Fig. 14
From: Enhanced nonlinear optical properties of GO and Fe3O4-Modified CuMn2O4 nanocomposites

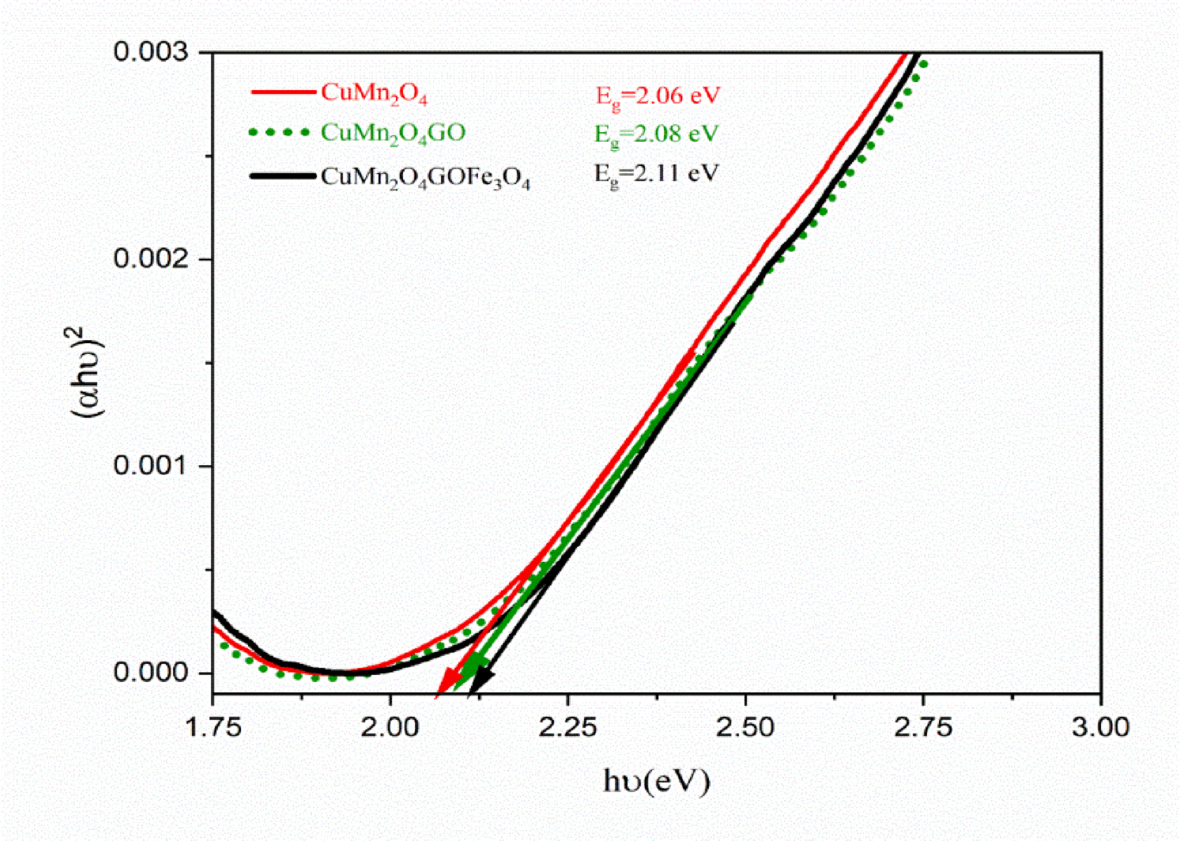
Determination of \({\text{E}}_{g}\) of samples via the Kramers–Kronig method.
From: Enhanced nonlinear optical properties of GO and Fe3O4-Modified CuMn2O4 nanocomposites

Determination of \({\text{E}}_{g}\) of samples via the Kramers–Kronig method.