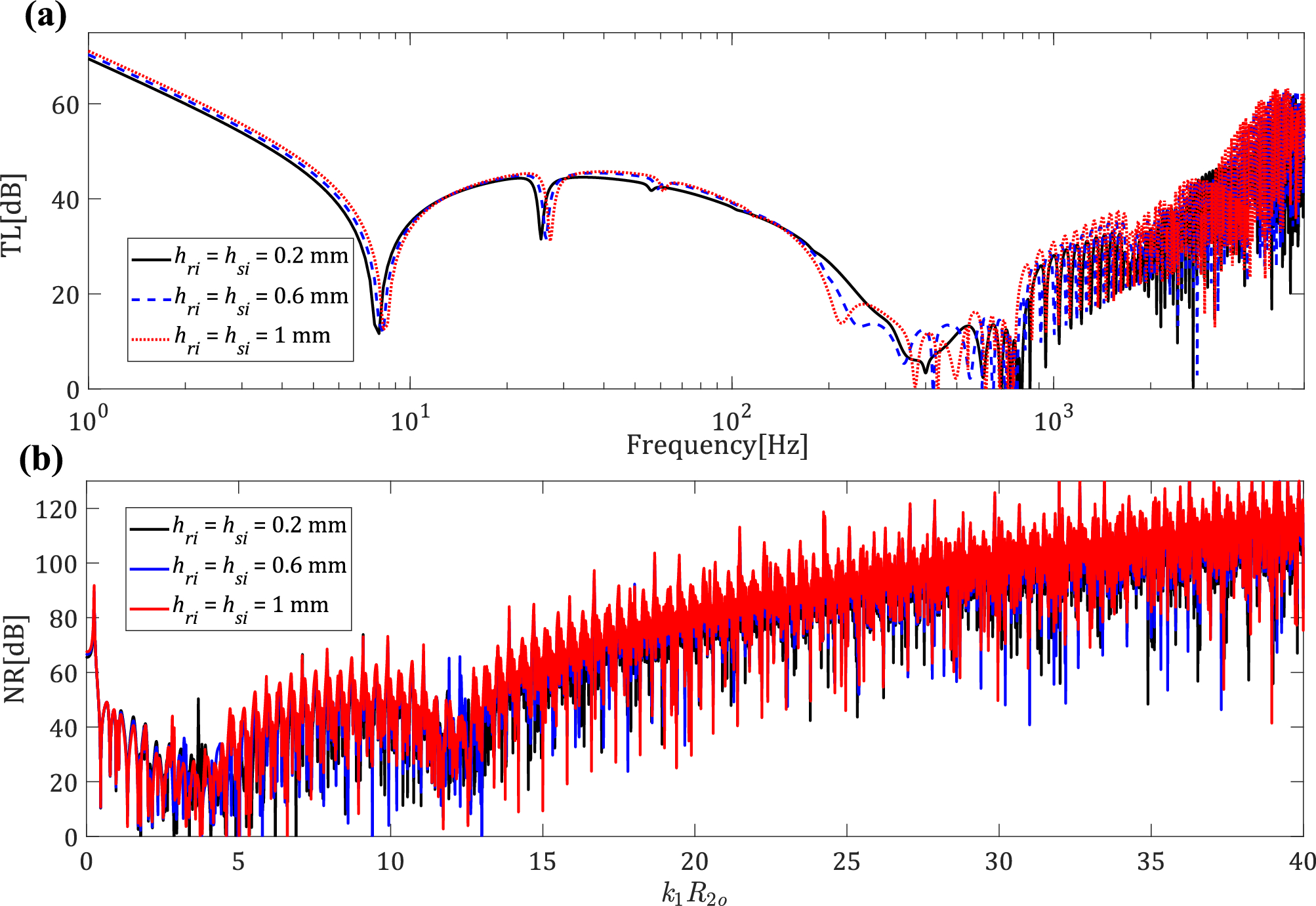
Fig. 9

The effects of different thicknesses (\({h}_{ri}={h}_{si}\) = 0.2, 0.6, 1 mm) of ring and string stiffeners on: (a) sound transmission loss and (b) noise reduction. \({B}_{ri}={B}_{si}\) = 50 mm, \({D}_{ri}={D}_{si}\) = 5 mm.

The effects of different thicknesses (\({h}_{ri}={h}_{si}\) = 0.2, 0.6, 1 mm) of ring and string stiffeners on: (a) sound transmission loss and (b) noise reduction. \({B}_{ri}={B}_{si}\) = 50 mm, \({D}_{ri}={D}_{si}\) = 5 mm.