Fig. 11
From: Enhanced nonlinear optical properties of GO and Fe3O4-Modified CuMn2O4 nanocomposites

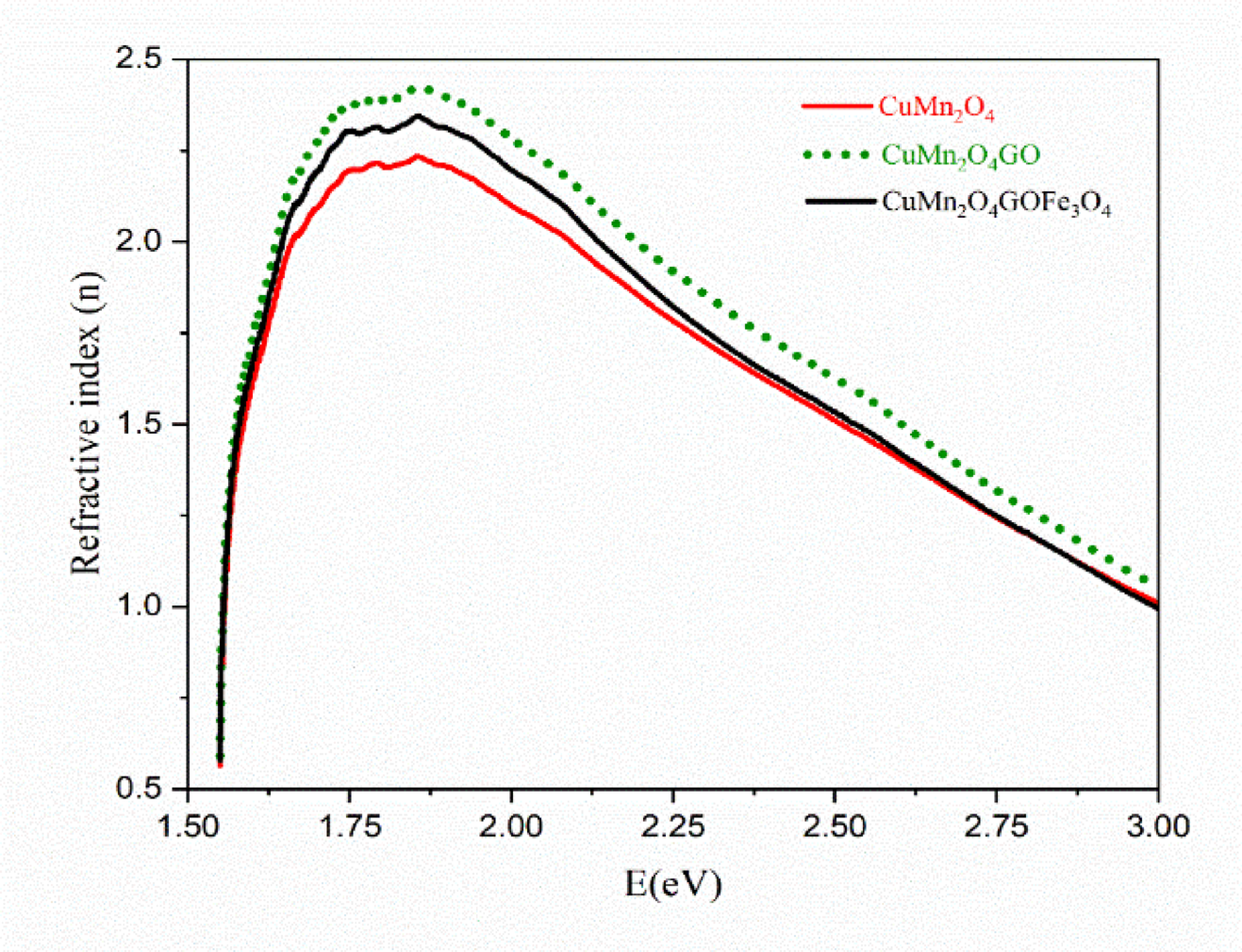
Variations of the real part of the refractive index (n) versus photon energy (hν) for the studied samples.
From: Enhanced nonlinear optical properties of GO and Fe3O4-Modified CuMn2O4 nanocomposites

Variations of the real part of the refractive index (n) versus photon energy (hν) for the studied samples.