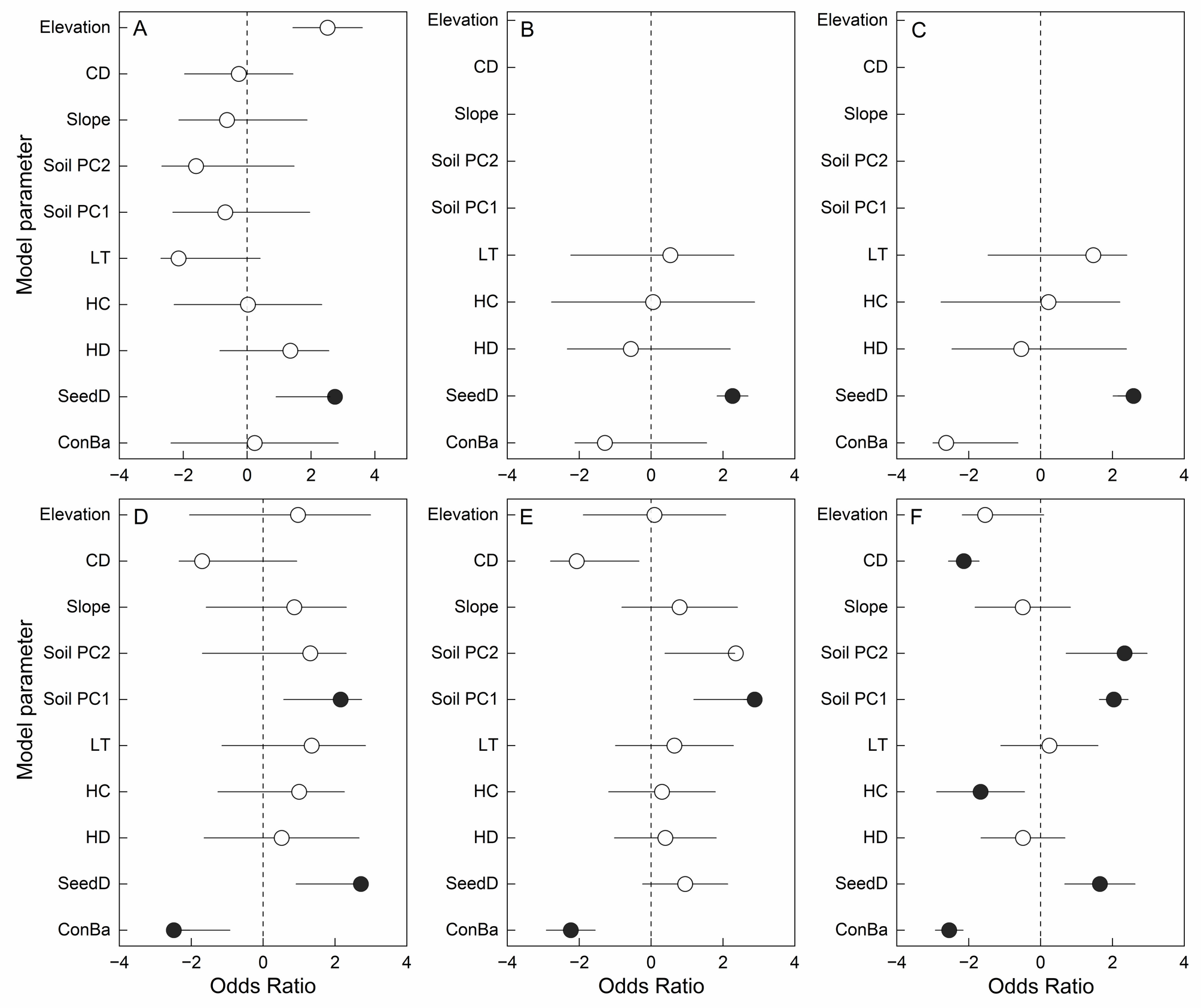
Fig. 5

Odds ratios of seedling survival rate at the age level for optimal models. Circles represent odds ratios for each parameter, with 95% confidence limits (CL) indicated by horizontal lines. Filled circles denote odds ratios that are significantly different from 0. Refer to Table 3 for variable abbreviations.