Fig. 3
From: Opportunistic screening of type 2 diabetes with deep metric learning using electronic health records

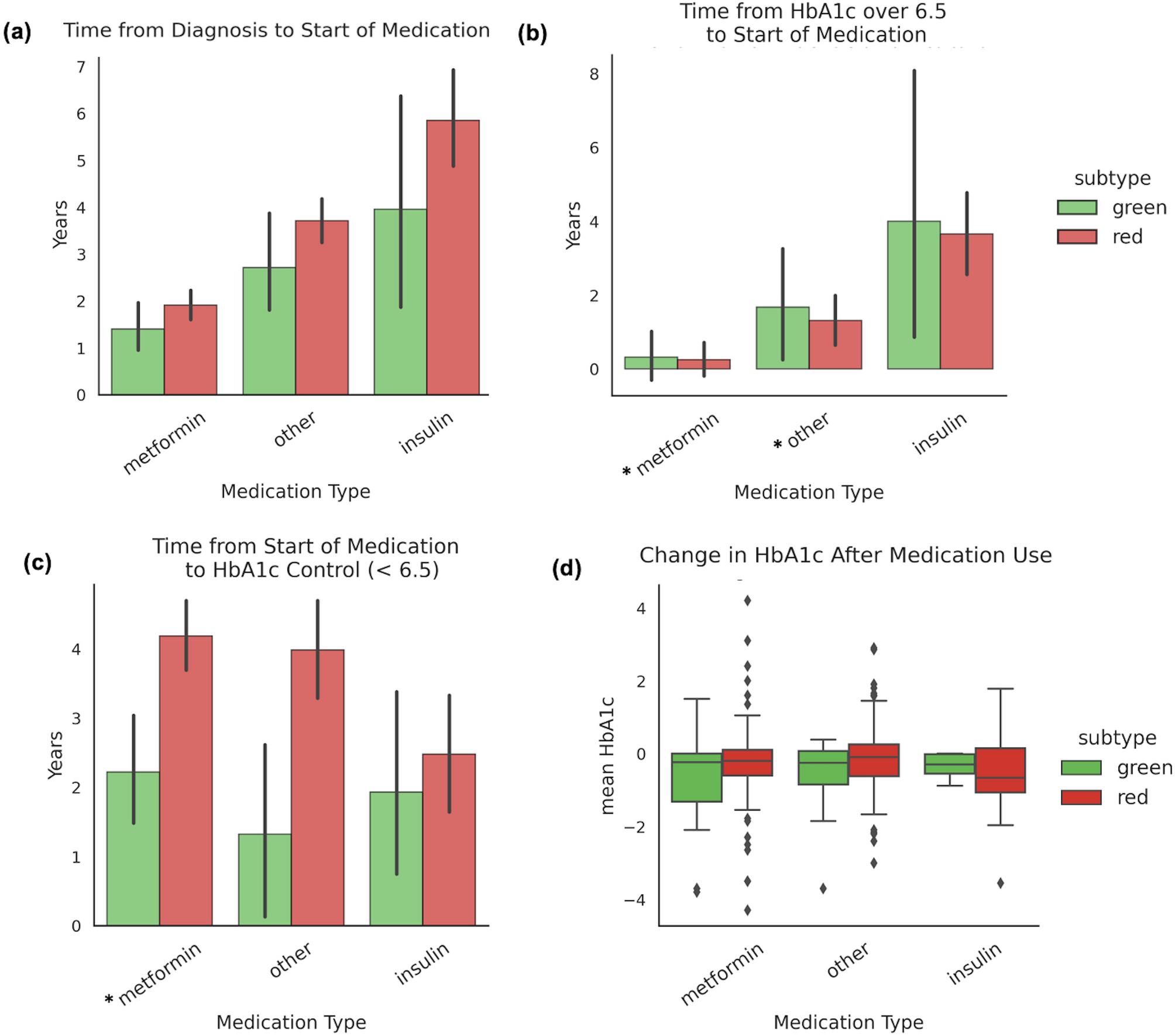
T2D medication usage times and effect on HbA1c levels and across AoU PopControl subtypes. (a) Time from T2D diagnosis date to start of medication use (b) time from first measurement of HbA1cāā„ā6.5 to the start of medication (c), time from the start of medication to the first time when all HbA1cā<ā6.5 afterward (d), change in HbA1c levels in response to start of medication over 3 months (pre-medication: [ā 12, 0] months; post-medication: [3, 15] months). The bar plot error bars represent 95% confidence intervals. Medication groups that present significant differences at \(\:\alpha\:=0.05\) are indicated by *.