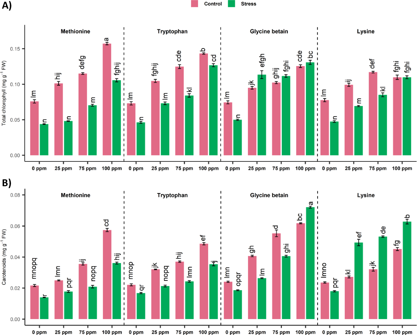
Fig. 4

Effect of methionine, tryptophan, glycine betaine and lysine foliar spray on (A) total chlorophyll and (B) carotenoids contents of Zea mays plants grown under salt stress (120 mM NaCl). Data presented in the graphs is the mean of three replicates ± standard errors. Bars sharing similar letters are not significantly different at p < 0.05.