Abstract
Cognitive complaints are common in breast cancer (BC). Previous studies have linked sleep-disordered breathing (SDB) to cognitive decline in the general population, highlighting hypoxia as a key factor in cognitive decline severity. This link is understudied in BC patients. We investigated the association between nocturnal hypoxia and cognitive performance in 35 BC patients compared to 21 healthy controls (HC; mean ages: 61.6 ± 5.3 and 62.6 ± 4.3, respectively) using in-home ambulatory polysomnography, including oximeter to record oxygen saturation. All participants completed questionnaires and cognitive tests. Non-parametric Wilcoxon tests were conducted to compare the two groups and multivariable models to measure the association between hypoxia and cognitive performance, adjusting for anxiety and depression. Our results showed more frequent nocturnal hypoxia and more cognitive complaints in BC patients compared to HCs (p < 0.05). However, cognitive tests did not show significant impairment in the BC group, and no significant association was found between nocturnal hypoxia and cognitive performance. Our patients were treated with radiotherapy and/or endocrine therapy, but without chemotherapy, which may explain their normal cognitive scores despite subjective cognitive complaints. Nocturnal hypoxia is more prevalent in BC patients than in HCs, but it may not be the primary factor influencing cognitive performance in this population.
Trial registration: NCT03420105, registered: January 10, 2018.
Similar content being viewed by others
Introduction
Cognitive deficits in cancer, often referred to as “cancer-related cognitive impairments” (CRCI), are commonly reported by breast cancer (BC) patients. CRCI are mainly subtle in nature and concern difficulties in memory, attention, executive functions, and processing speed1,2,3. Despite their subtle nature, these impairments can persist4 and negatively impact the quality of life of BC patients, hindering their ability to return to work and resume daily activities5,6.
Cognitive complaints are frequently reported by BC patients following chemotherapy7,8, and some studies also suggest an exacerbation of cognitive complaints among BC women undergoing endocrine therapy (ET)9,10. Besides cancer treatments, other factors such as age, psycho-affective and medical comorbidities, and sleep disorders can also contribute to the occurrence and persistence of cognitive decline in BC11,12,13,14,15,16. Notably, self-reported sleep difficulties were found to be strongly associated with CRCI12,17, and many BC patients express sleep difficulties13,18,19.
One of the most commonly reported symptoms of sleep disturbances in BC patients is sleep-disordered breathing (SDB)20. Specifically, SDB is a syndrome characterized by upper airway dysfunction during sleep, marked by snoring, heightened respiratory effort caused by increased resistance in the upper airway, and the tendency of the pharynx to collapse21,22. The primary consequences of SDB are nocturnal hypoxia and sleep fragmentation23. Interest in exploring the prevalence of SDB in BC patients has grown recently, marked by the initiation of a first study in 2021, which used polysomnography (PSG) in BC patients treated with chemotherapy, radiotherapy (RT) and/or ET24. This study found an 88% prevalence of SDB in BC patients. It is important to note, however, that the study did not compare its results to a control group. Individuals without cancer experiencing SDB often demonstrate cognitive difficulties25,26,27, particularly affecting memory, executive functions, and attention28. Additionally, numerous studies have confirmed an association between SDB and cognitive decline in older adults25,29,30,31,32.
Hypoxia refers to a condition characterized by a reduced intake of oxygen or an impaired ability of oxygen use33. Since the brain depends on an important oxygen supply to assure neuronal connectivity and synaptic activity34, oxygen deprivation can lead to cognitive dysfunction35. A recent literature review concluded that hypoxia is the primary contributor to cognitive dysfunction in elderly patients29. Similarly, a study by Yaffe and colleagues31 found that nocturnal hypoxia was more commonly associated with cognitive decline than other sleep-related disturbances. While sleep fragmentation and nocturnal hypoxia often co-occur in SDB, sleep fragmentation primarily impacts cognition through secondary mechanisms such as increased daytime sleepiness and reduced vigilance36. In the 2011 study by Yaffe and colleagues31, no association was found between sleep fragmentation and cognitive impairment, further supporting the dominant role of nocturnal hypoxia in cognitive decline.
Despite the presence of cognitive impairment in BC, and despite evidence linking hypoxia to cognitive impairment in the general population, this link has yet to be explored in BC. This highlights a significant gap in the available data, hindering the effective management of hypoxia and, as a result, limiting the potential to improve patients’ quality of life. The current study aims to characterize the presence of nocturnal hypoxia and its association with cognitive functioning in BC patients compared to HCs. By investigating the relationship between hypoxia and CRCI, we hypothesize that nocturnal hypoxia will be linked to cognitive impairment in BC patients.
Results
Clinical and demographic characteristics of the sample
The demographic and clinical characteristics of the participants are provided in Table 1. No significant differences were observed between BC patients and HCs in terms of demographic characteristics or depression (ps > 0.05). However, a significant difference was observed on the state anxiety as measured by STAI-A (p = 0.02).
BC patients reported significantly more sleep complaints (p = 0.034) and more severe insomnia symptoms (p = 0.012) compared to HCs (Table 1).
Comparison of nocturnal hypoxia between BC patients and HCs
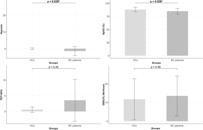
The nocturnal hypoxia scores are presented in Fig. 1. The composite hypoxia score differed significantly between the two groups, indicating more severe hypoxia, as assessed with the composite score, in BC patients compared to HCs (p = 0.028). Specifically, BC patients had lower minimal SpO2 than HCs (BC: 84.8 ± 5.5; HC: 88.1 ± 4.2; p = 0.028). However, there were no significant differences between the groups for ODI (BC: 13.5 ± 10.7; HCs: 11.7 ± 11; p = 0.48) or TST90% (BC: 3.6 ± 6.6; HCs: 0.6 ± 0.8; p = 0.26).
Comparisons of nocturnal hypoxia variables between BC patients and HCs. The hypoxia composite score differed significantly between the two groups, indicating more frequent hypoxia in BC patients compared to HCs. No significant difference was found for the Oxygen Desaturation Index ≥ 3% (ODI ≥ 3%). No significant difference was observed for Total Sleep Time with oxygen saturation ≤ 90% (TST90%). A significant between-group difference was found for Minimal Oxygen Saturation (SpO2).
Between-group differences for cognitive outcomes
No significant differences in scores were found across all cognitive domains assessed. However, a tendency towards a significant difference was observed for the episodic memory composite score (p = 0.06) (Table 2). For more details on raw neuropsychological test scores, please refer to Table S1 in the Supplemental document.
Relationship between nocturnal hypoxia and cognitive performance in the entire sample
We performed multivariable models to determine whether nocturnal hypoxia was associated with cognitive performance in BC. The results are presented in Table 3. No significant association were found between the composite hypoxia score and the composite scores of the different cognitive domains, nor when the predictor was the interaction between group and hypoxia (ps > 0.05). To minimize the risk of missing any specific effects, we examined the relationships between hypoxia and individual cognitive test scores (See Supplemental Online Content 1). These exploratory analyses did not reveal any significant associations (ps > 0.05).
Discussion
To our knowledge, this is the first study to explore the relationship between nocturnal hypoxia and cognitive performance in BC. All participants underwent full-night ambulatory PSG and the same cognitive assessments. A significant difference for nocturnal hypoxia was observed between the two groups, with BC patients experiencing more frequent hypoxia than HCs. However, no significant associations were found with cognitive scores.
One possible explanation for the differences between prior non-cancer studies reporting hypoxia-related cognitive impairment and our results relates to differences in the degree of nocturnal hypoxia. Actually, in our sample, nocturnal hypoxia is mild when compared to populations from SDB cohorts25,26,27,28,29,30,31,32 which might reduce the relationship with cognition. For example, chronic hypoxia in SDB was found to directly cause neuronal injury in the hippocampus and frontal cortex, leading to deficits in attention, memory and executive function37. In addition, cognitive impairment is common in BC and is primarily attributed to cancer treatments, inflammation and psychological factors38,39. These factors might overshadow nocturnal hypoxia’s effect on cognition in our sample.
In line with previous research (e.g., 40,41), our results revealed an increase in cognitive complaints, as measured by the “perceived cognitive abilities” subscale of the FACT-Cog, in BC patients compared to HCs. In this regard, BC patients reported a perceived decline in their cognitive abilities, whereas HCs did not perceive any significant reduction in their cognitive function. However, no significant differences were observed between the two groups in terms of objective cognitive scores, except for a tendency toward significance in episodic memory. Even-though this finding did not reach statistical significance, it suggests an area for additional research, as episodic memory has been identified as vulnerable in previous studies12,14,42,43. Our patients were primarily treated with RT and/or ET, with none receiving chemotherapy. This may explain why their cognitive performance was not impaired as expected. Previous research indicates that ET and RT generally have less impact on cognition compared to chemotherapy. For example, a survey of 2296 BC patients aged 34 to 82 revealed that 60% experienced cognitive symptoms following treatment, with more pronounced cognitive symptoms in patients treated exclusively with chemotherapy than in those who received only ET44. While rates of cognitive dysfunction in BC patients following ET vary between 32 and 64%45, the findings in the literature remain inconsistent46. In their literature review, Haggstrom and colleagues46 presented 72 studies on CRCI in BC patients treated with ET: some studies indicated an impact of ET on cognition, others found no effect, concluding that underdiagnosis of CRCI related to ET is common and should be better addressed. In the current study, patients treated with both ET and RT, or with RT alone, demonstrated comparable cognitive performance (see Supplemental Table S2).
In the context of SDB, only one study has addressed its prevalence among BC patients. This study showed an 88% prevalence of SDB in this population following chemotherapy, RT and/or ET (21). However, the prevalence of SDB has been studied in other types of cancer, and particularly following RT. In a systematic review, Tawfik and colleagues47 showed a positive association between the occurrence of SDB and RT in 103 of 181 head and neck cancer patients (OR 1.16, 95% CI [0.52–2.56]; P = 0.718) with an overall prevalence of 63% (95% CI [0.36–0.85]; P = 0.343) and thus recommending the screening of all cancer patients treated with RT for early signs of SDB. In the current study, higher hypoxia in our sample of patients may be the result of the effects of RT. However, this issue remains understudied in BC patients and warrants further investigation. Additionally, it is worth mentioning that ET is a treatment that suppresses the production of estrogen and progesterone48. The absence of these hormones due to ET may lead to relaxation of the pharyngeal muscles, potentially resulting in greater airway obstruction and an increased risk of hypoxia. In the current study, no significant differences in nocturnal hypoxia were noted between patients treated with both ET and RT and patients treated with RT alone (See Supplemental Table S2). Therefore, ET may not be the primary factor influencing hypoxia in our sample. Finally, menopause is another factor that may explain the presence of hypoxia in our sample. Menopause leads to a reduction in estrogen and progesterone levels49. These hormones play a role in maintaining airway function by preserving the muscle tone of the throat50. Therefore, a reduction in these hormones could increase the likelihood of developing SDB by decreasing muscle tone, thus leading to more breathing difficulties51. While we cannot draw definitive conclusions at this stage, our results suggest that both treatment (probably RT, but not ET) and menopause may contribute to the presence of SDB and, consequently, nocturnal hypoxia in our sample. Higher presence of SDB is our patient sample is consistent with larger sleep complaints in this group. Indeed, BC patients reported more sleep disturbances and more severe insomnia symptoms compared to HCs. This finding is consistent with previous studies showing that sleep-related complaints are particularly prevalent in BC patients52,53,54,55.
This study has several limitations. First, the cross-sectional design limits the assessment of causal relationships between nocturnal hypoxia and cognition in BC. Additionally, the small effect size may have reduced statistical power. Yet, the tendencies toward significance are particularly noteworthy, as they align with previous findings and highlight the potential impact of BC on specific cognitive functions. Furthermore, the cognitive tests used in this study may not have been sensitive enough to detect subtle cognitive impairments that BC patients report in daily life. These tests were conducted in laboratory settings, which do not capture the daily life difficulties patients face. Future research with a longitudinal design is needed to clarify these findings. Studies with pre-treatment baselines and multiple follow-ups might help determine the evolution of this relationship in BC patients. Also, future studies must include a larger sample size in order to increase statistical power. Objective sleep assessment methods such as PSG and more sensitive cognitive assessments are needed to clarify these findings. Detailed cognitive testing to explore whether nocturnal hypoxia impacts cognition directly or through indirect pathways. This might allow us to conclude whether the lack of significant association demonstrated in our sample reflects treatment effects or a true absence of association.
In conclusion, nocturnal hypoxia is not associated with cognitive performance in our sample. Although hypoxia is more frequent during the night in BC patients compared to HCs, it may not be the primary factor contributing to cognitive difficulties in this population, and other sleep disturbances may play a role in explaining cognitive performance in this population. Future studies are needed in this field.
Materials and methods
Participants
Data were gathered from the PROSOM-K project56. All participants gave their written informed consent, and the study was approved by an ethics committee (CPP Ile de France III), with approval number ID-RCB: 2017-A02778-45. Patients were recruited at the Comprehensive Regional Cancer Centre, François Baclesse (Caen, Normandy, France). The study included two groups: 35 BC patients and 21 HCs.
Patient inclusion criteria were: (i) less than 70 years old, (ii) no metastatic BC, (iii) already undergone surgical or RT treatment, (iv) menopausal status since at least one year ago at the time of inclusion, (v) no personality disorder and progressive psychiatric disorder, (vi) no neurological sequelae, (vii) no drug use or use of alcohol, (viii) be a native French speaker, (ix) have at least a primary school level of education. Inclusion criteria of HCs were the same as for patients, including no history of cancer and no global cognitive impairment according to the Montreal Cognitive Assessment57. HC were matched in age and education with BC patients (Table 1).
Measures
Anxiety and depression assessments
Depression was assessed with the Beck Depression Inventory (BDI)58. Anxiety was measured with the State-Trait Anxiety Inventory (STAI-Y)59. BDI evaluates depression using a 21-item scale that provides information about the severity and nature of depression in the participants. The items range from 0 = the absence of symptoms to 3 = an intense level. The sum of the score will define the presence and severity of depression. A score of 1–10 = absence of depression, 11–16 = mild mood disturbance, 17–20 = borderline clinical depression, 21–30 = moderate depression, 31–40 = severe depression, and finally, a score over 40 = extreme depression. In regards to STAI-Y, the first 20 items assess state anxiety (STAI-A), or how the participant feels right now; the second 20 items assess trait anxiety (STAI-B), or how the participant generally feels. Higher scores indicate higher depression and anxiety symptoms, respectively.
Self-reported sleep quality assessments
The Insomnia Severity Index (ISI)60 is a self-report questionnaire assessing the nature, severity, and impact of insomnia. It evaluates the following dimensions: severity of sleep onset, sleep maintenance, early morning awakening problems, sleep dissatisfaction, interference of sleep difficulties with daytime functioning, noticeability of sleep problems by others, and distress caused by sleep difficulties. A score ≥ 7 is considered to indicate the presence of insomnia.
The Pittsburgh Sleep Quality Index (PSQI)61 is a self-report questionnaire that is used to assess efficiency and quality of sleep over a 1-month time interval. It measures the following components: subjective sleep quality, sleep latency, sleep duration, habitual sleep efficiency, sleep disturbances, use of sleep medication, and daytime dysfunction. A score > 5 is considered to indicate a significant sleep disturbance.
Neuropsychological assessments
Subjective cognitive complaints were assessed using the Functional Assessment of Cancer Therapy Cognitive Scale (FACT-Cog) in its French version62.
Episodic memory was assessed with the RL/RI-16 test63, a French adaptation of the Grober and Buschke’s procedure. We calculated the sum of the three immediate free recall scores, the sum of the three immediate total (i.e., free and cued) recall scores, and we used the delayed free recall and the delayed total recall scores.
Working memory was assessed with the Digit Span forward and backward test64. Episodic buffer was assessed with a binding task, the multimodal integration task65: participants had to mentally associate four colored letters and the location of the cross of the same color randomly distributed over a grid. Then a grid appeared with one black letter and the participants indicated if it was correctly located. The score corresponded to the number of correct trials.
The assessment of executive functions focused on three domains, each evaluated through specific cognitive tests. Planning was assessed using the score of accuracy in part 1 of the Zoo Map Test66. Flexibility was evaluated using the Trail Making Test (TMT67, by the following score [TMTB time – TMTA time]/TMTA time. Inhibition was measured with the Stroop test68, [Interference time – Color time]/Word time.
Processing speed corresponded to the average mean time taken to name the colors of the Stroop test and to perform the TMT Part A.
To minimize the issue of multiple statistical testing, we computed composite scores for each cognitive domain. Performance on various cognitive tests were z-transformed and averaged. Before averaging, Z-scores derived from reaction times, percentages/number of errors were reversed so that increasing values always indicated better performance. Accordingly, we categorized four cognitive composite scores: Executive Function, Processing Speed, Working Memory and Episodic Memory (See Supplement).
Hypoxia characterization
All participants underwent a full night recording of sleep using ambulatory PSG at home with monitoring of EEG, EOG, chin, diaphragm and EMG, nasal pressure, oro-nasal thermistor signals, sound (snoring), thoracic and abdominal plethysmography and pulse oximetry routinely used in PSG to measure minimal oxygen saturation (SpO2). All sensors were connected to the Compumedics Siesta sleep system and placed by an EEG technician. Sleep scoring was conducted according to American Academy of Sleep Medicine criteria (AASM)69.
Three variables were extracted to reflect hypoxia as previously proposed70,71. As defined by Berry and colleagues72 following The AASM Manual for the Scoring of Sleep and Associated Events:
-
Oxygen Desaturation Index ≥ 3% (ODI) is defined as the number of times per hour of sleep that blood oxygen levels drop by 3% or more from baseline levels.
-
Total Sleep Time with oxygen saturation ≤ 90% (TST90%) represents the cumulative amount of time during which the blood oxygen saturation levels remain at or below 90% throughout the sleep period.
-
Minimal Oxygen Saturation (SpO2%) reflects the lowest recorded oxygen saturation level during the sleep period. A lower SpO2 is a marker of severe oxygen desaturation episodes.
We also computed a composite score for nocturnal hypoxia. The hypoxia composite scores correspond to the mean of z scores of SpO2%, ODI and TST90%70. Z-scores derived from ODI and TST90% were reversed so that increasing values always indicated better respiratory efficiency.
Statistical analysis
Demographical and clinical characteristics were described using mean, standard deviation and range for quantitative variables and using frequencies and percentage for qualitative variables. The Shapiro-Wilk test was used to assess the normality of the data. Since the normality test was rejected, we applied the non-parametric Wilcoxon Mann-Whitney test to compare demographic, sleep, cognitive, and quality of life characteristics between the groups. Finally, we conducted multivariable models to determine whether hypoxia was associated with cognitive functioning in BC. These models were, adjusted on age, anxiety (STAI-B), depression (BDI), and the group effect, as these factors are known to influence cognitive functioning and performed on the whole sample. Analyses were conducted using R software, version 4.3.0 with statistical significance set at p < 0.05.
Data availability
The data that support the findings of this study are available from the corresponding author upon reasonable request.
References
European Cancer and Cognition Consortium (ECCC), Sleurs, C. et al. Cancer-related cognitive impairment in non-CNS cancer patients: Targeted review and future action plans in Europe. Crit. Rev. Oncol./Hematol. 180, 103859. 10.1016/j.critrevonc.2022.103859 (2022).
Joly, F. et al. Impact of cancer and its treatments on cognitive function: Advances in research from the Paris International Cognition and Cancer Task Force Symposium and update since 2012. J. Pain Symptom Manag. 50(6), 830–841 (2015).
Lange, M. et al. Cancer-related cognitive impairment: an update on state of the art, detection, and management strategies in cancer survivors. Ann. Oncol. déc. 30 (12), 1925 (2019).
Koppelmans, V. et al. Neuropsychological performance in survivors of breast cancer more than 20 years after adjuvant chemotherapy. J. Clin. Oncol. 1 Avr. 30 (10), 1080–1086 (2012).
Culbertson, M. G., Bennett, K., Kelly, C. M., Sharp, L. & Cahir, C. The psychosocial determinants of quality of life in breast cancer survivors: a scoping review. BMC Cancer déc. 20 (1), 948 (2020).
West, T. et al. Impact of psychosocial, behavioral and lifestyle factors on subjective cognitive complaints and perceived quality of life in a large cohort of Italian breast cancer patients. Front. Psychol. 9 Nov. 13, 1015573 (2022).
Ahles, T. A. & Root, J. C. Cognitive effects of cancer and cancer treatments. Annu. Rev. Clin. Psychol. 7 Mai. 14, 425–451 (2018).
De Ligt, K. M. et al. Patient-reported health problems and healthcare use after treatment for early-stage breast cancer. Breast Août. 46, 4–11 (2019).
Underwood, E. A. et al. Cognitive effects of adjuvant endocrine therapy in older women treated for early-stage breast cancer: a 1-year longitudinal study. Support Care Cancer Août. 27 (8), 3035–3043 (2019).
Kjoe, P. R. L. M. et al. Effects of Tamoxifen and exemestane on cognitive function in postmenopausal patients with breast cancer. JNCI Cancer Spectr.. 7 (2), pkad022 (2023).
Lange, M. et al. Baseline cognitive functions among elderly patients with localised breast cancer. Eur. J. Cancer. 50 (13), 2181–2189 (2014).
Duivon, M. et al. Sleep-dependent memory consolidation in breast cancer: use of a virtual reality prospective memory task. Front. Neurosci. 7 Sept. 16, 908268 (2022).
Perrier, J. et al. Sleep macro- and microstructure in breast cancer survivors. Sci. Rep. 15 févr. 12 (1), 2557 (2022).
Mandelblatt, J. S. et al. Cognitive impairment in older patients with breast cancer before systemic therapy: is there an interaction between cancer and comorbidity? J. Clin. Oncol. 20 Juin. 32 (18), 1909–1918 (2014).
Bower, J. E. et al. Fatigue in breast cancer survivors: Occurrence, correlates, and impact on quality of life. J. Clin. Oncol. 18(4), 743–743 (2000).
Ruiz-Casado, A., Álvarez-Bustos, A., de Pedro, C. G., Méndez-Otero, M. & Romero-Elías, M. Cancer-related fatigue in breast cancer survivors: A review. Clin. Breast Cancer févr. 21 (1), 10–25 (2021).
Lange, M. et al. Cancer-related cognitive impairment: an update on state of the art, detection, and management strategies in cancer survivors. Ann. Oncol. déc. 30 (12), 1925–1940 (2019).
Gonzalez, B. D. & Lu, Q. Sleep disturbance among Chinese breast cancer survivors living in the USA. Support Care Cancer Off. J. Multinatl. Assoc. Support Care Cancer 26(6), 1695–1698 (2018).
Lowery-Allison, A. E. et al. Sleep problems in breast cancer survivors 1–10 years posttreatment. Palliat. Support Care Juin. 16 (3), 325–334 (2018).
Otte, J. L. et al. Sleep disorders in breast cancer survivors. Support Care Cancer oct. 24 (10), 4197–4205 (2016).
Memon, J. & Manganaro, S. N. Obstructive Sleep-Disordered Breathing. In StatPearls [Internet] (StatPearls Publishing, 2024 ). http://www.ncbi.nlm.nih.gov/books/NBK441909/
Brennan, L. C., Kirkham, F. J. & Gavlak, J. C. Sleep-disordered breathing and comorbidities: role of the upper airway and craniofacial skeleton. Nat. Sci. Sleep. 9 Nov. 12, 907–936 (2020).
Berry, R. B. et al. AASM scoring manual updates for 2017 (version 2.4). J. Clin. Sleep Med. JCSM Off. Publ. Am. Acad. Sleep Med. 13(5), 665–666 (2017).
Madut, A. et al. Increased prevalence of obstructive sleep apnea in women diagnosed with endometrial or breast cancer. PLOS ONE 16 (4), e0249099 (2021).
Caporale, M. et al. Cognitive impairment in obstructive sleep apnea syndrome: a descriptive review. Sleep. Breath. Mars. 25 (1), 29–40 (2021).
Dimitrova, M. & Genov, K. Global cognitive performance and assessment of memory functions in obstructive sleep apnea. Folia Med. (Plovdiv) 62(3), 539–545 (2020).
Daurat, A., Sarhane, M. & Tiberge, M. Syndrome d’apnées obstructives du sommeil et cognition: Une revue. Neurophysiol. Clin. Neurophysiol. Juin. 46 (3), 201–215 (2016).
Seda, G. & Han, T. S. Effect of obstructive sleep apnea on neurocognitive performance. Sleep. Med. Clin. Mars. 15 (1), 77–85 (2020).
Patel, A. & Chong, D. J. Obstructive sleep apnea. Clin. Geriatr. Med. août. 37 (3), 457–467 (2021).
Dzierzewski, J. M., Dautovich, N. & Ravyts, S. Sleep and cognition in older adults. Sleep. Med. Clin. Mars. 13 (1), 93–106 (2018).
Yaffe, K. et al. Sleep disordered breathing, hypoxia, and risk of mild cognitive impairment and dementia in older women. JAMA J. Am. Med. Assoc 306(6), 613–619 (2011).
Quan, S. F. et al. The association between obstructive sleep apnea and neurocognitive performance—The apnea positive pressure long-term efficacy study (APPLES). Sleep. 34 (3), 303–314B (2011).
Wang, X., Cui, L. & Ji, X. Cognitive impairment caused by hypoxia: from clinical evidences to molecular mechanisms. Metab. Brain Dis. 37 (1), 51–66 (2022).
Seymour, R. S., Bosiocic, V. & Snelling, E. P. Fossil skulls reveal that blood flow rate to the brain increased faster than brain volume during human evolution. R Soc. Open. Sci. 31 août. 3 (8), 160305 (2016).
Lawley, J. S., Macdonald, J. H., Oliver, S. J. & Mullins, P. G. Unexpected reductions in regional cerebral perfusion during prolonged hypoxia. J. Physiol. 595 (3), 935–947 (2017).
Engleman, H. & Douglas, N. Sleep · 4: Sleepiness, cognitive function, and quality of life in obstructive sleep apnoea/hypopnoea syndrome. Thorax Juill. 59 (7), 618–622 (2004).
Marchi, N. A. et al. Obstructive sleep apnoea and 5-year cognitive decline in the elderly. Eur. Respir. J. 61 (4), 2201621. https://doi.org/10.1183/13993003.01621-2022 (2023).
Wagner, L. I. et al. Patient-Reported cognitive impairment among women with early breast cancer randomly assigned to endocrine therapy alone versus chemoendocrine therapy: results from TAILORx. J. Clin. Oncology: Official J. Am. Soc. Clin. Oncol. 38 (17), 1875–1886. https://doi.org/10.1200/JCO.19.01866 (2020).
Boscher, C. et al. Perceived cognitive impairment in breast cancer survivors and its relationships with psychological factors. Cancers 12 (10), 3000. https://doi.org/10.3390/cancers12103000 (2020).
Janelsins, M. C. et al. Cognitive complaints in survivors of breast cancer after chemotherapy compared with age-matched controls: an analysis from a Nationwide, Multicenter, Prospective Longitudinal Study. J. Clin. Oncol. 35 (5), 506–514 (2017).
Rodríguez Martín, B., Fernández Rodríguez, E. J., Rihuete Galve, M. I. & Cruz Hernández, J. J. Study of chemotherapy-Induced cognitive impairment in women with breast cancer. Int. J. Environ. Res. Public. Health. 17 (23), 8896 (2020).
Belcher, E. K. et al. Inflammation, attention, and processing speed in patients with breast cancer before and after chemotherapy. JNCI J. Natl. Cancer Inst. 114 (5), 712–721 (2022).
Crouch, A., Champion, V. & Von Ah, D. Cognitive dysfunction in older breast cancer survivors: an integrative review. Cancer Nurs. 45 (1), E162–E178 (2022).
Buchanan, N. D. et al. Post-treatment neurocognition and psychosocial care among breast cancer survivors. Am. J. Prev. Med. déc. 49 (0), S498–508 (2015).
Berndt, U. et al. Memory and Spatial cognition in breast cancer patients undergoing adjuvant endocrine therapy. Breast Care. 11 (4), 240–246 (2016).
Haggstrom, L. R. et al. Effects of endocrine therapy on cognitive function in patients with breast cancer: A comprehensive review. Cancers. 14 (4), 920 (2022).
Tawfik, G. M. et al. Association between radiotherapy and obstructive sleep apnea in head and neck cancer patients: A systematic review and meta-analysis. Auris Nasus Larynx. 48 (6), 1126–1134 (2021).
Lubián López, D. M. Management of genitourinary syndrome of menopause in breast cancer survivors: an update. World J. Clin. Oncol.. 13 (2), 71–100 (2022).
Jehan, S. et al. Obstructive sleep apnea: women’s perspective. J. Sleep. Med. Disord. 3 (6), 1064 (2016).
Márquez-Garbán, D. C., Chen, H. W., Goodglick, L., Fishbein, M. C. & Pietras, R. J. Targeting aromatase and estrogen signaling in human non-small cell lung cancer. Ann. N Y Acad. Sci. 1155, 194–205 (2009).
Landis, C. A. & Moe, K. E. Sleep and menopause. Nurs. Clin. North. Am. 39 (1), 97–115 (2004).
Kwak, A., Jacobs, J., Haggett, D., Jimenez, R. & Peppercorn, J. Evaluation and management of insomnia in women with breast cancer. Breast Cancer Res. Treat. Juin. 181 (2), 269–277 (2020).
Costa, A. R. et al. Impact of breast cancer treatments on sleep disturbances – A systematic review. Breast. 23 (6), 697–709 (2014).
Desai, K. et al. Prevalence and risk factors for insomnia among breast cancer patients on aromatase inhibitors. Support Care Cancer Off J. Multinatl Assoc. Support Care Cancer Janv. 21 (1), 43–51 (2013).
Fiorentino, L. & Ancoli-Israel, S. Insomnia and its treatment in women with breast cancer. Sleep. Med. Rev.. 10 (6), 419–429 (2006).
Duivon, M. et al. Impact of breast cancer on prospective memory functioning assessed by virtual reality and influence of sleep quality and hormonal therapy: PROSOM-K study. BMC Cancer déc. 18 (1), 866 (2018).
Nasreddine, Z. S. et al. The Montreal Cognitive Assessment, MoCA: A brief screening tool for mild cognitive impairment: MOCA: A brief screening tool for MCI. J. Am. Geriatr. Soc. Avr. 53 (4), 695–699 (2005).
Beck, A. T. An inventory for measuring depression. Arch. Gen. Psychiatry. 4 (6), 561 (1961).
Spielberger, C., Goruch, R., Lushene, R., Vagg, P. & Jacobs, G. Manual for the State-Trait Inventory STAI (Form Y) (Mind Gard, 1983).
Morin, C. M., Belleville, G., Bélanger, L. & Ivers, H. The insomnia severity index: psychometric indicators to detect insomnia cases and evaluate treatment response. Sleep 34 (5), 601–608 (2011).
Buysse, D. J., Reynolds, C. F., Monk, T. H., Berman, S. R. & Kupfer, D. J. The Pittsburgh sleep quality index: A new instrument for psychiatric practice and research. Psychiatry Res. Mai. 28 (2), 193–213 (1989).
Joly, F. et al. French version of the functional assessment of cancer therapy–Cognitive function (FACT-Cog) version 3. Support Care Cancer 20 (12), 3297–3305 (2012).
Van der Linden, M. et al. L’épreuve de rappel libre / rappel indicé à 16 items (RL/RI-16). In L’évaluation Des Troubles De La mémoire: présentation de quatre tests de mémoire épisodique avec leur étalonnage. (Solal, 2004).
Wechsler, D. The Wechsler Memory Scale. 3 Ed. (Psychological Corp., 1997).
Quinette, P. et al. Évaluation du buffer épisodique: Deux épreuves testant les capacités d’association et de stockage d’informations verbales et spatiales. Rev. Neuropsychol. 5 (1), 56–62 (2013).
Allain, P. et al. Executive functioning in normal aging: a study of action planning using the zoo map test. Brain Cogn. févr. 57 (1), 4–7 (2005).
Reitan, R. M. Validity of the trail making test as an indicator of organic brain damage. Percept. Mot Skills. 8 (3), 271–276 (1958).
Stroop, J. R. Studies of interference in serial verbal reactions. J. Exp. Psychol. 18 (6), 643 (1935).
Iber, C. The AASM manual for the scoring of sleep and associated events: rules, terminology, and technical specification. (2007).
Baril, A. A. et al. Gray matter hypertrophy and thickening with obstructive sleep apnea in middle-aged and older adults. Am. J. Respir. Crit. Care Med. 195(11), 1509–18. (2017).
André, C. et al. Association of sleep-disordered breathing with Alzheimer disease biomarkers in community-dwelling older adults: A secondary analysis of a randomized clinical trial. JAMA Neurol.. 77 (6), 716–724 (2020).
Berry, R. B. et al. The AASM Manual for the Scoring of Sleep and Associated Events: Rules, Terminology and Technical Specifications (American Academy of Sleep Medicine, 2020).
Acknowledgements
Authors would like to thank the clinical research department and the medical oncology department of the Centre François Baclesse for their help in patient recruitment, the Interdisciplinary Center for Virtual Reality (CIREVE) in Caen (Normandy, France) for their technical support, and all the participants for their active contribution to these results. The Northwest Data Center (CTD-CNO) is acknowledged for managing the data.
Funding
This work was supported by the ARC foundation—for cancer research (2017-2020), the French sleep society (SFRMS), the Région Normandie (Réseaux d’Intérêts Normands, RIN), the Cancéropôle Nord-Ouest, and the Ligue Contre le Cancer - Normandie. Clara Elia was funded by a PhD grant from the University of Caen Normandy, and from the Ligue Nationale Contre le Cancer.
Author information
Authors and Affiliations
Contributions
Conceptualization: Bénédicte Giffard, Francis Eustache, Florence Joly, Joy Perrier; Writing – original draft preparation: Clara Elia; Writing – review and editing: Clara Elia, Bénédicte Giffard, Joy Perrier; Investigation: Mylène Duivon, Stéphane Rehel, François Gernier, Marie Fernette, Carine Segura-Djezzar, Julien Geffrelot, George Emile, Djelila Allouache, Fausto Viader, Christelle Lévy; Methodological support: Franck Doidy, Patrice Clochon; Data analyses: Clara Elia, Joy Perrier, Stéphane Rehel, François Christy; Project administration: Jean-Michel Grellard; Funding acquisition: Bénédicte Giffard, Joy Perrier, Francis Eustache; Supervision: Bénédicte Giffard, Joy Perrier; All authors have critically revised the final version of the manuscript and have approved its current version.
Corresponding author
Ethics declarations
Competing interests
The authors declare no competing interests.
Ethics approval
The study was performed in accordance with the ethical standards as laid down in the 1964 Declaration of Helsinki and its later amendments or comparable ethical standards. The studies involving human participants were reviewed and approved by CPP Ile de France III (n◦ ID-RCB: 2017- A02778-45). The patients/participants provided their written informed consent to participate in this study.
Consent to participate
Written informed consent was obtained from all individual participants included in the study.
Additional information
Publisher’s note
Springer Nature remains neutral with regard to jurisdictional claims in published maps and institutional affiliations.
Supplementary Information
Below is the link to the electronic supplementary material.
Rights and permissions
Open Access This article is licensed under a Creative Commons Attribution-NonCommercial-NoDerivatives 4.0 International License, which permits any non-commercial use, sharing, distribution and reproduction in any medium or format, as long as you give appropriate credit to the original author(s) and the source, provide a link to the Creative Commons licence, and indicate if you modified the licensed material. You do not have permission under this licence to share adapted material derived from this article or parts of it. The images or other third party material in this article are included in the article’s Creative Commons licence, unless indicated otherwise in a credit line to the material. If material is not included in the article’s Creative Commons licence and your intended use is not permitted by statutory regulation or exceeds the permitted use, you will need to obtain permission directly from the copyright holder. To view a copy of this licence, visit http://creativecommons.org/licenses/by-nc-nd/4.0/.
About this article
Cite this article
Elia, C., Perrier, J., Duivon, M. et al. Links between nocturnal hypoxia and cognitive function in breast cancer. Sci Rep 15, 42405 (2025). https://doi.org/10.1038/s41598-025-26591-z
Received:
Accepted:
Published:
Version of record:
DOI: https://doi.org/10.1038/s41598-025-26591-z



