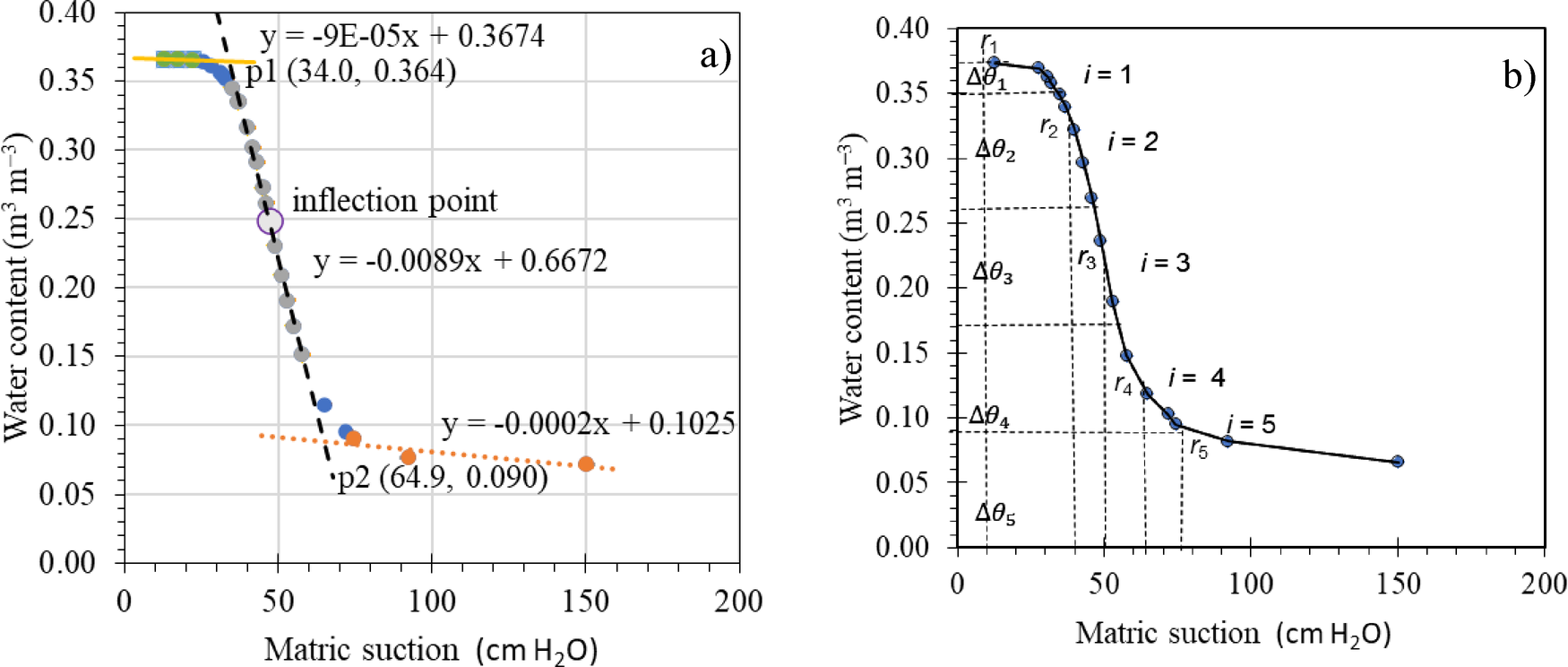
Fig. 3

Soil water retention curve: a) determination of characteristic points p1 (34.0, 0.364) and p2 (64.9, 0.090) from the intersection of lines fitted into selected areas of empirical data with the inflection point and regression equations, b) determination of the mean radii of capillaries ri and the corresponding water content Δθi, i = 1.2,…,5. The data used in the example are taken from the work of Brooks and Corey51.