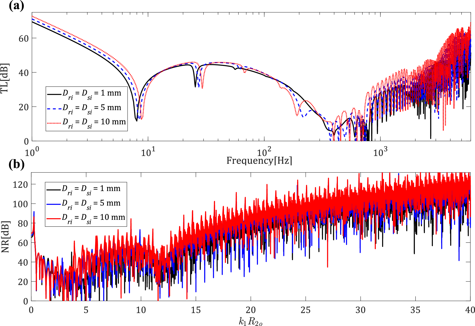
Fig. 8

The effects of different widths (\({D}_{ri}={D}_{si}\) = 1, 5, 10 mm) of ring and string stiffeners on: (a) sound transmission loss and (b) noise reduction. \({B}_{ri}={B}_{si}\) = 50 mm, \({h}_{ri}={h}_{si}\) = 1 mm.

The effects of different widths (\({D}_{ri}={D}_{si}\) = 1, 5, 10 mm) of ring and string stiffeners on: (a) sound transmission loss and (b) noise reduction. \({B}_{ri}={B}_{si}\) = 50 mm, \({h}_{ri}={h}_{si}\) = 1 mm.