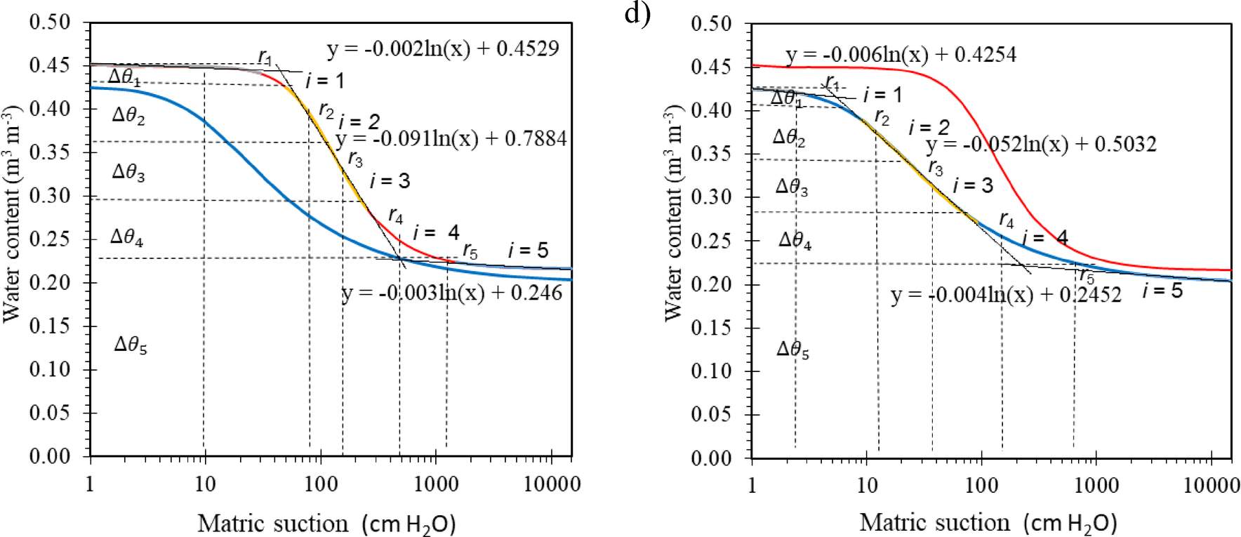
Fig. 4


Drying and wetting retention curves of two sandy soils: Edosaki soil with initial dry density of 1220 kg m–3 (a) and with initial dry density of 1350 kg m–3 (b); Chiba soil with initial dry density of 1250 kg m–3 (c) and with initial dry density of 1420 kg m–3 (d) with medium capillary radii, ri and the corresponding water contents, Δθi, i = 1.2,…,5, and with linear equations fitted into the individual zones with a boundary effect stage, a transition stage with an inflection point, and a residual stage. The experimental data are derived from Gallage et al.45.