Fig. 4

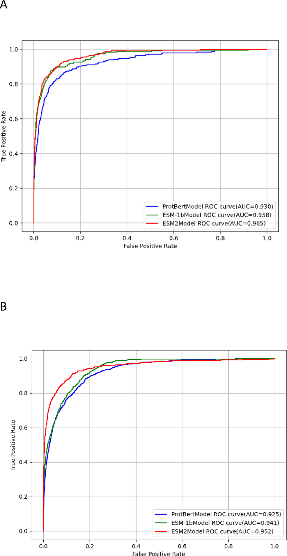
Comparison of the ROC curves of the three pretrained models ProtBert, ESM-1b, and ESM-2 on two test datasets. A: ATP-17, B:ATP-41

Comparison of the ROC curves of the three pretrained models ProtBert, ESM-1b, and ESM-2 on two test datasets. A: ATP-17, B:ATP-41