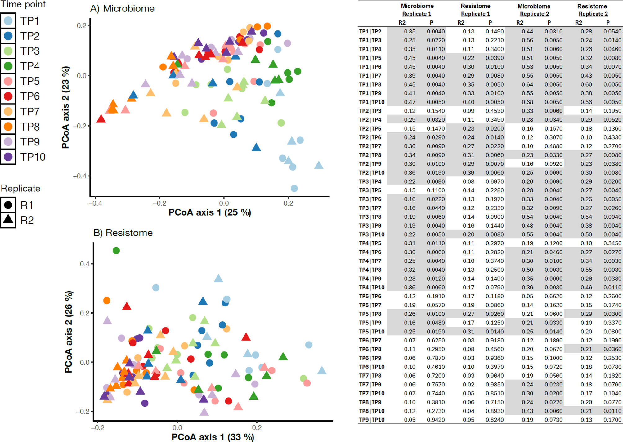
Fig. 1

Principal coordinate analysis plots (left) depicting Bray-Curtis distances calculated for each pair of samples for microbiome (A) and resistome (B) in fecal samples from gilts (n = 12; 6/replicate) in an organic farming operation. ● First replicate, ▲ Second replicate. Time effects (PERMANOVA) for microbiome and resistome for each replicate (right). Significant (P ≤ 0.05) differences are highlighted. TP1: Arrival/quarantine start, TP2: Introduction to training pen, TP3: Introduction to breeding pen, TP4: breeding pen 3 d, TP5: breeding pen 7 d, TP6: breeding pen 10 d, TP7: Artificial insemination (AI), TP8: AI plus 3 d, TP9: AI plus 7 d, TP10: AI plus 10 d.