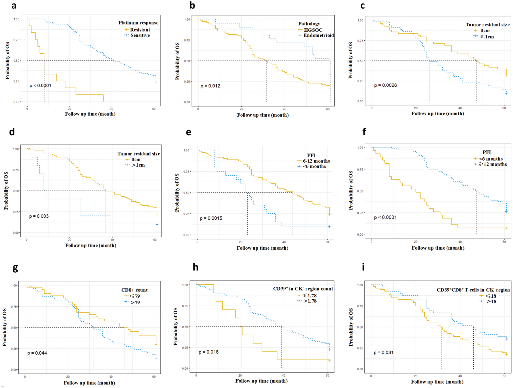
Fig. 3

Overall survival (OS) by clinicopathologic and immune variables. Kaplan–Meier curves with log-rank P-values and numbers at risk below each plot: (a) platinum response (resistant vs. sensitive; n per group noted); (b) pathology; (c–d) residual disease size; (e–f) PFI categories; (g) total CD8⁺ count (cutoff, see Methods); (h) stromal CD39⁺ count; (i) stromal CD39⁺CD8⁺ T cells. Cutoffs were pre-specified as described in Methods. CD39, ectonucleoside triphosphate diphosphohydrolase 1; CK, cytokeratin; OS, overall survival.