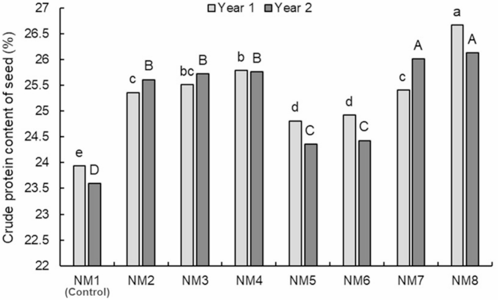
Fig. 6

Effect of seaweed extract on crude protein content of mung bean seeds the experimental years (Year 1 and Year 2 are the summer season of 2023 and 2024, respectively)[NM1:RDFNPK (Control); NM2: RDFNPK FS21DAS; NM3: RDFNPKFS21DAS and 42DAS; NM4: ½ RDFNPK FS21DAS and 42DAS; NM5: SP; NM6: SP fb SI Rhizobium; NM7: RDFNPK SP FS21DAS; NM8: RDFNPK SP fb FS21DAS and 42 DAS] Mean follows by different letters are significantly different by Duncan’s Multiple Range Test (DMRT) at P ≤ 0.05.