Abstract
In modern agricultural scenarios, the application of various seaweed-based biostimulants has been recognized for its positive effects on improving crop growth, yield, nutrient uptake, and overall quality across a wide range of crops. Hence, a 2-year field experiment (2023–2024) was conducted in the Instructional Farm of Sasya Shyamala Krishi Vigyan Kendra, RKMVERI falling under the Coastal Saline Agroclimatic Zone of West Bengal to assess the impact of Kappaphycus alvarezii seaweed extract on mung bean (cv. Virat), applied via seed priming and foliar spray under eight nutrient management treatments in a Randomized Complete Block Design. The combined application of the recommended dose of fertilizers (RDFNPK) and seaweed extract through seed priming, and two foliar sprays significantly enhanced shoot and root growth, chlorophyll content, yield-attributing traits, and seed yield, achieving a 30.03% and 28.81% increase in 2023 and 2024, respectively. This treatment also improved macronutrient (N, P, K) uptake and produced the highest crude protein content (26.67% in 2023 and 26.13% in 2024). While seed nutrient uptake was maximized, stover nutrient uptake varied between sole and combined seaweed applications. The highest net return (₹ 21,013/ha and ₹ 26,558/ha) was recorded from this treatment, whereas the best incremental cost–benefit ratio (21.49 and 25.08) was noted with seed priming and a single foliar spray of seaweed extract alongside RDFNPK. Overall, integrating seaweed extract through seed priming and foliar spray with RDFNPK presents a resource-efficient, economically viable strategy for enhancing mung bean productivity and nutritional quality in coastal saline regions.
Similar content being viewed by others
Introduction
With the exponential population growth, the demand to feed the ever-increasing population is also increasing. Farmers are shifting towards intensive cultivation practices by applying excessive amounts of inorganic fertilizers to boost the productivity of field crops1. Along with food security, ensuring the nutritional security of the people is of the utmost crucial for sustaining a healthy population2. Pulses are an integral part of human nutrition by providing a good quantity and quality of dietary proteins along with essential vitamins and minerals too3. From the soil health point of view, pulses are considered to be very important components of the cropping system for enhancing the soil quality by enhancing the process of fixing atmospheric nitrogen in the soil, employing biological nitrogen fixation4. Additionally, the carbon and water footprint of the pulses is quite low, which makes them a sustainable choice for cultivation5. Amongst the pulses, the mung bean or moong bean [Vigna radiata (L.) R. Wilczek] is a popular kharif (rainy) and summer crop in West Bengal, India. Being short, it can be used to intensify the cropping system and thus the area and yield of pulses can be increased without eliminating a principal crop6. It relies on very little input and can be grown on the residual soil fertility and moisture of the preceding rabi crop, like wheat and potato7. It has been observed that mung bean can effectively control weeds and reduce soil erosion during summer due to dense canopy coverage8.
The coastal saline zone of West Bengal is one of the most resource-challenged agro-climatic zones9,10. The agriculture of the region faces a severe threat from climate change, such as anomalies of rainfall distribution, water scarcity, heat stress, etc. The cropping system of the zone is mainly mono-cropped with long-duration kharif rice, followed by winter and summer fallow11. The buildup of surface soil salinity with the fall of winter and the arrival of summer prevents the cultivation of crops during this period. Hence, the intensification of cropping system with inclusion of short-duration grain legumes like mung bean is very important6. Also, the climate and soil of the delta favor the cultivation of summer mung bean, and hence, it holds the highest area and production of mung bean in the state of West Bengal12. The average productivity of mung bean in India is 670 kg/ha13, while the coastal saline zone of West Bengal shows an below par productivity of 631 kg/ha only, indicating that there remains significant scope for improving the yield in this region12. The application of biostimulants like seaweed extracts is among the sustainable strategies for improving the overall performance of the crops. Seaweeds are the macroalgae that grow along the coastal region, and the sap extracted from them contains various bioactive substances14. They contain essential macro and micro nutrients, a variety of phytohormones like auxin, gibberellins, cytokinins, which possess a stimulatory effect on crop growth and development15,16. Among the various species of seaweeds, Kappaphycus alvarezii, a red seaweed, is commonly cultivated for its sap in agriculture17. There are various methods of seaweed applications in agricultural crops, out of which foliar spray, soil application, and seed priming are the prominent ones.
Whereas, among the various methods of seaweed application, seed priming has emerged as an effective approach. This technique involves treating seeds with specific priming solutions for a defined duration before sowing. Following treatment, the seeds are withdrawn and driedeither under the sun, shade, or gentle heatto halt radicle emergence while enhancing the seeds’ metabolic readiness18. Seed priming is widely recognized for its simplicity, cost-effectiveness, and low risk, making it a practical choice for farmers. The benefits of primed seeds include improved germination uniformity, faster emergence, stronger seedling establishment, and enhanced nutrient uptake19.
When combined with fertilizer application, seed priming can significantly amplify crop performance. The metabolic boost provided by priming prepares the seed to better utilize available nutrients from fertilizers, leading to improved physiological and biochemical responses. This synergistic effect enhances early vigour, accelerates growth, and ultimately contributes to higher yields, particularly in stress-prone or resource-limited agroecosystems20. Also, seed priming with Kappaphycus alvarezii seaweed extract has been reported to enhance growth, yield, and nutritional quality of maize14. With this background, the experiment has been conceptualized and conducted with the following objectives:
-
1.
Evaluation of the effect of seaweed extract on growth, yield, nutrient uptake, and quality of summer mung bean.
-
2.
Optimization of the method of seaweed application in mung bean.
-
3.
Calculation of the economic feasibility of seaweed extract application in summer mung bean cultivation.
Results
Shoot growth
Seaweed extract was observed to have a significant influence (at P ≤ 0.05 level) on the shoot growth of mung bean in terms of plant height, above-ground biomass accumulation, and leaf area index (Fig. 1). All the shoot growth parameters were seen to increase till harvest, except LAI, where, after 40 DAS, the LAI decreased sharply.
Effect of seaweed extract on (a, b) plant height; (c, d) above ground biomass; (e, f) leaf area index of summer mung bean cv. Virat during year 1 and year 2 of the experimentation. (Year 1 and Year 2 are the summer season of 2023 and 2024, respectively). [NM1: RDFNPK (Control); NM2: RDFNPK FS21DAS; NM3: RDFNPKFS21DAS and 42DAS; NM4: ½ RDFNPK FS21DAS and 42DAS; NM5: SP; NM6: SP fb SI Rhizobium; NM7: RDFNPK SP FS21DAS; NM8: RDFNPK SP fb FS21DAS and 42 DAS] Mean follows by different letters are significantly different by Duncan’s Multiple Range Test (DMRT) at P ≤ 0.05.
Application of seaweed extract through seed priming and foliar spray (NM8) along with full RDFNPK resulted in higher plant height of mung bean during the entire observations and an increment of 38.49% and 41.39% at harvest (i.e., at 60 DAS) was recorded as compared to the plants that did not receive any seaweed extracts. The plant treated with a similar seaweed-based treatment accumulated the highest above-ground biomass during harvesting, with an increment of 22.04% and 27.35% dry weight in the two subsequent years, respectively, over the control. The leaf area index (LAI) reached its highest value (1.24) at 40 DAS in the first year when plants were treated with seaweed extract through both seed priming and foliar spray with RDF, while in the final year, supplemental application of seaweed extract twice with 50% RDF maximized the LAI (Fig. 1e, f).
Root growth and nodule characteristics
The root length and nodule dynamics of mung bean were also significantly affected (at P ≤ 0.05 level) by various seaweed treatments. Full RDFNPK supplemented with seed priming followed by foliar application of seaweed extract resulted in the highest root length of mung bean with an augmentation of 14.04% and 3.38% in year 1 and year 2, respectively, as compared to the control (Table 1). A similar trend was seen with the root nodulation characteristics of the mung bean. The seeds primed with seaweed extract followed by Rhizobium inoculation (NM6) showed the highest nodule number as well as nodule fresh weight in both years of research. The least nodule count was found in the plants that did not receive any biostimulant or biofertilizer supplementation (Table 1).
Leaf chlorophyll content
The chlorophyll content of mung bean leaves, including chlorophyll a, chlorophyll b, and total chlorophyll, showed significant variation (at P ≤ 0.05 level) under different seaweed treatments (Fig. 2). In both experimental years, the highest concentrations of chlorophyll a, chlorophyll b, and total chlorophyll were recorded in plants subjected to seed priming with seaweed extract, followed by foliar application of seaweed extract in combination with RDF, which differed significantly from the other treatments (Fig. 2).
Effect of seaweed extract on leaf chlorophyll content of mung bean during (a) Year 1 and (b) Year 2 (Year 1 and Year 2 are the summer season of 2023 and 2024, respectively) [NM1:RDFNPK (Control); NM2: RDFNPK FS21DAS; NM3: RDFNPKFS21DAS and 42DAS; NM4: ½ RDFNPK FS21DAS and 42DAS; NM5: SP; NM6: SP fb SI Rhizobium; NM7: RDFNPK SP FS21DAS; NM8: RDFNPK SP fb FS21DAS and 42 DAS]Mean follows by different letters are significantly different by Duncan’s Multiple Range Test (DMRT) at P ≤ 0.05.
Yield attributes and yield
Data tabulated in Table 2 denoted that the pod number of mung bean plants was significantly (at P ≤ 0.05 level) affected by seaweed treatments; however, irrespective of treatment, it failed to bring any significant changes for the number of seeds/pod and test weight. Use of seaweed extract as both seed priming agent and foliar fertilization (twice) without compromising the recommended dose resulted in the highest pods count per plant, accounting for 20.74% and 21.01% higher than sole application of RDFNPK in both the years of study, respectively (Table 2). Maximization of yield attributing traits under seaweed extract supplementation results in the highest seed yield of mung bean (588.43 kg/ha and 602.10 kg/ha during two consecutive years, respectively) from the aforementioned treatment, leading to a yield augmentation of 30.03% and 28.81% as compared to no seaweed application.
The stover yield of the crop also followed a similar dynamic. The highest harvest index of mung bean was obtained from the plants that received seaweed extract through seed priming and foliar spray in the first year of study, while in the subsequent year, only foliar application of seaweed extract with or without seed priming showed the best harvest index without statistical variation (Table 2).
Macro nutrient uptake
The nutrient uptake of the crop was measured in terms of nitrogen, phosphorus, and potassium uptake by both seeds and stover were significantly varied with various seaweed treatments (Figs. 3, 4, 5). Maximum nitrogen accumulation in seed (24.8 kg/ha and 24.72 kg/ha) in both studied years was recorded from the plants that received full RDFNPK along with seaweed extract through seed priming and foliar spray (two times). In contrast, the maximum nitrogen uptake (53.74 kg/ha and 56.65 kg/ha) by stover across both years was observed in plants where only seed priming using seaweed extract was followed (Fig. 3). Previous treatment maximized the total nitrogen accumulation in the plants during both years of the experiment (Fig. 3). The highest phosphorus uptake by mung bean seed was examined from the application of seaweed extract through seed priming and foliar application with full RDFNPK in both years of study. Consistently, seed priming and foliar application of seaweed extract recorded maximum stover and total uptake of phosphorous (Fig. 4). A similar trend was observed in K accumulation by mung bean seeds. For stover potassium uptake, seed priming with seaweed extract followed by Rhizobium inoculation recorded the highest value in the first year; However, in the second year, both seed priming and foliar seaweed application twice with RDFNPK again led to the highest stover potassium uptake, being statistically comparable to others. Overall, total potassium uptake was maximized under similar treatment (Fig. 5).
Effect of seaweed extract on nitrogen uptake of mung bean during (a) Year 1 and (b) Year 2 (Year 1 and Year 2 are the summer season of 2023 and 2024, respectively) [NM1:RDFNPK (Control); NM2: RDFNPK FS21DAS; NM3: RDFNPKFS21DAS and 42DAS; NM4: ½ RDFNPK FS21DAS and 42DAS; NM5: SP; NM6: SP fb SI Rhizobium; NM7: RDFNPK SP FS21DAS; NM8: RDFNPK SP fb FS21DAS and 42 DAS] Mean follows by different letters are significantly different by Duncan’s Multiple Range Test (DMRT) at P ≤ 0.05.
Effect of seaweed extract on phosphorous uptake of mung bean during (a) Year 1 and (b) Year 2 (Year 1 and Year 2 are the summer season of 2023 and 2024, respectively) [NM1:RDFNPK (Control); NM2: RDFNPK FS21DAS; NM3: RDFNPKFS21DAS and 42DAS; NM4: ½ RDFNPK FS21DAS and 42DAS; NM5: SP; NM6: SP fb SI Rhizobium; NM7: RDFNPK SP FS21DAS; NM8: RDFNPK SP fb FS21DAS and 42 DAS] Mean follows by different letters are significantly different by Duncan’s Multiple Range Test (DMRT) at P ≤ 0.05.
Effect of seaweed extract on potassium uptake of mung bean during (a) Year 1 and (b) Year 2 (Year 1 and Year 2 are the summer season of 2023 and 2024, respectively) [NM1:RDFNPK (Control); NM2: RDFNPK FS21DAS; NM3: RDFNPKFS21DAS and 42DAS; NM4: ½ RDFNPK FS21DAS and 42DAS; NM5: SP; NM6: SP fb SI Rhizobium; NM7: RDFNPK SP FS21DAS; NM8: RDFNPK SP fb FS21DAS and 42 DAS] Mean follows by different letters are significantly different by Duncan’s Multiple Range Test (DMRT) at P ≤ 0.05.
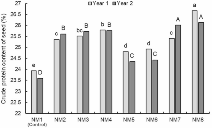
Crude protein content of mung bean
Seaweed extracts seem to have a significant effect on the crude protein content of mung bean seeds (Fig. 6). The highest crude protein of seeds (26.67% and 26.13% during experimental years, respectively) was observed in plants where seeds were primed with seaweed extract, followed by its two times foliar application with RDFNPK. On the contrary, the lowest protein content was recorded from the plants grown under the exclusion of seaweed extract.
Effect of seaweed extract on crude protein content of mung bean seeds the experimental years (Year 1 and Year 2 are the summer season of 2023 and 2024, respectively)[NM1:RDFNPK (Control); NM2: RDFNPK FS21DAS; NM3: RDFNPKFS21DAS and 42DAS; NM4: ½ RDFNPK FS21DAS and 42DAS; NM5: SP; NM6: SP fb SI Rhizobium; NM7: RDFNPK SP FS21DAS; NM8: RDFNPK SP fb FS21DAS and 42 DAS] Mean follows by different letters are significantly different by Duncan’s Multiple Range Test (DMRT) at P ≤ 0.05.
Economics of mung bean cultivation
The application of seaweed extract either through an individual method (seed priming and foliar spray) or in a combined form remains profitable for the farmer by increasing the net return and incremental cost benefit ratio of the cultivation (Table 3). The highest net return (21,013 ₹/ha and 26,558 ₹/ha in both years, respectively) were obtained from combined application of seaweed sap as seed priming agent and foliar fertilizer (two times) with proper RDFNPK while the highest ICBR (21.49 and 25.08 in both years respectively) of mung bean cultivation was observed from with seed priming with seaweed extract followed by its foliar application once with RDFNPK.
Post-harvest experimental soil
An effect on pH, EC, organic carbon, and macro nutrient (N, P, and K) status was observed in the post-harvest soil due to various seaweed treatments (Fig. 7). The pH of the post-harvest soil is seen to be increased as compared to the initial soil, moving towards the neutral range. The highest soil pH was seen from the soil where the plants were foliar applied with seaweed extract either in sole or in combination with seed priming. The soil salinity measured as EC was seen to drop in the post-harvest soils. The lowest EC (0.17 dS/m) was seen in soils where seaweed extracts were applied. A dynamic trend was observed in the case of organic carbon and available N, P, and K. Highest levels of organic carbon (0.31%) were recorded with twice the foliar spray of seaweed extract (NM4). Whereas seed priming with seaweed followed by twice foliar application of seaweed with RDFNPK recorded the highest values of available nitrogen (175 kg/ha), phosphorous (35.34 kg/ha) and potassium (385 kg/ha) at the end of a 2-year crop cycle.
(a) soil pH, (b) soil EC, (c) organic carbon, (d) available nitrogen, (e) available phosphorous, and (f) available potassium after completion of two years of cropping cycle. Values in the bar represent the increase (+) or decrease (−) from the initial value (before starting the experiment). The red dotted line indicates the initial soil status. [NM1:RDFNPK (Control); NM2: RDFNPK FS21DAS; NM3: RDFNPKFS21DAS and 42DAS; NM4: ½ RDFNPK FS21DAS and 42DAS; NM5: SP; NM6: SP fb SI Rhizobium; NM7: RDFNPK SP FS21DAS; NM8: RDFNPK SP fb FS21DAS and 42 DAS; Mean follows by different letters are significantly different by Duncan’s Multiple Range Test (DMRT) at P ≤ 0.05
The nutrient balances between pre-sowing and post-harvest soils were also observed in this experiment. In case of organic carbon dynamics between pre-sowing and post-harvest soil, the highest and positive balance was seen in NM4 while NM1 and NM5 recorded negative balance respectively. Available nitrogen balance was positive for all the treatments with highest balance with NM8 but, except for NM5 and NM6 which showed a decline in available nitrogen content in post-harvest soil. Highest available phosphorous balance was recorded from NM8 and NM3 while the rest treatments recorded negative balances. Treatment NM8 observed the highest positive available potassium balance, while NM5 and NM6 registered negative potassium balance between pre-sowing and post-harvest soil.
Discussion
The plant growth parameters of mung bean, including plant height, above-ground biomass, and leaf area index, were subjected to an increase with the application of K. avarezii seaweed extract along with the recommended dose of fertilizers (Fig. 1). The K-sap was applied to mung bean through seed priming (pre-sowing phase) and foliar spray (at different growth phases). The combined application (seed priming followed by foliar spray) of K-Sap was found to be most effective, and a significant increment was observed over the control plot in the case of overall growth parameters of the mung bean. On the other hand, the lowest plant growth parameters were observed from the plot that received only RDF (control plot). This result is due to the application of seaweed-based products like K-Sap that are rich in essential minerals such as potassium, calcium, magnesium, and various micronutrients, along with phytohormones including gibberellic acid (GA₃), auxins, and cytokinins15,16. They also contain antioxidant compounds like phenols, flavonoids, and tannins, which collectively promote crop growth, increase nutrient uptake, and improve soil health both directly and indirectly15,16,21,22. The observed increase in plant height can be largely attributed to the presence of growth-promoting hormones such as auxins, cytokinins, and gibberellic acid (GA₃), which stimulate both cell division and elongation23. Auxins and GA3 contribute to stem elongation by loosening cell walls and promoting cell expansion, while cytokinins enhance sustained growth through increased cell division, collectively supporting improved vegetative development24. The rise in the dry matter accumulation may be linked to the use of K-Sap as both a seed priming agent and foliar spray, which positively influences plant biochemical processes, including enhanced enzymatic activity, hormonal regulation, and improved photosynthetic efficiency25. The resulting increase in photosynthetic rate facilitates better resource partitioning, greater leaf area development, accumulation of above-ground biomass, and an overall boost in crop growth rate26. The chlorophyll content of the mung bean leaves was increased due to seaweed extract application (Fig. 2). The nutrients present in the extract are readily absorbed through the foliage, leading to increased chlorophyll synthesis27. Hormones such as cytokinins play a crucial role by inhibiting chlorophyll degradation and protein breakdown, thereby supporting sustained chlorophyll accumulation and improved photosynthetic activity28.
The highest root length was recorded where the seeds were primed with seaweed extract, followed by two foliar sprays, whereas seed priming with seaweed extract followed by Rhizobium inoculation resulted in the highest nodule parameters (Table 1). Application of seaweed extract helps in increasing the number of functional nodules due to the presence of several cytokinins, including trans-zeatin riboside and its dihydro derivative29. The bioactive compounds present in seaweed extract and its organic subfractions have affected the legume-rhizobia signaling processes, resulting in more functional nodules and nodule fresh weight per plant30. Also, the Rhizobium present in the rhizosphere of the plant helps in increasing the number of active nodules for facilitating the process of biological nitrogen fixation31.
The yield and yield attributing parameters, such as number of pods/m2 were significantly influenced by the application of seaweed extracts as seed primers and foliar spray conjugation with RDF (Table 2). The pod number is the major yield-determining factor in the case of pulse crops that are influenced by the seaweed extract in a positive manner27. Enhancement of chlorophyll content, followed by photosynthetic efficiency, led to the production of a greater amount of carbohydrates and multiple secondary metabolites, causing better partitioning of final yield in terms of pods per plant or pods per m2 and economic product32. This result was in close confirmation with the findings of Gowrisanker et al.33 and Kavipriya et al.34 in mung bean. Application of seaweed extract significantly enhanced the nutrient uptake by seed and stover of mung bean (Figs. 3, 4, 5). The external application of seaweed extract during key growth stages may enhance crop nutrient uptake, likely due to its content of macronutrients (N, P, K, Ca, and Mg), micronutrients (Cu, Zn, Mn, and Fe), and other beneficial compounds35. Additionally, the phytohormones present in K-Sap may promote better root development and architecture, thereby supporting more efficient nutrient absorption and translocation into the aerial parts from the soil36. Improved root proliferation enhances the plants’ ability to absorb a greater quantity of nutrients from the soil, which are then more efficiently distributed throughout the crop33. This optimized nutrient uptake and internal allocation contribute significantly to increased metabolic activity, ultimately resulting in a higher protein content in the harvested economic yield37.
Stepwise regression derived three model in describing the relationship between seed yield, soil, and plant nutrient uptake (Table 4). Amongst the different models, seed K uptake emerges as the most significant factor governing the seed yield (R2 = 0.97), followed by seed N uptake (Model II) and soil P content (Model III). From this regression, it can be explained that the application of seaweed extract increases the seed potassium uptake (30.26% and 18.03% in the experimental years) which has significant impact on grain yield, seed K, and seed N. Darwin Watson value (2.263) greater than 2 indicates that the all models are autocorrelated and probably governed by single genetic factor38.
The application of seaweed extract can be a cost-effective option for crop cultivation by enhancing both productivity and sustainability. The Incremental Cost Benefit Ratio (ICBR) of mung bean cultivation using seaweed extract application through seed priming followed by foliar spray was recorded as 18.29 and 25.2 in the two respective years of the study (Table 3). This indicates a highly favorable economic return, demonstrating that the treatment was not only agronomically effective but also economically viable. The substantial increase in benefit per unit cost highlights the potential of seaweed-based biostimulants application in enhancing mung bean productivity and profitability under field conditions. It contains essential nutrients, amino acids, vitamins, and natural plant growth regulators that stimulate root development, boost vegetative growth, and improve flowering and fruiting, leading to higher yields and better-quality produce39. Additionally, its ability to enhance nutrient uptake efficiency can reduce the need for chemical fertilizers, thereby lowering input costs are additional benefits14.
Application of seaweed extract through seed priming followed by foliar spray also registered significant performances in mung bean in other similar studied conducted by Gowrisanker et al.33 and Alagundagi40.
Conclusion
Seed priming with seaweed sap, followed by two foliar sprays at 21 and 42 days after sowing along with (twice) along with RDFNPK, significantly improved growth parameters, yield components, and yield of summer mung bean across both years of the study. Additionally, seaweed application enhanced nutrient uptake and increased the crude protein content of the grains. From an economic perspective, the adoption of seaweed fertilization into the mung bean cultivation system proved beneficial, offering improved returns for farmers. Therefore, the use of seaweed extract can be considered a sustainable nutrient management strategy for enhancing mung bean productivity in coastal saline soils, while also supporting the nutritional and economic well-being of the small and marginal farming community.
Materials and methods
Site description
Two-year field experiments were conducted during the summer season of 2023 and 2024 at the Instructional Farm of Sasya Shyamala Krishi Vigyan Kendra, RKMVERI, located at Arapanch, South 24 Parganas, West Bengal, India (22.42°N latitude and 88.28°E longitude) (Fig. 8). The meteorological parameters were monitored during the experimental periods (Fig. 8). The mean maximum and minimum temperatures during the study period were 35.4 °C and 20.5 °C, and 35.5 °C and 20.2 °C in the subsequent years, respectively. Relative humidity averaged 51.84% and 54.39% during the respective experimental seasons. The average annual rainfall across the experimental period was 1541.81 mm. The mean solar radiation during the experimental years was 17.59 MJ/m2/day and 17.07 MJ/m2/day during the first and second years, respectively (Table 5). Before the initiation of the experiment, an initial composite soil sample was collected from a depth of 0–30 cm and analyzed in the laboratory to characterize the experimental soil. The soil was classified as clay loam, comprising 42.90% sand, 27.85% silt, and 29.25% clay. The initial values of the soil’s physicochemical parameters were as follows: pH of 6.8, electrical conductivity (EC) of 0.21 dS m−1, organic carbon content of 0.26%, available nitrogen of 144 kg ha−1, available phosphorus of 30.65 kg ha−1, and available potassium of 305 kg/ha.
Location Map of the experimental area [Situated at 22.42° N latitude and 88.28°E longitude (Map in scale; Map created using QGIS, not for commercial use].
Experimental design and treatment details
Certified seed of the mung bean variety Virat (IPM 205-07) was obtained from the Seed Production Unit of Sasya Shyamala Krishi Vigyan Kendra (Fram Science Centre), RKMVERI, and used as the test crop for the present experiment. Necessary administrative permission was obtained from the university authorities to conduct the field experiment. The experiment was conducted in a Randomized Complete Block Design (RCBD) with eight nutrient management (NM) treatments replicated thrice (Supplementary Fig. 1). The treatment details are described in Table 6. Each experimental plot measuring 4 m × 3 m (12 m2) was demarcated after final land preparation. There were 5 rows per plot, with the number of plants per row ranging from 60 to 64. The recommended dose of fertilizer (RDFNPK) for mung bean was applied as basal during the final land preparation at a rate of N,P,K @ 20,40,40 kg/ha, respectively6. Urea, single super phosphate, and muriate of potash (MOP) were used as sources of N, P2O5, and K2O, respectively. All the other agronomic practices were used as per the best agronomic practices41. The crop was grown under rainfed conditions during both years. Liquid extracts from red seaweed Kappaphycus alvarezii (K-sap) were used as a foliar spray (10%) as well as a seed priming agent (10%). The spraying of seaweed sap was done by a knapsack sprayer at 21 and 42 days after sowing (DAS). Rhizobium leguminosarum was used in the specific seed inoculation treatment at a rate of 250 g of Rhizobium powder for 10 kg of seed42. After the seeds were treated with the priming agent (seaweed extract) and microbial inoculant (Rhizobium inoculant) as per the treatment combinations, they were subjected to drying in the shade. Small furrows were opened manually with the help of a hand tine, and seeds were sown by dropping them into the furrows at a depth of 3–4 cm in rows 30 cm apart from each other. To ensure optimum plant stand, thinning was executed at 15 days after sowing (DAS) at a plant-to-plant spacing of 10 cm. The crop were sown on 21st November and 19th November in 2023 (Year 1) and 2024 (Year 2), respectively. After reaching the maturity, the crop were harvested in 22nd March (60 days duration) and 23rd March (64 days duration) in 2023 (Year 1) and 2024 (Year 2), respectively.
Specifications of seaweed extract
Red seaweed (Kappaphycus alvarezii) was cultivated along the Tamil Nadu coastline of India, where the red algae were harvested manually and thoroughly washed with fresh water to eliminate extraneous matter. Washed samples were cut into small pieces to ease handling. The seaweed pieces were dried at room temperature (25 ± 2 °C) for 5 days, ground into powder form using a mixture grinder, and then the powder was sieved through a 300 µm sieve43. The sap extraction process involved mechanical milling at ambient temperatures of approximately − 30 °C, resulting in a slurry. This slurry underwent centrifugation for filtration, yielding a concentrated seaweed sap, which was then diluted according to treatment requirements15,16. Kappaphycus seaweed sap is a dark green to brown liquid with a mild marine scent. This sap is rich in essential minerals such as potassium, calcium, magnesium, and other micronutrients, phytohormones like auxins, GA3, and cytokinin, antioxidant compounds such as phenols, flavonoids, and tannins that stimulate plant growth, contributing to its high nutritional status, stimulating soil health, and microbial profile21,25. The nutritional profile of the Kappaphycus alvarezii seaweed sap is mentioned in Supplementary Table 1.
Seed priming process
For priming the mung bean seeds, seaweed extracts were obtained by adopting the methodology of Garai et al.15,16. Here, the crude extract (after filtration with Whatman No. 1 filter paper) of the K-sap is considered as 100% strength, used as a stock solution. The stock solution was diluted to 10% for seed priming. For priming seeds methodology reported by Moulick et al.19 has been considered, with a 1:5 seed to chemo priming solution (10% K-Sap here) practiced. After seaweed priming, the mung bean seeds were sun dried for 72 h followed by immediate sowing in the main field.
Biometrical measurements and yield estimation
The growth attributes of mung bean like plant height (cm), above-ground biomass (g/m2), and leaf area index (LAI) were observed from 5 plant samples (avoiding border row and disease infested plants) in each experimental plots in both experimental years at 20 DAS (days after sowing), 40 DAS, and 60 DAS. In addition to the main experimental plots, small adjacent plots measuring 1.5 × 1.5 m were established for each treatment to facilitate root sampling. These small plots were subjected to the same agronomic management practices as the main plots, including identical planting density, fertilization, irrigation, and pest control measures, to ensure consistency and comparability of experimental conditions. To ensure proper uprooting of plants with an intact root system at 40 DAS, the selected plots was thoroughly moistened 24 h prior to uprooting to bring the soil to field capacity. Following this, a specially designed root collection device was carefully inserted to collect the entire foraging area of the selected plant without disturbing the root system. The adhering soil particles were then gently removed by immersing the roots in water, ensuring minimal damage before proceeding with the root studies. Root length was measured from the collar region to the tip using a measuring scale44. After recording the root length, active nodules, identified by their pink coloration, were counted with the aid of a magnifying glass, and the fresh weight of the nodules was recorded42.
For estimation of the yield attributes and yield, the mature pods showing dark brown to black colour were hand-picked. Two pickings at an interval of 7–10 days were done to harvest the mature pods. Then the pods were sun-dried and threshed for yield, the seeds were dried properly to reduce the moisture content to 14.0%4. Yield components like number of pods per m2, number of seeds per pod, and Test weight (100 g) were recorded. The weight of seeds was recorded as g plot−1 and then converted to kg/ha. The stover yield (kg ha−1) was calculated by measuring the fresh weight of the harvested crop after removing the pods. The harvest index (%) was also estimated after harvest of the crop.
Estimation of chlorophyll a, chlorophyll b, and total chlorophyll content of mung bean leaves was performed at the post-flowering stage (at 45 DAS) of the crop. Fresh leaf samples were immersed in 80% acetone, and spectrophotometric determination of the chlorophyll was measured at 645 and 663 nm, respectively. The formula is determined by Sadasivam and Manickam45.
Analysis of soil and plant sample
Soil characteristics estimation
Composite soil samples were collected twice, i.e., before sowing of the crop in the first year and after harvesting of the crop after the end of the crop cycle up to a depth of 30 cm. Particle-size distribution of the soils was obtained by following the Hydrometer method46. Textural classes of the soils were determined from the percent contents of sand, silt, and clay with the help of the triangular textural diagram47. Soil pH and EC48 were determined in soil suspensions (Soil: Water: 1:2.5). Organic carbon was determined by the wet digestion method developed by49 Walkley and Black50 and described by Jackson48. The available nitrogen (N) in the soil was determined using the hot alkaline permanganate method, as described by Subbiah and Asija51. Available phosphorus (P) was extracted using 0.5 M sodium bicarbonate (NaHCO₃), following the procedure of Olsen et al.52, and quantified using a UV–Vis spectrophotometer. Available potassium (K) was extracted with a neutral ammonium acetate solution, as recommended by Brown and Warncke53, and measured using a flame photometer.
Estimation of macro nutrient uptake
For estimation of macro nutrients (i.e., nitrogen, phosphorus, and potassium) uptake by seed and stover, the seeds and stover were separately ground. The measured plant samples were digested with the help of concentrated H2SO4 and accelerated with a digestion mixture until a green color appeared. Then the digested samples were titrated with 0.025 (N) H2SO4 using the Micro-technique Kjeldahl’s after being distilled with 40% NaOH (AOAC) to find out the nitrogen content of the sample. The analysis of P and K concentration from samples was described by Jackson48. Then, the nutrient uptake was calculated using the following formula as suggested by Godebo et al.54.
Quality measurements
The crude protein content of the seed was determined by multiplying the seed nitrogen percentage by 6.25 and expressed as a percentage55.
Agro-economic aspect
The Economics of the experiment in terms of cost of cultivation, gross return, net return, and incremental cost–benefit ratio (IBCR) were estimated after the end of each successive cycle. The cost of cultivation of different treatments was calculated, including the variable costs like the cost of seaweed sap used, seed inoculation with Rhizobium, depending on the particulars of the treatment. Gross return (₹/ha) was calculated by multiplying the seed yield by the minimum support price (MSP) of mung bean issued by the Government of India56 (Supplementary Table 2). The Net return (₹/ha) was calculated by subtracting the total cost of cultivation from the gross return. The incremental cost–benefit ratio (IBCR) was then calculated using the formula of Sheoran et al.49.


Statistical analysis
The statistical analysis was conducted using a two-way analysis of variance (ANOVA) for a randomized complete block design (RCBD), following the methodology outlined by Gomez and Gomez57. The significance of the sources of variation was tested using the error mean square, and mean comparisons were carried out using Duncan’s Multiple Range Test (DMRT) at a 5% probability level. The F-values were compared, and the critical difference (CD) was computed at the 5% level of significance. All statistical analyses and graphical representations were performed using R (version 4.3.3)58, OriginPro version 8.559, and SPSS version 20.060.
Data availability
The data will be available to the corresponding author upon request.
References
Muchhadiya, R. M. et al. Feeding the world: Agronomic innovations to meet the challenges of a growing population. Int. J. Res. Agron. 7, 790–802 (2024).
Tian, J., Bryksa, B. C. & Yada, R. Y. Feeding the world into the future–food and nutrition security: The role of food science and technology. Front. Life Sci. 9(3), 155–166 (2016).
Sarkar, S. et al. Options for intensification of cropping system in coastal saline ecosystem: Inclusion of grain legumes in rice-based cropping system. Soil Syst. 8(3), 90 (2024).
Sarkar, S. et al. Evaluation of the APSIM model in rice-lentil cropping system in a complex coastal saline environment. J. Indian Soc. Coast. Agric. Res. 42(1), 53–72 (2024).
Adarsh, S., Jacob, J. & Giffy, T. Role of pulses in cropping systems: A review. Agric. Rev. 40(3). (2019)
Sarkar, S. et al. Natural and organic input-based integrated nutrient-management practices enhance the productivity and soil quality index of rice–mustard–green gram cropping system. Land 13(11), 1933 (2024).
Kaur, R. et al. Increasing area under pulses and soil quality enhancement in pulse-based cropping systems-Retrospect and prospects. Indian J. Agric. Sci. 88(1), 10–21 (2018).
Kundu, R., Bera, P. S., Brahmachari, K. & Mallick, R. Integrated weed management in summer greengram [Vigna radiata (L.) Wilczek] under gangetic alluvial soil of West Bengal. J. Bot. Soc. Bengal 65, 35–43 (2011).
Dey, S. et al. Potato cultivation under zero tillage and straw mulching: Option for land and cropping system intensification for Indian Sundarbans. Land 14(3), 563 (2025).
Ray, K. et al. Assessment of economic sustainability of cropping systems in the salt-affected coastal zone of West Bengal, India. Sustainability 15(11), 8691 (2023).
Mainuddin, M. et al. Long-term spatio-temporal variability and trends in rainfall and temperature extremes and their potential risk to rice production in Bangladesh. PLoS Climate 1(3), e0000009 (2022).
Directorate of Agriculture, Estimates of Area, Yield Rate & Production of Principal Crops in West Bengal. Evaluation Wing, Government of West Bengal, Kolkata, West Bengal, India, 81 (2024).
Professor Jayashankar Telangana State Agricultural University. Greengram Outlook October 2024. PJTSAU Agricultural Marketing Intelligence Centre, October. https://pjtau.edu.in/files/AgriMkt/2024/October/Greengram-October-2024.pdf (2024).
Guo, J. et al. Macroalgae-derived multifunctional bioactive substances: The potential applications for food and pharmaceuticals. Foods 11(21), 3455 (2022).
Sen, A. et al. Soil and plant responses to the application of Ascophyllum nodosum extract to no-till wheat (Triticum aestivum L.). Commun. Soil Sci. Plant Anal. 46(1), 123–136 (2015).
Garai, S. et al. Crop growth and productivity of rainy maize-garden pea copping sequence as influenced by Kappaphycus and Gracilaria Saps at alluvial soil of West Bengal, India. Curr. J. Appl. Sci. Technol. 36, 1–11 (2019).
Nivetha, N., Shukla, P. S., Nori, S. S., Kumar, S. & Suryanarayan, S. A red seaweed Kappaphycus alvarezii-based biostimulant (AgroGain®) improves the growth of Zea mays and impacts agricultural sustainability by beneficially priming rhizosphere soil microbial community. Front. Microbiol. 15, 1330237 (2024).
Moulick, D. et al. Efficacy of seed priming technology in ameliorating metals and metalloids toxicity in crops: Prospective and issues. Rev. Environ. Contam. Toxicol. 263(1), 1–41 (2025).
Moulick, D., Ghosh, D. & Santra, S. C. Evaluation of effectiveness of seed priming with selenium in rice during germination under arsenic stress. Plant Physiol. Biochem. 109, 571–578 (2016).
Moradi, L. & Siosemardeh, A. Combination of seed priming and nutrient foliar application improved physiological attributes, grain yield, and biofortification of rainfed wheat. Front. Plant Sci. 14, 1287677 (2023).
Pramanick, B. et al. Growth, yield, and quality improvement of potato tubers through the application of seaweed sap derived from the marine algae Kappaphycus alvarezii. J. Appl. Phycol. 29(6), 253–260 (2017).
Dhar, A. et al. Growth and yield of lentil (Lens culinaris Medik.) as affected by stress mitigating chemical spray and soil variability. J. Food Legumes 38(1), 63–69 (2025).
Basavaraja, P. K., Yogendra, N. D., Zodape, S. T., Prakash, R. & Ghosh, A. Effect of seaweed sap as foliar spray on growth and yield of hybrid maize. J. Plant Nutr. 41(14), 1851–1861 (2018).
Garai, S. et al. Impact of seaweed sap foliar application on growth, yield, and tuber quality of potato (Solanum tuberosum L.). J. Appl. Phycol. 33, 1893–1904 (2021).
Trivedi, K. et al. A review of the current status of Kappaphycus alvarezii-based biostimulants in sustainable agriculture. J. Appl. Phycol. 35(6), 3087–3111 (2023).
Rathore, S. S. et al. Effect of seaweed extract on the growth, yield and nutrient uptake of soybean (Glycine max) under rainfed conditions. S. Afr. J. Bot. 75(2), 351–355 (2009).
Mahajan, R. V., Bhale, V. M., Deshmukh, J. P., Patil, S. P. & Shingrup, P. V. Effect of foliar spraying seaweed sap on the phenological, biochemical and yield of blackgram. Int. J. Trop. Agric. 34(3), 595–599 (2016).
Shankar, T., Malik, G. C., Banerjee, M. & Ghosh, A. Effect of sea weed extracts on the growth, yield attribute and nutrient uptake of sesame (Sesamum indicum L.). Int. J. Bio-resour. Stress Manag. 6(3), 420–423 (2015).
Saravanan, S., Thamburaj, S., Veeraragavathatham, D. & Subbiah, A. Effect of seaweed extract and chlormequat on growth and fruit yield of tomato (Lycopersicon esculentum Mill.). Indian J. Agric. Res. 37(2), 79–87 (2003).
Khan, K. U., Murad, W., Azizullah, A., Rahman, H. & Khan, M. D. Mix cropping of legume (Vigna radiata) and non-legume (Zea mays) crops alleviates water stress as revealed by growth and biochemical parameters. Acta Physiol. Plant. 39, 1–11 (2017).
Kundu, R., Mandal, J. & Majumder, A. Growth and production potential of greengram (Vigna radiata) influenced by Rhizobium inoculation with different nutrient sources. Int. J. Agric. Environ. Biotechnol. 6(3), 419–426 (2013).
Pramanick, B., Brahmachari, K. & Ghosh, A. Effect of seaweed saps on growth and yield improvement of green gram. Afr. J. Agric. Res. 8(13), 1180–1186 (2013).
Gowrisanker, G., Padmavathi, S., Arunkumar, S. & Rajasimhan, A. P. Influence of Seaweed Extracts on Growth and Seed Yield in Green Gram (Vigna radiata L.) cv. VBN 2. Curr. Agric. Res. J., 12(2). (2024).
Kavipriya, R., Dhanalakshmi, P. K., Jayashree, S. & Thangaraju, N. Seaweed extract as a biostimulant for legume crop, green gram. J. Ecobiotechnol. 3(8). (2011).
Nayak, P., Biswas, S., & Dutta, D. Effect of seaweed extracts on growth, yield and economics of kharif rice (Oryza sativa L.). Journal of Pharmacognosy and Phytochemistry, 9(3), 247–253. (2020).
Ali, O., Ramsubhag, A. & Jayaraman, J. Biostimulant properties of seaweed extracts in plants: Implications towards sustainable crop production. Plants 10(3), 531 (2021).
Devi, N. L. & Mani, S. Influence of seaweed saps on growth, yield and quality of greengram. Asian J. Soil Sci. 13(1), 50–57 (2018).
Bhattacharyya, K. et al. Boron fertilization in sunflower (Helianthus annuus L.) in an Inceptisol of West Bengal, India. Commun. Soil Sci. Plant Anal. 46(4), 528–544 (2015).
Yakhin, O. I., Lubyanov, A. A., Yakhin, I. A. & Brown, P. H. Biostimulants in plant science: A global perspective. Front. Plant Sci. 7, 2049 (2017).
Alagundagi, S. C. Efficacy of sea weed extract-sagarika (liquid) for enhancing the productivity of green gram (Vigna radiata L.). Int. J. Curr. Microbiol. Appl. Sci. 9(7), 3351–3357 (2020).
Kumar, U., Agnihotri, D., Raj, R. & Singh, S. P. Effect of intercultural techniques on growth, yield and yield attributes of rainfed green gram (Vigna radiata L.) under Agri-horti system. Pharma Innov. J. 10(7), 1711–1714 (2021).
Kamble, G., Giri, G. K., Charpe, A. M. & Wakte, P. S. Effect of nitrogen doses with rhizobium seed inoculation on nodulation and grain yield of chickpea. Multilogic Sci. 8, 169–170 (2019).
Murugan, A. et al. Fabrication and characterization of Kappaphycus alvarezii biomass based thin-film and its applications. Food Hum. 1, 589–598 (2023).
Meena, S. K. & Vengadessan, V. Root parameters of blackgram (Vigna mungo L.) Improved by seed pelleting with nutrients and foliar spray of nutrients and plant growth regulator. Plant Arch. 24(1), 875–880 (2024).
Sadasivam, S. & Manickam, A. Phenol Sulphuric Acid Method for Total Carbohydrate Biochemical Methods 10–11 (New Age International Publishers, 2005).
Bouyoucos, G. J. Hydrometer method improved for making particle size analysis of soils. Agron. J. 54, 464–465 (1962).
Brady, N. C. & Weil, R. R. The Nature and Properties of Soils 11th edn. (Prentice Hall, 1996).
Jackson, M. L. Soil Chemical Analysis 183–347 (Prentice Hall of India Pvt. Ltd., New Delhi, 1973).
Sheoran, P., Sardana, V., Singh, S., Sheoran, O. P. & Raj, D. Optimizing sulphur application in sunflower (Helianthus annuus) under irrigated semi-arid tropical conditions. Indian J. Agron. 384−390. (2013).
Walkley, A. & Black, I. A. An examination of the Deggareff method for determining soil organic matter and a proposed modification of the chronic acid titration method. Soil Sci. 37, 29–38 (1934).
Subbiah, B. & Asija, G. L. A rapid procedure for the estimation of available N in soils. Curr. Sci. 25, 259–260 (1956).
Olsen, S. R., Cole, C. V., Watanale, F. S. & Dean, L. A. Estimation of Available Phosphorus in Phosphorus in Soils by Extraction with Sodium Bicarbonate (United States Department of Agriculture, Washington, DC, 1954).
Brown, A. J. and Warncke, D. Recommended chemical soil test procedures for the North Carolina Region, 499. In North Dakota Agricultural Experimental Station Bulletin (eds Dahnke, W. C.) 15–16. (Fargo, 1988).
Godebo, T., Laekemariam, F. & Loha, G. Nutrient uptake, use efficiency and productivity of bread wheat (Triticum aestivum L.) as affected by nitrogen and potassium fertilizer in Keddida Gamela Woreda, Southern Ethiopia. Environ. Syst. Res. 10(1), 12 (2021).
Ladumor, R. G., Gudadhe, N. N., Onte, S., Karmakar, N. & Thanki,. Evaluation of maize for different methods and levels of zinc application. Maydica Electron. Publ. 64(3), 1–14 (2019).
Pal, G., Bhaskar, K. U., Kumar, S. P., Kumari, K. & Agarwal, D. K. An economic analysis of mung bean seed production technology in Mau District of Eastern Uttar Pradesh. Legume Res. Int. J. 44(10), 1260–1264 (2021).
Gomez, K. A. & Gomez, A. A. Statistical Procedures for Agricultural Research (Wiley, 1984).
Wickham, H. Advanced R (Chapman and Hall/CRC, 2019).
Stevenson, K. J. Review of origin pro 8.5. J. Am. Chem. Soc. 133(14), 5621 (2011).
IBM Corp. Released. IBM SPSS Statistics for Windows, Version 25.0 (IBM Corp., Armonk, 2017)
Acknowledgements
The authors are thankful to Ramakrishna Mission Vivekananda Educational and Research Institute, Narendrapur, and Sasya Shyamala Krishi Vigyan Kendra, Sonarpur for providing necessary assistance to conduct the research. Mr. Sujan Mandal, School of Environmental and Disaster management is also acknowledged for visualization.
Author information
Authors and Affiliations
Contributions
Conceptualization, A.D; K.S; S.S., D.M.; methodology, A.D; K.S; S.S.; software, A.D; K.S; S.S; S.D; D.M.; validation, A.D; K.S; S.S; S.D; D.M; formal analysis, A.D; K.S; S.S; S.D.; investigation, A.D; K.S; S.S; S.D; D.M; S.T; S.G; A.G.; resources, A.D; K.S; S.S; S.D; D.M; A.M; A.G; S.G; S.T.; data curation, A.D; K.S; S.S; S.D; S.J; D.M.; writing—A.D; K.S; S.S; S.D; D.M.; writing—review and editing, A.D; S.S; S.D; D.M; A.M; S.J; S.G.; visualization, A.D; S.D; S.S.; supervision, K.S; S.S; D.M.; project administration, A.D; K.S; S.S; S.G, S.T; D.M.; funding acquisition, D.M.
Corresponding author
Ethics declarations
Competing interests
The authors declare no competing interests.
Additional information
Publisher’s note
Springer Nature remains neutral with regard to jurisdictional claims in published maps and institutional affiliations.
Supplementary Information
Below is the link to the electronic supplementary material.
Rights and permissions
Open Access This article is licensed under a Creative Commons Attribution-NonCommercial-NoDerivatives 4.0 International License, which permits any non-commercial use, sharing, distribution and reproduction in any medium or format, as long as you give appropriate credit to the original author(s) and the source, provide a link to the Creative Commons licence, and indicate if you modified the licensed material. You do not have permission under this licence to share adapted material derived from this article or parts of it. The images or other third party material in this article are included in the article’s Creative Commons licence, unless indicated otherwise in a credit line to the material. If material is not included in the article’s Creative Commons licence and your intended use is not permitted by statutory regulation or exceeds the permitted use, you will need to obtain permission directly from the copyright holder. To view a copy of this licence, visit http://creativecommons.org/licenses/by-nc-nd/4.0/.
About this article
Cite this article
Dhar, A., Sengupta, K., Dey, S. et al. Efficacy of seed priming and foliar application of seaweed extracts on the performance of summer mung bean [(Vigna radiata (L.) Wilczek]. Sci Rep 15, 42524 (2025). https://doi.org/10.1038/s41598-025-26544-6
Received:
Accepted:
Published:
Version of record:
DOI: https://doi.org/10.1038/s41598-025-26544-6










