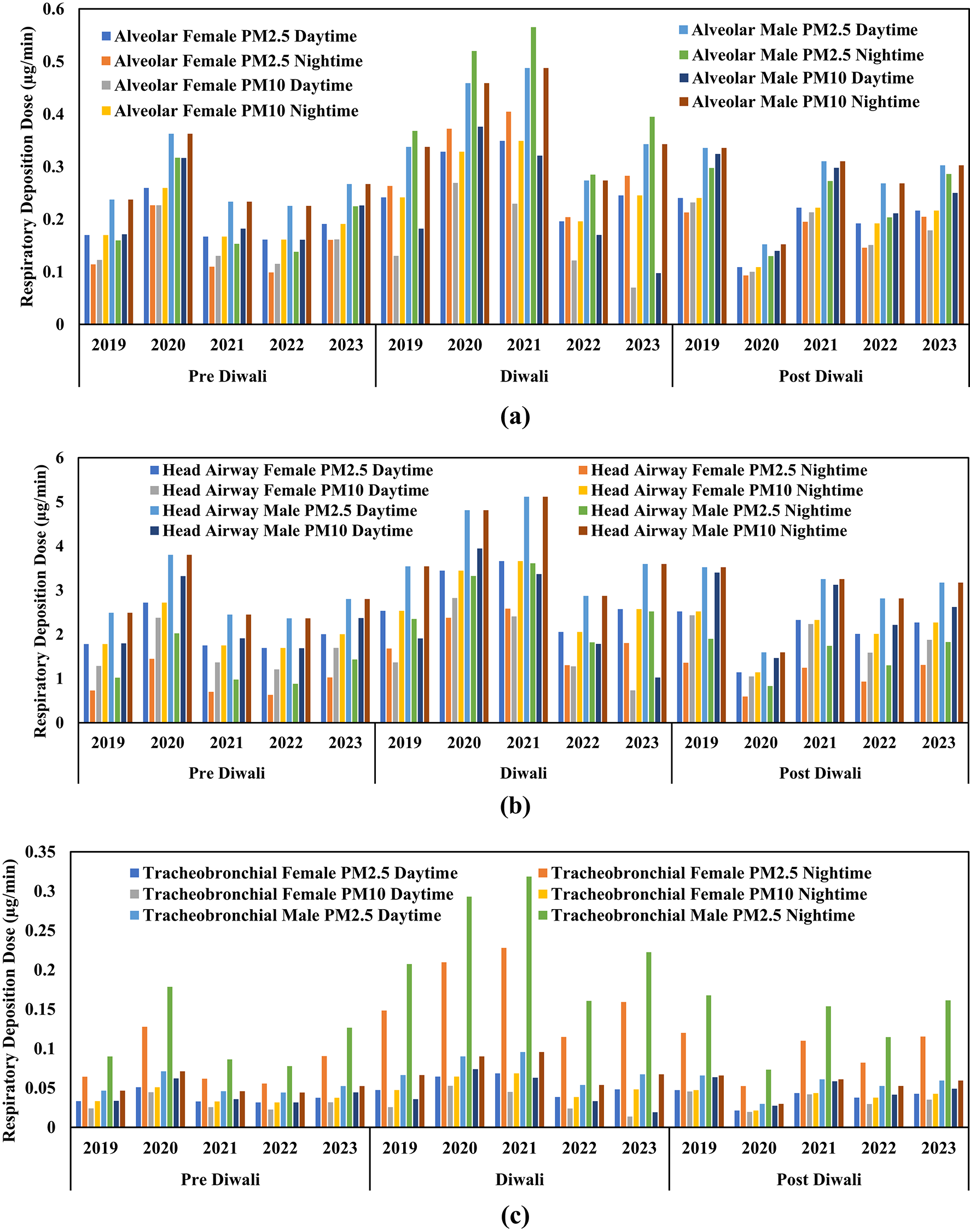
Fig. 8

Respiratory Deposition in (a) Alveolar (b) Head Airway, and (c) Tracheobronchial Region in sitting position around Diwali festival (Pre, Post, During) for the five years (2019–2023) due to particulate matters.

Respiratory Deposition in (a) Alveolar (b) Head Airway, and (c) Tracheobronchial Region in sitting position around Diwali festival (Pre, Post, During) for the five years (2019–2023) due to particulate matters.