Fig. 13
From: Enhanced nonlinear optical properties of GO and Fe3O4-Modified CuMn2O4 nanocomposites

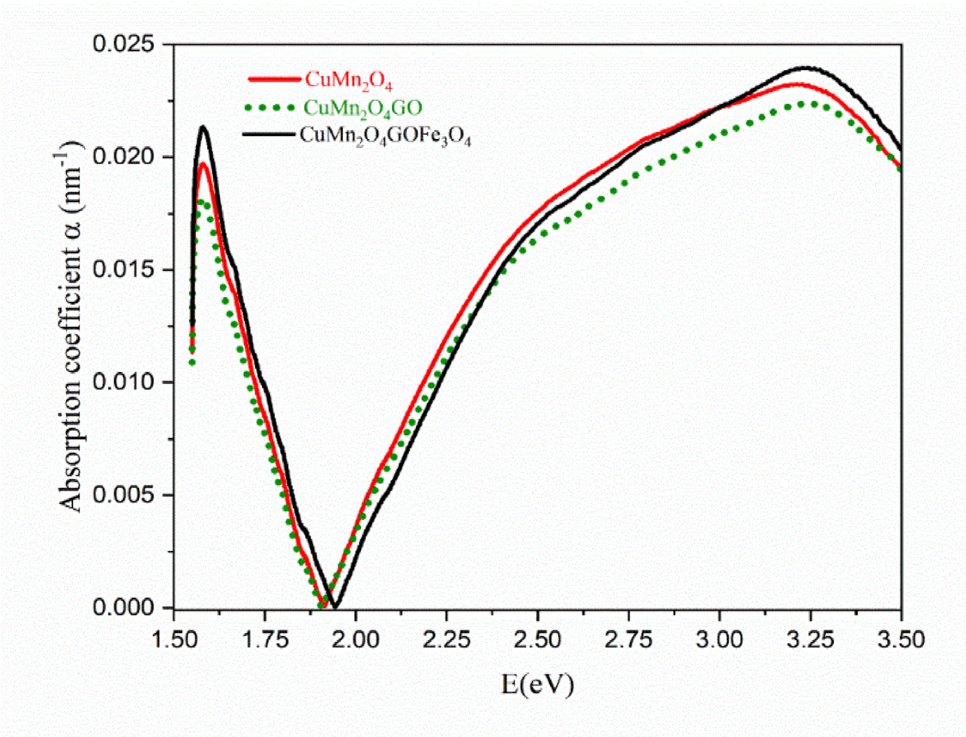
Measured absorption coefficient of synthesized nanoparticles.
From: Enhanced nonlinear optical properties of GO and Fe3O4-Modified CuMn2O4 nanocomposites

Measured absorption coefficient of synthesized nanoparticles.