Abstract
Personal protective tools, such as repellents, play a vital role in preventing mosquito-borne disease transmission. Although N,N-diethyl-meta-toluamide (DEET), a synthetic repellent, is effective against insects, it may cause allergic reactions. Therefore, there is a need to explore effective alternative repellents exhibiting fewer side effects. Here, we assessed the repellent activity of essential oils (EOs) from Lippia multiflora and Cymbopogon citratus alone and in combination, against Anopheles populations, using the Human Landing Catch (HLC) method in Dogona, Burkina Faso. For this purpose, five concentrations (0.5%, 1%, 1.5%, 2% and 2.5%) of each EO and their combination were applied on 68 volunteers legs from 6 p.m. to 9 a.m. on two consecutive nights. Also, DEET and ethanol were used as positive and negative controls respectively. As results, overall, houses with volunteers to whom EOs had been applied showed a reduction in the mean human biting rate (HBR), both indoors and outdoors (combination EO, 2.5%: 1.5 vs. control: 46.75 b h−1 n−1). This combination exhibits an efficacy comparable to that of DEET (DEET: 2 b h−1 n−1). This repellent effect is likely attributable to the dominant compounds present in the EOs namely, neral (44.7%) and geranial (55.2%) in C. citratus, and β-caryophyllene (20.1%), p-cymene (14.6%), and thymol acetate (12.0%) in L. multiflora. When the two essential oils were combined, they exhibited a synergistic repellent effect, resulting in a long protection time. The use of EOs as repellents may reduce the number of mosquito infectious bites/human/night, thereby contributing to a lower Entomological Inoculation Rate (EIR = 0.77). This study highlights the promising repellent potential of C. citratus and L. multiflora EOs, against wild mosquito populations.
Background
Hematophagous insects are vectors for several diseases, causing mortality that affects millions of people worldwide. Among these insects, mosquitoes from the genera Anopheles, Aedes, and Culex are vectors of pathogens (such as viruses or parasites) responsible for diseases like malaria, Chikungunya, Dengue, Yellow Fever, Filariasis, Encephalitis, and West Nile virus infection1,2. Among all these diseases, malaria and dengue are the most significant and continue to be major health concerns for the development of low-income countries, particularly in tropical regions3. Estimates indicate 263 million cases of malaria and 597,000 associated deaths3. Approximately 93% of clinical malaria cases occur in sub-Saharan Africa, with children under five and pregnant women being the most vulnerable groups4. Regarding dengue, its incidence has dramatically increased worldwide, with 3.9 billion people in 128 countries exposed to infection, representing 40 to 50% of the global population. There are approximately 390 million cases of dengue annually in regions of Africa, the Americas, the Eastern Mediterranean, Southeast Asia, and the Western Pacific5.
As for malaria management, current vector control strategies primarily rely on the use of Long-Lasting Insecticide-Treated Nets (LLINs), and to a lesser extent on Indoor Residual Spraying (IRS) of residual insecticides to reduce human-vector contact and/or decrease vector populations, along with the topical application of repellents4,6,7. The use of these control tools has yielded interesting, sometimes spectacular results regarding the reduction of certain parameters, such as malaria morbidity and infant mortality, which are associated with a decrease in the aggressiveness and entomological inoculation rate of the vectors8,9,10. However, LLINs in malaria control still face challenges regarding their possession and misuse by households by Kamau et al.11. Furthermore, chemical repellents play a crucial role in protecting individuals from mosquitoes12,13,14. A repellent is defined as a product that acts locally or at a distance to prevent arthropods from flying, landing, or biting animal or human skin. In general, insect repellents act by creating a vapor barrier that prevents arthropods from coming into contact with the treated surface, which constitutes their primary mode of action15,16,17,18,19.
Among synthetic repellents, DEET (N, N-diethyl-m-toluamide) is considered as the reference repellent20. Concerns regarding the adverse effects of chemicals like DEET have rekindled interest in exploring plants as a source of natural insecticides and repellents for medicinal and veterinary uses12,21. Ethnobotanical studies conducted in Burkina Faso on various plant species, including Lippia multiflora and Cymbopogon citratus, have demonstrated that many of them effectively repel mosquitoes when burned at night in homes22. Recently Balbone et al. (2024) showed that Essential oils extracted from Cymbopogon citratus, Cymbopogon nardus, Eucalyptus camaldulensis, Lippia multiflora, and Ocimum americanum plants exhibit excito-repulsive effect on populations of Anopheles and Aedes populations from Bobo-Dioulasso23. These are ecologically sound and economically accessible natural substances with proven efficacy in certain studies. Some data on essential oils (EOs) suggest that they could be used as mosquito repellents24,25,26. Our study evaluated by Human Landing Catch (HLC), the repellent properties of Lippia multiflora and Cymbopogon citratus, both alone and in combination, on adult populations of mosquitoes from Dogona, located in Bobo-Dioulasso, Western Burkina Faso.
Materials and methods
Study areas
Our study was conducted in September 2022 in the Dogona, a peri-urban neighborhood located in the north-east of Bobo-Dioulasso (Fig. 1). Bobo-Dioulasso, located in the Hauts-Bassins region and serving as the capital of the Houet province, has an average annual temperature of 27 °C and receives approximately 1100 mm of rainfall. It is characterized by a rainy season from May to October, with a dry season lasting from November to April. Dogona is located at 11°12′0" north latitude and 4°16′60" West longitude. The selection of this neighborhood is driven by its intensive market gardening activities, which often involve the use of agrochemicals. This neighborhood is also distinguished by the presence of numerous permanent and semi-permanent bodies of water. The Houet marsh, which runs through the city, has facilitated the development of hydro-agricultural systems dedicated to market gardening. Numerous water sources such as basins and wells, both temporary and permanent are present in the area. In addition, several drainage channels and a variety of other habitats resulting from human activities serve as major breeding grounds for mosquitoes, particularly Anopheles gambiae s.l. This hydrological configuration not only supports agricultural expansion but also creates favorable conditions for the proliferation of vector mosquitoes, leading to higher mosquito densities compared to other neighborhoods27.
Location of study area in the city of Bobo-Dioulasso. The Map was generated created using QGIS 3.28.13 (Firenze), available at https://qgis.org.
Plant specimen collection and essential oil extraction
Plant selection
The selection of plants was conducted based on a comprehensive literature review focusing on their repellent activity, supplemented by ethnobotanical surveys and preliminary laboratory assays. This approach also aimed to take into account the local availability of aromatic plants, with particular emphasis on those that had not yet been evaluated against wild mosquito populations in Burkina Faso. Among the selected plant species, essential oils (EOs) extracted from the leaves of two plants acclimatized to Burkina Faso were studied, notably Cymbopogon citratus and Lippia multiflora. Furthermore, binary combinations of these essential oils were also examined. These plants are traditionally recognized for their insecticidal and repellent properties and are employed in local practices for insect control.
Specimen collection
The specimens were identified and preserved at the Joseph KI-ZERBO University Herbarium. The leaves were harvested in October 2021 in the garden of the Institute for Research in Applied Sciences and Technologies (IRSAT) and then dried in the open air in the shade for 3 days.
Extraction
Before extracting essential oils, Cymbopogon citratus and Lippia multiflora plants were identified by Cyrille SINARE and specimens were deposited in herbarium of “laboratoire de Biologie et Ecologie végétale” of Joseph KI-ZERBO University, Ouagadougou, Burkina Faso as under ID number: 17,949; 17,951; respectively. The Collections of C. citratus and L. multiflora complied with “Burkina Faso Legislative Assembly” (Loi 003/2016/AN portant code forestier au Burkina Faso). All procedures were conducted in agreement with the relevant national and international guidelines and legislation.
Essential oils (EOs) were obtained through hydrodistillation using a Clevenger apparatus for 5 h. A mass of 250 g of dried leaves from each plant was used for the extraction of the EOs. The process involved placing the plant material in a flask filled with water up to two-thirds of its volume. This mixture was then heated to boiling, approximately 5 h. The steam, passing through the plant material, enriched with fragrant and volatile molecules, which were carried through a coil connected to the condenser. Upon contact with the cooling surface, these heterogeneous vapors condensed into a liquid consisting of a mixture of water and essential oils (EOs). The mixture was transferred into a separatory funnel, where the EOs, being less dense than water, were separated by simple decantation from the upper phase. The separated EOs, along with residual water droplets, were collected in hermetically sealed amber glass bottles and purified using the low-temperature method. This process involved placing the bottles in a freezer at − 4 °C, allowing the water to freeze and thus facilitating the separation of the EOs. Finally, any remaining moisture was removed by drying the EOs over anhydrous sodium sulfate (Na2SO4). The purified EOs were finally transferred to clean storage bottles and kept refrigerated at 4 °C until further use.
Analysis of the chemical composition of essential oils
Phytochemical screening of essential oils
Certain phytochemical groups present in the EOs were identified using a characterization protocol involving gas chromatography-mass spectrometry (GC–MS). The phytochemical analysis via GC–MS was conducted using an Agilent 8860 gas chromatograph coupled with an Agilent 5977B mass spectrometer equipped with a quadrupole analyzer. The chromatograph featured a DB-WAX capillary column made of polyethylene glycol (PEG) (60 m × 0.25 mm, film thickness 0.25 µm). The analysis conditions were as follows: carrier gas, helium, with a flow rate of 1 mL/min.
Repellent activity and test procedure
Preparation of tests concentrations
A human bait method was implemented to evaluate the repellent potential of essential oils of Cymbopogon citratus and Lippia multiflora, using solutions at concentrations of 0.5%, 1%, 1.5%, 2%, and 2.5% (prepared using serial dilutions (v/v) of EOs in ethanol) either alone or in binary combination (50:50) against female mosquitoes. Solutions of each essential oil and DEET (99% purity) were prepared using ethanol as the solvent. The 30% DEET solution served as a positive control, while ethanol was used as a negative control.
Selection of households
In this study, the selection of sentinel houses was determined based on their geographical location relative to the Houet marsh, where vegetables are also practiced due to the presence of water retention areas in these neighborhoods. These water retention areas, particularly the Houet marsh and the cultivation basins, create larval habitats that favor mosquito development in these zones. Each concentration of EOs prepared was applied on to legs of each volunteer, who were positioned in both outdoor and indoor settings. The targeted houses were located approximately 300 m from the marsh. Collections were carried out both indoors (yard) and outdoors (veranda). Thirty-four (34) households were selected. This approach aimed to ensure broader coverage of the study area, both urban and rural, as mosquitoes tend to naturally thrive in the presence of breeding sites. If a selected house could not participate in the study or was inaccessible due to the owner’s absence, it was removed from the random list of additional households and replaced by another house in the same area.
Experimental design and mosquito collections
Before the study began, the leaders of Dogona provided their verbal informed consent. Participants in the Human Landing Catch (HLC) also gave their informed consent. Prior to the experimental exposures at the capture sites, volunteers were pre-sensitized with the test products in order to ensure tolerance and minimize potential adverse reactions.
Adult mosquito collections were conducted through Human Landing Catch (HLC) in thirty-four (34) houses following the published guidelines by WHO28.
Two houses were selected for each concentration of Lippia multiflora, two for each concentration of Cymbopogon citratus, and two others for their binary combination (CC: LM, 50:50). A total of five concentrations were tested per essential oil (EO), corresponding to ten houses per concentration and per EO. For the three EOs tested (two individual EOs and their binary combination), thirty houses were included. In addition, four extra households were added: two for DEET application (positive control) and two for ethanol application (negative control). The experiments were conducted over two consecutive nights. Each night, sixty-eight (68) healthy adult volunteers (men and women aged 18–40 years) collected mosquitoes landing on their exposed legs using a hemolysis tube.
These participants were distributed across 34 households, with two individuals per household: one inside and the other outside. For each household, one concentration of essential oils (EO) was applied per person and per EO selected. Two replicates per concentration were performed. For the first round of collection, two individuals were targeted for the collection per night per house, one placed inside and the other outside. For the subsequent session, these individuals were replaced by new volunteers to minimize potential biases associated with a single collector.
Volunteers who received oil applications and DEET were positioned at 100 m from volunteers whom ethanol was applied. Mosquito collections were conducted in the fields over two consecutive nights for each concentration from 6 p.m. to 9 a.m. To achieve this, 3 ml of each concentration of EOs to be tested was applied to the lower limbs of the volunteers, as mosquitoes primarily feed by biting the lower parts of the body. Only these areas applied to essential oils were exposed to attract mosquitoes seeking a host for feeding. The landing collection (HLC) involved capturing adult mosquitoes resting on the legs, ankles, and/or feet of volunteers. To determine peak transmission times, the capture periods were subdivided into 1-h intervals. Volunteers rolled up their pants to their knees, and the product was applied directly to both legs of the volunteers who had provided informed consent, from the toes to the knees. The application was carried out using cotton soaked in the EO solution. Collections were supervised by a team of supervisors responsible for ensuring that volunteers adhered to the schedules, followed the collection timetable, and remained vigilant throughout the process. Every morning, after the nocturnal collection, the collected mosquitoes were transported to the laboratory.
This procedure allowed us to determine the percentage of protection against human-mosquito contact as follows:
Also, entomological parameters such as HBR and endophagy rate were determined as follows:
HBR (Human Bites Rate) (Mean number of bites per human per night (b h−1 n−1)
Endophagy or Exophagy Rate (ER):
Morphological identification of mosquitoes
All collected mosquitoes were transported to the MURAZ Center in Bobo-Dioulasso. Using a binocular microscope, the captured mosquitoes were identified and counted by species with the aid of a morphological identification key (Gillies and Meillon 1968). The vectors collected by this method are categorized according to species, their physiological state (satiated, semi-gravid, gravid, and unfed), the time of capture, the collection site, and the collection station. The female Anopheles were then individually placed in clearly labeled 1.5 ml microcentrifuge tubes containing silica gel (Fisher Scientific) and cotton, and were stored for molecular analysis.
Molecular analysis of samples by PCR
Extraction of mosquito genomic DNA
The samples were divided into two distinct parts: the head and thorax on one hand, and the legs, wings, and abdomen on the other hand. Each individual mosquito sample was used for genomic DNA extraction. The abdomens were stored separately in 1.5 mL microtubes, carefully labeled for identification. They were then homogenized in 200 μL of 2% cetyltrimethylammonium bromide (CTAB), following the protocol established by Cornel and Collins29. Genomic DNA was extracted as described by cetyltrimethylammonium bromide (CTAB) method30.
Identification of members of the Anopheles gambiae complex
The extracted deoxyribonucleic acid (DNA) was utilized in a polymerase chain reaction (PCR) for the molecular identification of species within the An. gambiae complex, following the protocol established by Santolamazza et al.31. The following primers were employed:
-
S200X 6.1F: TCG-CCT-TAG-ACC-TTG-CGT-TA;
-
S200X 6.1R: CGC-TTC-AAG-AAT-TCG-AGA-TAC.
Amplification was conducted in a total volume of 20 μL, comprising 2 μL of DNA and 18 μL of PCR mix. The amplification program included an initial preheating step (activating Taq polymerase) at 94 °C for 10 min, followed by a DNA denaturation phase at 94 °C for 30 s, a hybridization phase at 54 °C for 30 s, and an elongation step at 72 °C for 1 min. This cycle was repeated 35 times, concluding with a final elongation at 72 °C for 10 min. The samples were then stored at 4 °C.
A thermocycler was employed for amplification. Electrophoresis was performed using a 2% agarose gel stained with ethidium bromide. The expected band sizes were 479 bp for An. coluzzii, 249 bp for An. gambiae, and 223 bp for An. arabiensis.
Origin of blood meals
PCR analyses were conducted following the protocol established by Kent and Norris32 to determine the origin of blood meals from Anopheles gambiae s.l. The primers used included a universal primer (-5’GGTTGTCCTCCAATTCATGTTA 3’) and specific primer for chicken (5’ GGTTGTCCTCCAATTCATGTTA 3’), donkey (5’ACACACCCTAGTAGAGTGAGG 3’), goat (5’CCTAATCTTAGTACTTGTACCCTTCCTC3’), pig (5’CCTCGCAGCCGTACATCTC3’), human (5’GGCTTACTTCTCTTCATTCTCTCCT3’), dog (5’GGAATTGTACTATTATTCGCAACCAT3’), beef (5’CATCGGCACAAATTTAGTCG3’), and sheep(5’CCTAATCTTAGTACTTGTACCCTTCCTC 3’). Amplification began with an incubation at 95 °C for 3 min and 30 s, followed by 40 cycles at temperatures of 95 °C, 60 °C, and 72 °C. After amplification, the products were separated on a 2% agarose gel stained with ethidium bromide. After 30 min of electrophoretic migration, the bands were visualized under ultraviolet light. The expected band sizes were 290 bp for chicken, 460 bp for donkey, 500 bp for pig, 350 bp for human, 750 bp for dog and 600 bp for beef.
Detection of P. falciparum
The detection of sporozoites in the salivary glands of mosquitoes was performed using DNA extract through the multiplex PCR protocol adapted in our laboratory. This method allows simultaneous identification of P. falciparum (5’AACAGACGGGTAGTCATGATTGAG3’), P. malariae (5’CGTTAAGATAAACGCCAAGC3’), and P. ovale (5’CTGTTCTTTGCATTCCTTATGC3’), through species-specific primers The amplification began with an incubation at 95 °C for 5 min, followed by 32 cycles that included denaturation at 95 °C for 30 s, primer annealing at 58 °C for 45 s, and DNA elongation at 72 °C for 1 min. This cycle was repeated 35 times. Finally, a final elongation step was conducted at 72 °C for 5 min to complete the process. The resulting PCR products were then separated on a 2% agarose gel stained with ethidium bromide. The size of the PCR products was assessed using a 100 bp molecular weight marker, with expected band sizes of 276 bp for P. falciparum, 376 bp for P. ovale, and 411 bp for P. malariae. The PCR data allowed us to determine Infection Rate and Entomological Inoculation Rate as follows:
Infection rate (IS):
Entomological inoculation rate (EIR):
EIR = HBR × IS where HBR is Human Biting Rate and IS, the Infection Rate.
Statistical analyses
Data concerning repellent efficacy, protection time, and bite rates were recorded using Microsoft Excel. These data were then exported to R Studio and GraphPad Prism version 10 for statistical analysis and the creation of additional graphs. To compare mean values between groups, we employed non-parametric tests, specifically the Mann–Whitney and Kruskal–Wallis tests. Fisher’s exact test and Pearson’s chi-square test of independence were utilized to compare proportions. The significance level was set at p < 0.05. The molecular structures obtained through GC–MS were analyzed using ACD/ChemSktech software.
Ethical statement
The research protocol related to this study was submitted for approval to the institutional ethics committee of the Institut de Recherche en Sciences de la Santé (IRSS)/Centre MURAZ prior to its implementation. Informed and voluntary consent was obtained from the homeowners and participants, thereby confirming their commitment, whether through the participants’ signatures or, for illiterate individuals, by their fingerprints or the signature of an independent witness designated by them. This study also received ethical clearance from the Ethical Research Committee of the Institut de Recherche en Sciences de la Santé (IRSS), under reference number 008-2022/CEIRES, dated January 20, 2022. Regarding the HLC method, guidance was provided to ensure that sentinel mosquitoes were collected prior to biting them. This guidance included detailed information on the risks associated with wild mosquitoes in the transmission of pathogens, as well as a guarantee of medical care throughout the duration of the study.
All procedures were conducted in accordance to the relevant institutional, national, and international guidelines and regulations.
Results
Chemical composition analysis of essential oils
The yields varied from 0.82% for Cymbopogon citratus to 1.3% for Lippia multiflora. The gas chromatography-mass spectrometry (GC–MS) analysis revealed that the major compounds in these EOs were monoterpenes (Table 1). The GC–MS analysis of the EO of C. citratus, with a yield of 0.82%, primarily revealed neral (44.7%) and geranial (55.2%) as major components. As for The EO of L. multiflora, with a yield of 1.3%, it was composed mainly by β-caryophyllene (20.1%), p-cymene (14.6%), thymol acetate (12%), and 1,8-cineole (11.6%).
Comparative study of the repellent effect of essential oils and DEET under field conditions
Figure 2 illustrates the variation of the average number of mosquito bites per human per night (b h−1 n−1) (HBR) across different treatments, including five concentrations of essential oils (EOs) and 30% DEET (positive control) compared to a negative control (ethanol). Overall, houses with individuals who applied EOs of C. Citratus, L. multiflora and their binary combination regardless of the concentrations, exhibited a reduction in the mean HBR (below 5 b h−1 n−1) both indoors and outdoors from 6 p.m to 9 a.m, demonstrating an efficacy comparable to that of high-concentration DEET. Interstingly, the mean HBR reached when ethanol (20 b h−1 n−1) (test Anova p < 0.0001) was tested during same period. However, after 10 p.m., a decline of mean HBR was observed in negative control houses, while the efficacy in treated houses remained stable (Fig. 2).
Evolution of the average biting rate of mosquitoes per human per night.
The peak mosquito activity, was observed for the negative control (ethanol, green curve) between 8 and 10 p.m, reaching a maximum of approximately 20 and 25 bites b h−1 n−1) in indoor and outdoor respectively. Subsequently, the mean HBR gradually decreases, although activity persists throughout the night until 7 a.m. The comparison between ethanol and DEET revealed a significant difference, with a difference of 20.6, indicating that DEET provides a significantly longer protection time than Ethanol. Conversely, the comparison between LM and DEET shows no significant difference (Anova p < 0,001), suggesting that the levels of protection offered by LM and DEET were similar. Finally, the comparison between LM and Ethanol highlights a significant difference (p < 0.0001), with LM being more effective than Ethanol.
The repellent activities of the essential oils tested were similar to those of DEET during the duration of tests (ie from 6 p.m to 9 a.m) (approximately 2 b h−1 n−1, p = 0.002 The 30% DEET and the highest concentration (2.5%) exhibit particularly pronounced efficacy, with the mean HBR approaching zero, or even none, for the majority of the exposure period.
As far as Intermediate concentrations (1%, 1.5%, and 2%) are concerned, they also demonstrate notable protection against mosquitoes bites, although a slight dose–response effect was evident: as the concentration increased, the number of bites decreased.
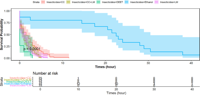
The analysis of the probability of protection against mosquitoes with different insecticide treatments showed that the EOs used alone or in combination ensure a rate of 100% protection against mosquito bites, regardless of the concentrations, providing effective protection against bites for most of the observed period of around 10 h, especially in comparison to the control group, which exhibits a significantly lower level of protection (Fig. 3).
Probability of protection against mosquitoes with different insecticide treatments.
Distribution of the An. gambiae s.l. complex
The molecular identification of species within the Anopheles gambiae sensu lato complex confirmed the presence of Anopheles coluzzii, Anopheles gambiae, and Anopheles arabiensis. The data reveal variations in mosquito abundance depending on the collection location (indoor or outdoor), species (An. arabiensis, An. gambiae s.s., An. coluzzii), and EOs application. Overall, a total of 932 An. gambiae s.l. mosquitoes were captured. The majority of Anopheles were Anopheles arabiensis (48.8%), followed by Anopheles gambiae (46.3%) and Anopheles coluzzii (4.9%). No difference in mosquito abundance between indoor and outdoor collection sites (χ2 = 0.6, df = 1, p = 0.4386) was found.
The comparison between indoor and outdoor environments revealed distinct habitat preferences among mosquito species. An. gambiae appeared to thrive more in outdoor settings, whereas An. arabiensis showed a strong presence in both environments. The endophagy rate of 40.45% indicates that nearly 40% of blood-feeding mosquitoes sought to feed indoors.
The EOs at 2.5% of concentration (CC, CC + LM, LM) and DEET favor the lowest abundance in comparison with that of Ethanol that consistently attracted the most mosquitoes for all three species, both indoors and outdoors (p value < 2e−16), especially outdoors indicating their potential effectiveness as repellents against all species under these conditions (Fig. 4).
Monthly population dynamics of Anopheles gambiae s.l. in Dogona (Bobo-Dioulasso).
Blood meal origin
The Fig. 5 compares the parasitic risk associated with different host categories (chicken, cow, dog, donkey, goat, human, pig, sheep) for three species of Anopheles: An. arabiensis, An. coluzzii, and An. gambiae s.s. It was observed that for An. arabiensis and An. coluzzii, the parasitic risk was primarily associated to humans with values of 1 and 4 respectively, while other hosts present negligible or no risk. In contrast, An. gambiae s.s. showed a significantly higher parasitic risk for humans (value of 7), as well as a substantial risk for goats, unlike the other two species.
Proportion of blood meals taken from hosts.
This Fig. 5 highlights a strong anthropophily among the three species, particularly for An. gambiae s.s., which demonstrates the highest risk for humans among all the associations presented. Additionally, a non-negligible risk is also noted for goats in the case of An. gambiae s.s., suggesting some opportunity for diversification in blood meals. Animal hosts (other than goats for An. gambiae s.s.) were associated with practically zero or very low risk, irrespective of the mosquito species considered. This underscores the need to primarily target human-mosquito contacts in vector control strategies.
Detection of P. falciparum by PCR method
In total, 232 samples were analyzed by PCR to detect any traces of Plasmodium falciparum infection. Of these 232 samples, 67 individuals were positive. Specifically, 8 samples of Anopheles coluzzii, 37 of Anopheles arabiensis, and 22 of Anopheles gambiae s.s were found to be infected with P. falciparum. The sporozoite index corresponding to a rate of 28.88% (Table 2) was found. The public health implications are emphasized by the entomological data, which indicate an elevated risk of malaria transmission.
Sporozoite index (SI) and entomological inoculation rate (EIR)
A significant interspecific variation in the Plasmodium infection rate (IR) and entomological inoculation rate (EIR) (number of infested bites/human/night (b h−1 n−1) among members of the Anopheles gambiae complex was found. Specifically, Anopheles arabiensis and Anopheles gambiae sensu stricto exhibited comparable infection rates, around 31%, associated with similarly EIRs estimated at approximately 0.84 b h−1 n−1. In contrast, Anopheles coluzzii showed an infection rate of 17.8% and EIR reaching 0.47 b h−1 n−1.
Discussion
Vector control is a cornerstone of the WHO global malaria strategy, aiming to interrupt disease transmission and reduce the density of insecticide-resistant vectors33,34.
In order to manage malaria transmission and vector resistance, new control measures are being considered, including the use of plant extracts with insect-repellent properties35,36. The rise of mosquito populations resistant to chemical insecticides and repellents raises the need to identify eco-friendly insecticidal compounds for effective vector control interventions. Essential oils also exhibit multifaceted repellent properties by perturbing diverse biological processes, including metabolic, physiological, and behavioral pathways in insects37, and behavioral pathways in insects. The essential oil yields of Cymbopogon citratus and Lippia multiflora were quantified at 0.82% and 1.3%, respectively, indicating substantial oil content. Notably the yield for C. citratus was lower than that reported in Congo (2.34%) Congo38 and comparable to yields documented in Togo (1.3%)39. Such discrepancies in essential oil yields are attributable to variations in endogenous collection, edaphic factors, phenological stages, and post-harvest drying conditions. Indeed, Dabiré et al. (2011) demonstrated a decline in oil yield with drying duration40.
The chemical analysis revealed that the main constituents of these EOs were hydrogenated monoterpenes and sesquiterpenes, which is consistent with previous studies conducted in Burkina Faso regions, as reported by several authors23,41,42.
Our research represents the first assessment of the repellent effect of these two plant species against mosquito Anopheles populations in Burkina Faso.
Interestingly, all tested essential oils showed a repellent effect against Anopheles populations, with an efficacy increasing with concentration. Our findings are consistent with those reported by Deng et al. (2023), who showed that the protection rate increases with higher concentrations43. Thus, volunteers who received an application of EO alone and combination at a 2.5% concentration on legs exhibited a protection time comparable to those who received the positive control (DEET), whereas lower concentrations exhibits less effective than DEET.
The high concentrations of neral (44.7%) and geranial (55.2%) in the EO of C. citratus, as well as β-caryophyllene (20.1%), p-cymene (14.6%), thymol acetate (12.0%), and 1,8-cineole (11.6%) in L. multiflora, may explain the more pronounced repellent activity of these extracts. Studies have shown that the presence of these compounds renders the oil an effective repellent.
In addition, DEET provided significantly long-time protection than ethanol (20.6-fold), while L. multiflora offers a comparable level of protection to that of DEET.
The average protection time was above 8 h for the oil combination, compared to 5 h for DEET. It is not the case with the EO of Cymbopogon citratus that provided a shorter duration time protection than that of L. multiflora EO. These results suggest that, the interactions of certain components in combination may improve the duration of protection. The repellent activities of EOs may be influenced by certain experimental conditions and concentrations. The permanent use of repellents on skins for individuals level associated to use of insecticide-treated nets as tools recommended by the World Health Organization may help to reduce the incidence of malaria.
Furthermore, the results of this study also indicate that the malaria vector species present in Bobo-Dioulasso (Dogona) was composed exclusively by An. gambiae s.l. Molecular analyses revealed that the anopheline population was predominantly composed of An. arabiensis, followed by An. gambiae s.s. and An. coluzzii. This observation is consistent with that of Dabire et al. (2012), who demonstrated that An. Arabiensis (55%) was more prevalent in Sahelian and Sudanian-Sahelian zones such as Bobo-Dioulasso27. On the other hand, the studies done by Namountougou et al. (2023) found that the species An. gambiae sl was the main vector of malaria, representing 79.82% of all mosquitoes collected in the surroundings of Bobo-Dioulasso9. Our data differ from those of Somda et al. (2025), who reported that An. Arabiensis (> 95%) was scarcely represented or absent34. The marked presence of this species in our findings may reflect recent ecological favoring its adaptation44, whereas An. gambiae s.s. predominated in humid savanna zones. Conversely, our results differ from those of Dabiré et al. (2009), who found that the anopheline population in this area was mainly composed of An. gambiae s.s., An. coluzzii, and a small proportion of An. Arabiensis34,45. These results are in line with those of Hien et al. (2017), which highlight the behavioral adaptability of vectors in response to selection pressures induced by control measures, particularly insecticide-treated nets46. Molecular analyses of blood meal origins have revealed complex interactions between mosquito species and their host environments: these species feed on both humans and animals. The distinct habitat preferences and host specializations observed in An. arabiensis, An. coluzzii, and An. gambiae s.s. have important implications for disease transmission dynamics. We also observed, within dwellings, the presence of An. gambiae females engorged on domestic animals. Our observations indicate mixed blood meals (Human and animal), that may have an implication in malaria transmission. In the study done by Soma and colleagues, 1552 Anopheles mosquitoes that had taken a blood meal were analyzed to identify their food preferences. As results, around 68% of Anopheles gambiae sl fed on human blood in both Dano and Diébougou47.
Moreover, our data reveal notable interspecific variation in the Plasmodium infection rate (IR) and entomological inoculation rate (EIR) among members of the Anopheles gambiae complex in Dogona. Specifically, Anopheles arabiensis and Anopheles gambiae sensu stricto exhibited similar infection rates of 31% corresponding to EIRs reaching 0.84 infectious bites per person per night. In contrast, Anopheles coluzzii demonstrated a significantly lower infection rate of 17.8% and an EIR of 0.47 infectious bites per person per night, indicating a reduced role in local malaria transmission. This finding contrasts with a study conducted in Benin, where An. arabiensis showed lower infectivity (0.86%), while An. gambiae had a higher infectivity (64.35%). The relative high prevalence of Plasmodium infection in An. arabiensis and An. gambiae s.s. confirms their status as primary malaria vectors, consistent with reports from various African regions.
The recorded values of the Entomological Inoculation Rate (EIR) (0.47–0.84 infectious bites/person/night) are below than those obtained with previous studies conducted in Burkina Faso. For example, Epopa et al.48 found that during the rainy season, the average EIR were ranged 0.91–2.35 infectious bites/person/day but decreased substantially in the dry season (0.03–0.22). In addition Namountougou et al.9 reported EIR values between 0.13 and 2.55, highlighting significant fluctuations in malaria transmission potential across seasons9,48.
The reduction in the EIR values may be attributed to high repellence activities of EOs used in this current study. Thus, we believe in using formulations based-EOs as butter or spray, one can reduce the risk of malaria at individual level.
Conclusion
Essential oils extracted from two plant species (Cymbopogon citratus and Lippia multiflora) were evaluated for their repellent activity against various mosquito species in the Dogona area of Bobo-Dioulasso. Results indicated that these essential oils used alone or combination provided significant protection against infectious mosquito bites, results in reducing of Plasmodium falciparum of Anopheles coluzzii, An. arabiensis, and An. gambiae s.s. mosquitoes. A limitation of this study is that the effectiveness of these essential oils may vary under different environmental conditions, particularly due to their high volatility, which warrants additional investigations. Further research is needed to optimize stable and sustained-release formulations, aiming to enhance both their efficacy and user acceptance.
Data availability
Correspondence and requests for data should be addressed to Olivier Gnankine.
Abbreviations
- An:
-
Anopheles
- CC:
-
Cymbopogon citratus
- DEET:
-
N, N-Diethyl-meta-toluamide
- GC–MS:
-
Gas chromatography coupled with mass spectrometry
- LM:
-
Lippia multiflora
- EOs:
-
Essential oils
- RI:
-
Retention index
- WHO:
-
World health organization
References
WHO. World malaria report 2023. https://www.wipo.int/amc/en/mediation/%0A. https://www.who.int/teams/global-malaria-programme/reports/world-malaria-report-2023 (2023).
Brunhes, J., Hassaïne, K., Rhaiem, A. & Hervy, J. Les Culicides de l’Afrique méditerranéenne: Espèces présentes et répartition (Diptera, Nematocera) par. Bull. Soc. Entomol. France 105, 195–204 (2022).
OMS. World malaria World malaria report report. https://www.wipo.int/amc/en/mediation/%0A. https://www.who.int/teams/global-malaria-programme/reports/world-malaria-report-2023 (2024).
OMS. Rapport 2021 sur le paludisme dans le monde, Principaux messages (2021).
Aubry, P. P., Gaüzère, D. B. & Vanhecke, D. C. Arboviroses Tropicales 1–11 (2023).
Mzilahowa, T., Gowelo, S., Chiphwanya, J., Bauleni, A. & Mukaka, M. Anopheles funestus sensu stricto Giles (Diptera:Culicidae) bites after sunrise at two rural villages in northern Malawi and its implications for malaria vector control. Malawi Med. J. 35, 80–88 (2023).
Corzo-Gómez, J. C. et al. ‘A bite before bed’: Exposure to malaria vectors outside the times of net use in the highlands of western Kenya. Malar. J. 14, 1–15. https://doi.org/10.1186/s12936-015-0766-4 (2015).
Bhatt, S. et al. Europe PMC funders group the effect of malaria control on Plasmodium falciparum in Africa between 2000 and 2015. Nature 526, 207–211 (2016).
Namountougou, M. et al. Residual malaria transmission: Magnitude and drivers of persistent Plasmodium infections despite high coverage of control interventions in Burkina Faso, West Africa. Acta Trop. 242, 106913 (2023).
Koffi, A. A. et al. Anopheles vector distribution and malaria transmission dynamics in Gbêkê region, central Côte d’Ivoire. Malar. J. 22, 1–12 (2023).
Kamau, L. et al. The Anopheles coluzzii range extends into Kenya: Detection, insecticide resistance profiles and population genetic structure in relation to conspecific populations in West and Central Africa. Malar. J. 23, 1–12 (2024).
Fan, Z. et al. Differences in human skin volatiles between populations with high and low attraction to mosquitoes. Parasit. Vectors 18, 1–13 (2025).
Akantetou, P. K. et al. Essential oils as green repellents against mosquito vectors. Qual. Life Banja Luka (APEIRON) 20, 51–60 (2021).
Corzo-Gómez, J. C. et al. A review of botanical extracts with repellent and insecticidal activity and their suitability for managing mosquito-borne disease risk in Mexico. Pathogens 13, 737 (2024).
Tisgratog, R., Sanguanpong, U., Grieco, J. P., Ngoen-kluan, R. & Chareonviriyaphap, T. Plants traditionally used as mosquito repellents and the implication for their use in vector control. Acta Trop. 157, 136–144 (2016).
Zen, S. Exploration of the effectiveness of tropical aromatic plants as natural repellents against Aedes Aegypti mosquitoes. J. Amer. Inst. 2, 1–8 (2023).
Nerio, L. S., Olivero-Verbel, J. & Stashenko, E. Repellent activity of essential oils: A review. Biores. Technol. 101, 372–378 (2010).
Kouame, M., Mamadou, K., Koffi, C. & Henri, D. Cymbopogon citratus (DC.) Stapf : Ethnopharmacologie, phytochimie, activités pharmacologiques et toxicologie. Phytothérapie 14, 384 (2015).
Tchumkam, C. A. et al. Chemical composition and repellent activity of essential oils of Tithonia diversifolia (Asteraceae) leaves against the bites of Anopheles coluzzii. Sci. Rep. 13, 1–11 (2023).
Zarenezhad, E., Sanei-Dehkordi, A., Babaalizadeh, B., Qasmei, H. & Osanloo, M. Repellent efficacy of the nanogel containing Acroptilon repens essential oil in comparison with DEET against Anopheles stephensi. BMC. Res. Notes 16, 4–9 (2023).
Muthengi, A., Karithi, A., Ngugi, F. & Mworia, J. K. Phytochemical screening and repellence potencies of bioactive molecules of plant extracts derived from Ocimum suave, Ocimum americanum and Eucalyptus citriodora against Anopheles gambiae. Malar. J. 24, 137 (2025).
Nacoulma-Ouedraogo, O. G. Plantes Médicinales et Pratiques Médicinales Traditionnelles: Cas du Plateau Central (Université de Ouagadougou, Ouagadougou, 1996).
Balboné, M. et al. The excito-repellent activity of five essential oils extracted from local plants against dengue and malaria vectors in Burkina Faso. Biologia 79, 2495–2503 (2024).
Pushpanathan, T., Jebanesan, A. & Govindarajan, M. Larvicidal, ovicidal and repellent activities of Cymbopogan citratus Stapf (Graminae) essential oil against the filarial mosquito Culex quinquefasciatus (Say) (Diptera : Culicidae). Trop. Biomed. 23, 208–212 (2006).
Kimutai, A. et al. Repellent effects of the essential oils of Cymbopogon citratus and Tagetes minuta on the sandfly, Phlebotomus duboscqi. In BMC Research Notes Vol. 10 1–9 (BioMed Central, London, 2017).
Hazarika, H. et al. The fabrication and assessment of mosquito repellent cream for outdoor protection. Sci. Rep. 12, 1–20 (2022).
Dabiré, R. K. et al. Population dynamics of Anopheles gambiae s.l. in Bobo-Dioulasso city: Bionomics, infection rate and susceptibility to insecticides. Parasit. Vectors 5, 1–9 (2012).
WHO. Manual on Practical Entomology in Malaria. Part II Methods and Techniques Vol. 13, 197 (WHO Offset Publication, Geneva, 1975).
Cornel, A. J. & Collins, F. H. PCR of the ribosomal DNA intergenic spacer regions as a method for identifying mosquitoes in the Anopheles gambiae complex. Methods Mol. Biol. (Clifton N.J.) 50, 321–332 (1996).
Murray, M. G. & Thompson, W. F. Rapid isolation of high molecular weight plant DNA. Nucleic Acids Res. 8, 4321–4326 (1980).
Santolamazza, F. et al. Distribution of knock-down resistance mutations in Anopheles gambiae molecular forms in west and west-central Africa. Malar. J. 8, 8 (2008).
Kent, R. J. & Norris, D. E. Identification of mammalian blood meals in mosquitoes by a multiplexed polymerase chain reaction targeting cytochrome. Am. J. Trop. Med. Hyg. 73, 336–342 (2025).
Bayili, K. et al. Evaluation of efficacy of Interceptor® G2, a long-lasting insecticide net coated with a mixture of chlorfenapyr and alpha-cypermethrin, against pyrethroid resistant Anopheles gambiae s.l. in Burkina Faso. Malar. J. 16, 1–9 (2017).
Somda, Z. et al. High pyrethroid resistance is associated with high frequencies of 1014F and 1014S kdr mutations in Anopheles arabiensis (Diptera: Culicidae) from Ouagadougou, Burkina Faso. J. Med. Entomol. 62, 381–388 (2025).
Balboné, M. et al. Essential oils of plants and their combinations as an alternative adulticides against Anopheles gambiae (Diptera: Culicidae) populations. Sci. Rep. 12, 1–10 (2022).
Spinozzi, E. et al. Essential oil and furanosesquiterpenes from myrrh oleo-gum resin: A breakthrough in mosquito vector management. Nat. Prod. Bioprospect. 15, 12 (2025).
Vivekanandhan, P., Alahmadi, T. A., Ansari, M. J. & Subala, S. P. Biocontrol efficacy of cajeput oil against Anopheles stephensi L. mosquito and its effect on non-target species. Front. Physiol. 15, 1–13 (2024).
Koumaglo, K. H., Dotse, K., Bettini, F. & Bayle, J. Composition chimique de l’huile essentielle de Chromolaena odorata (L) King et Robinson (Asteraceae) du Togo: Effets de séchage et du site de récolte. J. Soc. Ouest-Afr. Chim. 028, 11–16 (2009).
Akantetou, P. K. et al. Evaluation du potentiel insecticide de l’huile essentielle de Ocimum canum Sims sur Aphis gossypii Glover (Homoptera: Aphididae) au Togo. Int. J. Biol. Chem. Sci. 5, 1491–1500 (2012).
Dabire, C., Nebie, R. H. C., Belanger, A., Nacro, M. & Sib, F. S. Effet du séchage de la matière végétale sur la composition chimique de l’huile essentielle et l’activité antioxydante d’extraits de Ocimum basilicum L. Int. J. Biol. Chem. Sci 5, 1082–1095 (2011).
Samuel Fogné, D., Olivier, G., Bassolé, I. H. N., Nébié, R. C. & Laurence, M. Susceptibility of MED-Q1 and MED-Q3 Biotypes of Bemisia tabaci (Hemiptera: Aleyrodidae) populations to essential and seed oils. J. Econ. Entomol. 110, 1031–1038 (2017).
Konaté, H., Balboné, M., Gnankiné, O. & Moussa, N. Five aromatic plants against natural malaria vectors: An eco-friendly approach against 1 Anopheles gambiae s.l. populations in Burkina Faso. J. Basic Appl. Zool. In Press (2025).
Deng, W., Li, M., Liu, S., Logan, J. G. & Mo, J. Repellent screening of selected plant essential oils against dengue fever mosquitoes using behavior bioassays. Neotrop. Entomol. 52, 521–529 (2023).
Namountougou, M. et al. Use of different cotton pest control strategies (conventional, organic and transgenic) had no impact on insecticide resistance in Anopheles gambiae s.l. populations in Burkina Faso, West Africa. Int. J. Pest Manag. 70, 1–18. https://doi.org/10.1080/09670874.2022.2051642 (2022).
Dabiré, R. K. et al. Distribution of pyrethroid and DDT resistance and the L1014F kdr mutation in Anopheles gambiae s.l. from Burkina Faso (West Africa). Trans. R. Soc. Trop. Med. Hygiene 103, 1113–1120 (2009).
Hien, A. S. et al. Evidence that agricultural use of pesticides selects pyrethroid resistance within Anopheles gambiae s.l. populations from cotton growing areas in Burkina Faso, West Africa. PLoS ONE 3, 1–15 (2017).
Soma, D. D. et al. Malaria vectors diversity, insecticide resistance and transmission during the rainy season in peri-urban villages of south-western Burkina Faso. Malar. J. 20, 1–11 (2021).
Epopa, P. S. et al. Seasonal malaria vector and transmission dynamics in western Burkina Faso. Malar. J. 18, 1–13 (2019).
Acknowledgements
We are indebted to “Institut de recherche en Sciences Appliquées et technologiques” (IRSAT) for providing us with essential oils. Hamadou Konaté is the recipient of a PhD studentship of University Nazi BONI. We thank the many contributors to the surveys, the laboratory staff, and the field teams who worked tirelessly to collect this data, as well as the communities of Dogona, who provided their valuable support by accepting and consenting to the use of our essential oils and to the collection of mosquitoes in their homes.
Funding
Funding for this study was provided partly by the TWAS 18–163 RG/BIO/AF/AC_G–FR3240303649 and the “Centre d’excellence Africain (CEA) en Innovations biotechnologiques pour l’elimination des maladies a transmission vectorielle”.
Author information
Authors and Affiliations
Contributions
H.K, M.N, and OG designed and developed the study. M.B and F.M.A provided critical supervision of the work. H.K, F.M.A, S.G, K.W.U.K, and M.B conducted the laboratory experiments. H.K, F.M.A, M.B, O.G, and M.N analyzed and interpreted the data, then drafted the manuscript. A.K and A.A.M completed the mapping. O.G and M.N provided a thorough review of the manuscript. All authors contributed to the creation of this article and approved the final submitted version.
Corresponding authors
Ethics declarations
Competing interests
The authors declare no competing interests.
Ethical approval and consent to participate
The entomological surveys did not involve human volunteers. However, we obtained written informed consent (or a fingerprint if illiterate) from household heads to use their homes for mosquito collection. The project received approval from the local institutional ethics committee.
Consent for publication
Not applicable.
Additional information
Publisher’s note
Springer Nature remains neutral with regard to jurisdictional claims in published maps and institutional affiliations.
Rights and permissions
Open Access This article is licensed under a Creative Commons Attribution-NonCommercial-NoDerivatives 4.0 International License, which permits any non-commercial use, sharing, distribution and reproduction in any medium or format, as long as you give appropriate credit to the original author(s) and the source, provide a link to the Creative Commons licence, and indicate if you modified the licensed material. You do not have permission under this licence to share adapted material derived from this article or parts of it. The images or other third party material in this article are included in the article’s Creative Commons licence, unless indicated otherwise in a credit line to the material. If material is not included in the article’s Creative Commons licence and your intended use is not permitted by statutory regulation or exceeds the permitted use, you will need to obtain permission directly from the copyright holder. To view a copy of this licence, visit http://creativecommons.org/licenses/by-nc-nd/4.0/.
About this article
Cite this article
Konaté, H., Namountougou, M., Amara, M.F. et al. Cymbopogon citratus and Lippia multiflora essential oils as alternative repellent to DEET against Anopheles gambiae s.l. in Bobo-Dioulasso, Burkina Faso. Sci Rep 15, 42457 (2025). https://doi.org/10.1038/s41598-025-26462-7
Received:
Accepted:
Published:
Version of record:
DOI: https://doi.org/10.1038/s41598-025-26462-7




