Abstract
The pronounced multi-scale heterogeneity and complex wettability heterogeneity of shale oil reservoirs are key factors governing the distribution and flow behavior of fluids within the pore network. This study focuses on the Qingshankou Formation, Member 1 of the Songliao Basin. Utilizing multifractal theory, it systematically reveals the structural characteristic differences of pores across various scales and with differing wettability, defining geological controlling factors and their significance. Nanoscale fractures are relatively well-developed in both high-organic laminated mixed shale (HCS) and high-organic laminated felsic shale (HQS), with the latter exhibiting superior fracture connectivity and relatively larger average pore diameters for each pore type. Multifractal characteristic parameters indicate that HQS possesses the optimal pore connectivity, while HCS exhibits the poorest connectivity. The content of macropores and felsic minerals jointly controls the pore connectivity characteristics. HQS demonstrates relatively strong oleophilicity, with its oil-wet pores displaying a simple structure and strong connectivity. In contrast, HCS and medium-organic laminated mixed shale (MCS) exhibit relatively strong hydrophilicity, where oil-wet pores feature a complex structure and poor connectivity. High-organic massive felsic mudstone (HQM) and high-organic massive mixed mudstone (HCM) display mixed wettability characteristics. Integrating pore connectivity, wettability, and laminae development characteristics, this study proposes a quality grading method for shale oil reservoirs and provides exploitation recommendations: Type I reservoirs (HQS/MQS (medium-organic laminated felsic shale)) offer superior geological conditions and optimal fracability; Type II reservoirs (HCS/MCS) exhibit the highest geological sweet spot potential but demonstrate poorer fracability; Type III reservoirs (HQM/HCM) lies between the two reservoir types mentioned above. The research findings provide crucial guidance for enhancing the geological understanding of shale oil reservoirs and accelerating their efficient exploration and development.
Similar content being viewed by others
Introduction
The shale revolution has expanded the domain of oil and gas resources, making shale oil and gas a crucial component of global production growth1. Leveraging the success of its shale revolution, the United States broke its 75-year dependence on imported oil and once again became a net exporter of petroleum. China possesses enormous shale oil potential and has achieved large-scale production in core areas like the Ordos Basin and Jiyang Depression2, though it has not yet reached the stage of fully realizing economically viable development. The fundamental reason lies in the fact that the storage capacity and flow properties of shale reservoirs fundamentally govern their development potential and economic value, while these characteristics are predominantly constrained by their internal complex pore structure.
Shale pores are universally characterized by diverse origins, a wide size range, strong structural heterogeneity, and significant variations in wettability. Current international classifications of shale pore types are relatively systematic and are predominantly based on the relationship between pore location and the rock matrix3,4, categorizing them into organic-matter pores and inorganic-matter pores (interparticle pores, intraparticle pores). Some scholars further divide shale storage space into matrix pores and fractures. Matrix pores include organic-matter pores, intercrystalline pores, interparticle pores, and dissolution pores, while fractures include organic-matter fractures, intercrystalline fractures, and interparticle fractures5. Although significant progress has been made in shale pore classification, the quantitative characterization and evaluation of different pore types remain a core issue requiring urgent research. Current characterization strategies often treat individual pore types in isolation6, hindering the comparison of key structural parameter differences among various pore types across different samples.
Shale exhibits a distinct characteristic of continuous pore size distribution spanning micro- to nano-scales. Achieving full-range pore size characterization is currently a major research focus. Numerous laboratory methods exist for analyzing shale micro-nano pores, primarily categorized into: image analysis (e.g., optical microscopy, field-emission scanning electron microscopy (FE-SEM)), fluid injection methods (e.g., high-pressure mercury injection capillary pressure (MICP), low-temperature N₂ adsorption (L2-LAPI)), and non-fluid injection methods (e.g., low-field nuclear magnetic resonance (NMR), small-angle neutron scattering (SANS)). However, each technique has a limited measurable pore size range, making multi-technique joint characterization an established trend. Examples include: MICP + L2-LAPI + broad ion beam scanning electron microscopy (BIB-SEM) + NMR7; FE-SEM + gas adsorption (N₂ and CO₂) + CT scanning (Nano-CT and Micro-CT)8; and FE-SEM + gas adsorption (N₂ and CO₂) + Nano-CT + MICP9. Among these, the simplest and most commonly used approach is MICP + L2-LAPI10. Normalizing the junction point between the two methods’ measurements enables characterization of the full pore size spectrum above 2 nm. Furthermore, quantitative characterization of pores with varying wettability warrants attention, as their distribution patterns directly govern multiphase fluid occurrence states, flow pathways, and recovery efficiency within complex pore networks11. For instance, under identical pore structures, oleophilic pore throats reduce oil charging resistance, promoting preferential oil accumulation—yet simultaneously increasing adsorbed oil content, thereby compromising recovery. Compared to traditional wettability tests (e.g., contact angle measurements, oil/water displacement experiments, NMR)12, spontaneous imbibition has emerged as a practical and effective approach for determining shale wettability characteristics, and is widely used to compare connectivity differences among pores of distinct wettabilities13. Nevertheless, the spatial distribution patterns of differently wetted pores remain poorly constrained, fundamentally restricting accurate characterization of fluid occurrence states and controllable reservoir development.
Reservoir heterogeneity encompasses both pore structural heterogeneity (multiscale characteristics) and wettability heterogeneity (spatial distribution patterns). Fractal geometry serves as an effective tool for characterizing pore heterogeneity in unconventional reservoirs, requiring model selection based on scale and detection methodology. For pores < 2 nm in diameter, fractal dimensions were calculated using the Dubinin-Astakhov modified model based on CO₂ adsorption isotherms14. For pores between 2 and 50 nm in diameter, nitrogen adsorption data were analyzed through Frenkel-Halsey-Hill (FHH) fractal theory to derive fractal dimensions. For pores > 50 nm in diameter, high-pressure mercury injection curves were utilized with the Menger sponge model to quantify heterogeneity15,16. However, fractal geometry only describes irregularity within finite intervals through averaged pore structure characterization, failing to capture local-scale attributes or accurately reflect multiscale heterogeneity under varying physical properties and pore-throat ratios17. Particularly in shales, random pore size distributions across lithofacies exhibit scale-dependent self-similarity, necessitating multiple fractal dimensions to characterize statistical scaling behavior. Multifractal parameters—derived from box-counting principles—including singularity spectra (f(α)-α), generalized dimension spectra (Dq-q), multifractal dimensions (Dq), and Hurst exponents (H), enable quantitative characterization of pore structure heterogeneity and connectivity18,19,20,21. Some researchers have applied multifractal theory to low-temperature nitrogen adsorption data from the Shahejie Formation shales in the Dongying Sag, exploring relationships between shale pore multifractality, fractal parameters, pore structural characteristics, and mineral compositions22. Separately, other scholars obtained the pore size distribution (PSD) of organic and inorganic shale pores separately by using a new NMR-based method and conducted a multifractal analysis of the structure of organic and inorganic shale pores based on PSD23. Current research inadequately explores the integrated characterization strengths of multifractal theory for quantifying multiscale pore heterogeneity—particularly wettability-dependent variations—across diverse shale lithofacies. Moreover, conventional reservoir quality grading schemes predominantly rely on singular geological parameters (e.g., porosity/permeability) or static lithofacies divisions24, failing to comprehensively address the coupling effects between pore-structural heterogeneity and wettability. This gap underscores the demanding urgency for establishing next-generation quality grading models that incorporate geological-dynamic development attributes.
Based on this, this study focuses on Member 1 of the Qingshankou Formation (referred to as Qing-1 Member) from the typical well in the Songliao Basin. Despite the enormous shale oil resources in this region (up to 151 × 108t)25,26, its efficient development is often constrained by the high clay content (averaging 35.6%), complex pore structure, and strong heterogeneity27,28. Concurrently, previous studies29, comprehensively considering organic matter abundance, mineral composition, and rock fabric characteristics, identified six typical lithofacies developed in Member 1 of the Qingshankou Formation within the study area: high-organic laminated mixed shale (HCS), high-organic laminated felsic shale (HQS), high-organic massive felsic mudstone (HQM), high-organic massive mixed mudstone (HCM), medium-organic laminated felsic shale (MQS), and medium-organic laminated mixed shale (MCS). However, the differences in the structural characteristics of full-range pores and pores with varying wettability among different lithofacies, along with their geological controlling factors, remain to be revealed. There is an urgent need to establish a reservoir quality grading scheme suitable for the study area that comprehensively considers pore structure heterogeneity and wettability. The findings of this research will provide critical insights for accelerating the efficient exploration and development of continental shale oil.
Location and stratigraphic development characteristics of the study area
The Songliao Basin is located within the territories of Heilongjiang, Jilin, and Liaoning provinces30,31 (Fig. 1a). It is a late mesozoic rift basin developed on the hercynian folded basement, with its long axis trending in a north-northeast direction. Covering an area of approximately 26 × 10⁴ km², it is one of the world’s 25 super basins32,33. The basin comprises six first-order tectonic units (central depression, western slope, northeast uplift, southeast uplift, northern dip and southwest uplift) and eleven second-order tectonic units (Changling sag, Longhupao terrace, Daan terrace, Fuxinhua well terrace, Gulong sag, Qijia sag, Daqing Planticline, Heiyupao sag, Mingshui terrace, Sanzhao sag, Chaoyanggou terrace)34,35 (Fig. 1b).
The basement of the Songliao Basin consists of Paleozoic and pre-Paleozoic metamorphic and igneous rock series. Upward is the Lower Cretaceous (Huoshiling formation, Shahezi formation, Yingcheng formation, Denglouku formation, Quantou formation), Upper Cretaceous (Qingshankou formation, Yaojia formation, Nenjiang formation, Sifangtai formation and Mingshui formation) and Paleogene and Neogene strata (Fig. 1c). Exploration practices have revealed that the dark shale in the Qing-1 Member of the Qijia-Gulong Sag, Sanzhao Sag, and Changling Sag exhibits high organic matter abundance (average TOC of 2.15%), favorable organic matter type (exclusively Type I and Type II1 kerogen, predominantly oil-prone organic matter), and relatively high maturity, making it the most favorable interval for shale oil development. Wells such as SYY-1, SYY-2, SYY-3 and JYY1 have all yielded high industrial oil and gas flows, marking a significant historic breakthrough in pure shale-type shale oil and strongly propelling the revolution of continental shale oil in China36,37.
Samples and methodology
Experimental samples and testing methods
Samples were collected from 27 samples of the Qing-1 Member in the typical wells (SYY-1, SYY-2, SYY-3, SYYD-1 and JYY1). These samples were subjected to four types of tests: material composition characteristics, pore characteristics, wettability, and oil content. The details are as follows:
(1) Material Composition Characteristics Testing.
TOC content was analyzed using a LECO CS744 series carbon/sulfur analyzer (USA) to quantify rock organic carbon content, reflecting organic matter abundance characteristics. The whole Rock mineral composition was characterized using a Bruker D8 ADVANCE X-ray diffractometer (Germany) to determine rock mineralogical features. Rock thin sections were imaged with a Zeiss Axio Imager Z1 polarizing microscope (Germany) to reveal the structural characteristics of the rocks.
(2) Pore structure Testing.
Samples were cut perpendicular to the bedding plane using wire cutting into small blocks measuring 2 cm × 1 cm × 2 cm (length × width × height). Samples first undergo mechanical polishing—progressively grinding with diamond/alumina suspensions from coarse to fine grades (typically achieving 1 μm-level flatness) to eliminate macroscopic scratches and thin the sample to approximately 100 μm. Subsequently, argon ion polishing is performed, utilizing a low-energy argon ion beam (standard parameters: 1–6 kV at 15°−30° incidence angle) to atomically refine the pre-polished surface, removing mechanically damaged layers and exposing the sample’s authentic microstructure. The FEI QUANTA FEG 450 field emission scanning electron microscope (USA) and the EDAX AMETEK energy dispersive spectrometer (USA) were used to obtain backscattered electron images and surface energy spectrum photos, respectively. Pore data from SEM images were acquired using a shale SEM pore recognition system, with the specific procedure as follows: ① Import SEM images into ImageJ software, click [Image→Type→8-bit] to convert to 8-bit grayscale; ② Adjust the grayscale threshold slider to sequentially determine thresholds for fractures, organic matter, and light-colored minerals; ③ Import the grayscale image into the shale SEM pore recognition system, input the thresholds identified in Step 2, then initiate calculation. The system performs image segmentation at 5-grayscale intervals from 0, generating multiple pore maps from which the optimal threshold pore map is selected; ④ To reduce statistical errors, compare the selected pore map with the original image. Click [Image Modification → Select Erroneous Region → Modify/Delete → Save] to export the final corrected pore map; ⑤ Re-import the final pore map into the recognition system, click [Pore Identification → Input Resolution Value → Calculate] to obtain quantitative data (count, area, etc.) for organic pores, organic fractures, inorganic pores, and inorganic fractures, along with a total pore-fracture distribution map; ⑥For further classification into seven pore types (organic pores, intragranular pores, intergranular pores, intercrystalline pores, intercrystalline fractures, intergranular fractures, and organic fractures), import elemental EDS maps to generate mineral distribution maps. Subsequently import the total pore-fracture map from Step 5, input resolution value, and calculate to obtain parameters (pore size, area, count) for all seven pore types.
The Autopore IV 9520 high-pressure mercury porosimeter (USA) was employed to characterize pore-throat features in the range of 3 to 800 μm (MICP). The ASAP 2020 fully automated specific surface area analyzer (USA) was used to analyze pore characteristics in the range of 0.35 to 500 nm (L2-LAPI).
Pores with different wettability (oil-wet and water-wet) were tested using the NMRC method with different probe liquids (cyclohexane and water). The instrument used was the NMRC12-010 V spectrometer, with the CPMG pulse sequence. The procedure involved freezing the sample to a temperature well below the melting point of the probe liquid, then gradually heating it above the melting point. During the heating process, the intensity of the ¹H nuclear magnetic resonance signal of the probe liquid was recorded at various temperature points\((-30^\circ{\rm C}, -20^\circ{\rm C},-15^\circ{\rm C},-12^\circ{\rm C},-10^\circ{\rm C},-8.6^\circ{\rm C},-7.5^\circ{\rm C}, -6^\circ{\rm C}, -5^\circ{\rm C},-4^\circ{\rm C}, -3^\circ{\rm C}, -2^\circ{\rm C}, 1.7^\circ{\rm C},\) \(-1.5^\circ{\rm C}, -1.2^\circ{\rm C}, -1^\circ{\rm C}, -0.9^\circ{\rm C}, -0.8^\circ{\rm C}, -0.7^\circ{\rm C}, -0.6^\circ{\rm C},\) \(-0.5^\circ{\rm C}, -0.4^\circ{\rm C}, -0.3^\circ{\rm C}, -0.2^\circ{\rm C}, -0.1^\circ{\rm C}).\)
(3) Wettability Testing.
The wettability of the powder was determined by flotation method. Shale particles (with a particle size of less than 400 mesh) were placed in a drying oven at 70 °C until their mass stabilized. The particles were then cooled in a desiccator. Approximately 2.0 g of the dried particles were weighed. A beaker was filled with 100 mL of distilled water and 100 mL of n-decane. The weighed sample was poured into the beaker containing the oil-water mixture and stirred evenly for 2 min to ensure full contact between the powder and the mixed solution. The mixture was then left to stand until the particles stabilized and no longer floated. The oil-wet particles were removed, and the mass of the remaining particles was measured. The hydrophilic mass fraction was calculated as the ratio of the mass of hydrophilic particles to the total mass of the powder. The sum of the hydrophilic and hydrophobic mass fractions is 100%.
The surface wettability is measured by contact angle method. The HARKE-SPCA contact angle measuring instrument was used for this test. Distilled water was used as the test liquid.
(4) Oil Content Testing.
The Rock-Eval 6 plus analyzer was used to quantitatively characterize shale oil in different occurrence states under varying heating conditions. S1 − 1 (light oil components, C5-C12) was obtained at 200℃ for 1 min, then the sample was heated from 200℃ to 350℃ for 1 min at a rate of 25℃/min to obtain S1 − 2 (light-medium oil components, C12-C22), the sum of the former two represents the maximum movable oil content of surface free hydrocarbons. Sample was then heated from 350℃/min to 450℃/min to obtain S2 − 1 (heavy components, C22-C40, and non-hydrocarbon asphaltene fractions), representing the amount of adsorbed oil. Finally, S2 − 2 (representing the hydrocarbon regeneration potential of Kerogen) is obtained after heating from 450℃ at a rate of 25 ℃/min to 600℃ for 1 minute38.
The NMR instrument with the experimental frequency of 23 MHz was used to quantitatively measure the different hydrocarbon fluids in the sample. For shale oil reservoirs samples, the T1-T2 spectrum is generally divided into four parts, namely, solid organic matter(T1 > 10ms and T2 < 0.2ms), crude oil(T2 > 0.2ms and T1 > 10ms) hydroxyl-rich compounds (T2 < 0.2ms and T1 < 10ms) and water (T1 < 10ms and 1ms > T2 > 0.2ms)39,40.
Calculation models and methods
(1) NMRC pore size distribution calculation.
The Gibbs-Thomson thermodynamic equation describes the relationship between the phase transition temperature of a substance within a porous medium and the pore size. The equation is expressed as follows Eqs. 1–1:
Where: ∆Tm represents the change in the melting point of the substance, K; \(\:{T}_{m}^{\infty\:}\) represents the melting point of an infinitely large crystal, K; D represents the diameter of the sample, nm; Tm (D) represents the melting point of a crystal with diameter D, K; w represents the solid-liquid interfacial surface energy, N/m;S represents the melting enthalpy per mole of the macroscopic substance, J/mol༛ρ represents the density of the solid, g/cm3.
During the experiment, all variables except the pore diameter remain constant. Therefore, the equation can be simplified to Eqs. 1–2:
Where: KGT represents the melting point depression constant (Gibbs-Thomson constant), nm·K; the KGT of water is 58.2 nm·K; the KGT of cyclohexane is 109 nm·K.
(2) Multifractal theory calculation model.
Multifractal theory uses continuous functions to characterize multifractal features. The pressure interval or relaxation time interval of MICP, L2-LAPI and NMRC experiments is taken as the total interval. This interval is divided into subintervals of length (ε) using the bisection method41,42,43. The mass probability function (pi (ε)) is described by Eqs. 1–3:
Where: Vi(ε) represents the pore volume within the i-th box, cm3/g; Vt represents the total pore volume, cm3/g;αi represents the singularity index, which characterizes the local scaling behavior of the pore volume distribution within the i-th box.
The number of boxes is exponentially positively correlated with the box length (ε), as described by Eqs. 1–4:
Where: Nα(ε)is the number of boxes; f (α) is multifractal singular spectrum.
χ(q,ε)) is the partition function, as described by Eqs. 1–5:
Where: q is the order of the statistical moment, ranging from [−10, 10].
The quality index (τ(q)) is calculated from the slope of the logarithmic curve of the partition function and length Eqs. 1–6:
The mass exponent (τ(q)) is calculated through the slope of the double logarithmic curve of the partition function versus length, as described by Eqs. 1–6:
The generalized fractal dimension (Dq) is obtained by using Lopida rule Eqs. 1–7:
When q = 0, 1 and 2, the corresponding D0, D1 and D2, respectively represent the capacity dimension, the information entropy dimension and the correlation dimension. The relationship between the Hurst exponent (H) and the correlation dimension D2 is as follows Eqs. 1–8:
Results
Lithofacies description
Based on the TOC and mineral composition test results of Qing 1 Member samples in the study area (Table 1), combined with previous lithofacies classification criteria29, the characteristics of different lithofacies can be described as follows:
The HCS lithofacies exhibits the following characteristics: TOC content exceeds 2%, averaging 3.58%; felsic minerals, clay minerals, and carbonate minerals each constitute less than 50% of the composition, averaging 42.81%, 32.78%, and 22.66% respectively; optical microscopy reveals well-developed felsic laminae, clay-rich laminae, and carbonate laminae.
The HQS lithofacies demonstrates the following attributes: TOC content exceeds 2%, averaging 2.49%; felsic minerals predominantly exceed 50% composition (averaging 54.78%), while clay minerals and carbonate minerals are generally below 50%, averaging 36.84% and 3.14% respectively; optical microscopy shows the most prominent felsic laminae and clay-rich laminae.
The HQM lithofacies is characterized by: TOC content consistently exceeding 2%, with an average of 3.69%; felsic minerals predominantly exceeding 50% (averaging 53.6%), while clay minerals and carbonate minerals generally remain below 50%, averaging 36.1% and 6.02% respectively; poorly developed laminae with predominantly massive fabric.
The HCM lithofacies demonstrates the following attributes: TOC content exceeds 2%, averaging 3.42%; felsic minerals, clay minerals, and carbonate minerals each constitute less than 50% of the composition, averaging 44.86%, 36.68% and 9.38%, respectively; laminations are not well developed, and the structure is predominantly massive.
The TOC content of MQS lithofacies ranges between 1% and 2%, with an average of 1.85%; the content of felsic minerals is generally greater than 50%, averaging 52.97%, while the contents of clay minerals and carbonate minerals are generally less than 50%, averaging 35.76% and 6.2% respectively; under the optical microscope, the most developed features are the felsic laminae and clay-rich laminae.
The MCS lithofacies exhibits the following characteristics: TOC content ranges between 1% and 2%, averaging 1.49%; felsic minerals, clay minerals, and carbonate minerals each constitute less than 50%, averaging 44.15%, 41%, and 8.25% respectively; optical microscopy reveals the most prominent felsic laminae and clay-rich laminae.
Pores with different genetic origins
Classification of pore genetic types
According to the origin, the pores in the Qing-1 member of the study area can be divided into four major categories (organic pores, organic fractures, inorganic pores, and inorganic fractures) and seven subcategories (organic pores, intragranular pores, intergranular pores, intercrystalline pores, intercrystalline fractures, intergranular fractures, and organic fractures)(Fig. 2).
Organic pores are located within organic matter, these pores often exhibit a network or honeycomb structure. They are commonly observed as residual pores within hydrocarbon-generating organic matter masses or as networked pores formed by organic-clay composites. Intragranular pores are primarily formed by the dissolution of internal parts of grains, such as quartz, feldspar, calcite cement, and shell fragments. Intergranular pores include primary intergranular pores between felsic grains, as well as diagenetically modified residual intergranular pores and intergranular dissolution pores. Intercrystalline pores are micropores formed between clay mineral crystals. Inorganic fractures include intercrystalline fractures and intergranular fractures. The former are mainly microfractures formed between clay mineral sheets, while the latter can develop under tensile stress, shear stress, or organic matter shrinkage. Organic fractures are typically laminar algal shrinkage fractures (Figs. 2 and 3).
Distribution characteristics of pores with different genetic origins in various lithofacies
In the Qing-1 member, the pore distribution varies significantly across different lithofacies. The overall pore system is dominated by inorganic pores, while organic pores show a positive correlation with TOC content—higher TOC content leads to more developed organic pores. Below is a detailed analysis of pore distribution in each lithofacies:
HCS and HQS Lithofacies: nanoscale fractures are well-developed, primarily consisting of intergranular fractures with subordinate organic fractures. The average pore size of these fractures is relatively large. The key differences between the two lies in that HCS are dominated by bedding-parallel fractures (aligned with sedimentary layering), while HQS develop high-angle fractures with better connectivity, enhancing fluid flow (Fig. 3).
HQM and HCM Lithofacies: pores are more dominant than fractures, with intergranular pores, intercrystalline pores, and organic pores being the main types. The average pore size is relatively small due to the limited development of nanoscale fractures (Fig. 3).
MQS and MCS Lithofacies: pores are the dominant pore type, mainly comprising intergranular pores, intragranular pores, and intercrystalline pores. The average pore size is relatively small, similar to HQM and HCM lithofacies (Fig. 3).
Pore size distribution and wettability characteristics across different lithofacies
The pore size distribution curves from MICP and L2-LAPI indicate that the pore sizes of samples in the study area generally exhibit a bimodal distribution pattern (Fig. 4a-n). Previous studies have demonstrated that the combination of L2-LAPI and MICP techniques enables full-scale pore size characterization in shale, with the most common splicing point at a pore size of 100nm44. The research findings reveal distinct pore size distribution patterns across different lithofacies: HQS Lithofacies are dominated by macropores (> 100 nm), followed by mesopores (10–100 nm), with micropores (< 10 nm) being the least developed; other lithofacies (HCS, HQM, HCM, MQS, MCS) are primarily composed of mesopores (10–100 nm), with macropores (> 100 nm) as the secondary type and micropores (< 10 nm) being the least abundant. Among these, HCS exhibits a relatively higher proportion of macropores (Fig. 4g). Continuing to subdivide the macropores into 100–1000 nm, 1000–10,000 nm, and > 10,000 nm, it was found that the majority of macropores are contributed by bedding-parallel fractures with pore sizes > 10,000 nm. These fractures in HQS and HCS lithofacies show the highest contributions to pore volume (Fig. 4n).
In general, all lithofacies exhibit a consistent wettability trend: macropores are oil-wet, while mesopores and micropores are water-wet (Fig. 4o-z2). However, the degree of wettability varies depending on the lithofacies type and organic matter content. For shale (HCS, HQS, MQS, MCS), the macropores are strongly oil-wet, with the oil-wetting tendency increasing with higher organic matter content (Fig. 4u); the mesopores and micropores are predominantly water-wet, with the water-wetting tendency becoming more pronounced as organic matter content decreases (Fig. 4z2). For mudstone (HQM\HCM), there are exhibit mixed-wettability across all pore sizes (Fig. 4u, 4z2).
Comparing the results of L2-LAPI + MICP, NMRC-OIL and NMRC-WATER, the following observations can be made. L2-LAPI + MICP measure the full pore size of the samples. HQS are dominated by macropores, which exhibit oil-wet characteristics. The pore size distribution obtained from NMRC-OIL aligns well with the L2-LAPI + MICP results, indicating that this lithofacies is strongly oil-wet. Other shale lithofacies (HCS, MQS, MCS) are primarily composed of mesopores, which are water-wet. The pore size distribution obtained from NMRC-WATER is consistent with the L2-LAPI + MICP results, suggesting that these lithofacies are strongly water-wet. For mudstone lithofacies (HQM, HCM), macropores exhibit mixed-wettability (both oil-wet and water-wet behaviors); mesopores have poor connectivity, making complete saturation difficult during vacuum saturation processes; this leads to smaller measured pore sizes in the test results, implying that the pore structure of these lithofacies is relatively complex.
To validate the wettability differences among various lithofacies, a comprehensive analysis was conducted using surface wettability and powder wettability measurements. The experimental results reveal the following characteristics: HQS exhibits relatively strong oil-wetting properties, showing the highest oil-wetting mass fraction and the largest water contact angle; HCS, MQS, and MCS display relatively strong water-wetting properties, Characterized by a low oil-wetting mass fraction and small water contact angles; HQM and HCM demonstrate mixed-wettability behavior, with moderate oil-wetting mass fractions and intermediate water contact angles (Fig. 5).
Differences in oil-bearing property of different lithofacies
From the statistical results of NMR oil content, it is known that there is a positive correlation between organic matter content and oil content. HCS, HCM exhibit the highest oil content, followed by HQM, HQS, while MQS, MCS show relatively lower values. (S1 − 1+S1 − 2)/TOC serves as an indicator of oil mobility. Mixed lithofacies (HCS, HCM, MCS) generally demonstrate higher mobility compared to felsic lithofacies (HQS, HQM, MQS). Overall, HCS and HCM are identified as the most favorable lithofacies for oil accumulation, characterized by high oil content and strong mobility. In contrast, HQS, HQM, and MQS exhibit moderate oil content but significantly poorer mobility (Fig. 6).
Discussion
Generalized fractal characteristics of full-scale pores and differential wettability pores
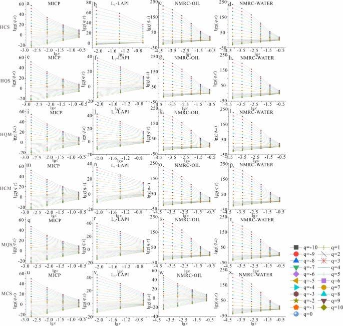
In this study, the range of the statistical moment order q was set to a continuous interval from − 10 to 10, with an increment of 1. The results show that the partition function (logχ(q, ε)) exhibits a strong linear correlation with scale (ε) (Fig. 7), satisfying scale invariance. This indicates the presence of multifractal characteristics. When the statistical moment order q is positive, the partition function shows a positive correlation with scale; conversely, a negative correlation is observed when q is negative. Previous studies have demonstrated that when the partition function vs. scale curves are densely distributed, it suggests that pores are concentrated within smaller-scale pore size ranges, and the heterogeneity of pore size distribution is reduced42. Compared with the macropores characterized by MICP, the logarithmic curves of mesopore and small pores characterized by L2-LAPI are relatively sparse, indicating that stronger heterogeneity in pore size distribution at the meso- and micro-scale. In contrast to water-wet pores, the double logarithm curve of oil-wet pores is relatively dense, suggesting that oil-wet pores are primarily concentrated within a specific pore size range, with weaker heterogeneity in pore size distribution.
In the multifractal spectrum, if the Τq-q relationship deviates from linearity, the signal is confirmed to possess multifractal characteristics. The mass exponent (τ (q)), as a characteristic function of fractal behavior, exhibits a two-segment relationship with the statistical moment order q, divided at q = 0. Both segments show a positive correlation (Fig. 8). Within the pore size range characterized by MICP, all lithofacies display a sparse region on the left (q < 0) and a dense region on the right (q > 0). This indicates that the heterogeneity of pore size distribution is more pronounced for relatively smaller pores within this scale range. Among them, HCS lithofacies shows the most significant variation in the left sparse region, suggesting strong heterogeneity in the macropore range (Fig. 8a-f). Compared to the pore scales characterized by MICP, the L2-LAPI reveal an even greater degree of sparsity, particularly for HCS, where both the left and right regions exhibit sparse variations. This indicates the strongest heterogeneity in meso- and micropores (Fig. 8g-l). For pores with different wettability, all lithofacies exhibit dense regions on both the left and right sides, indicating relatively uniform pore size distribution for pores with the same wettability (Fig. 8m-x).
The generalized fractal dimension (Dq) exhibits an inverse-S-shaped trend as q increases, with the curves intersecting at q = 0. Across the full range of pore sizes, D0 = 1, while for pores with different wettability, D0 = 1.2 (Fig. 9). This indicates that each pore sub-interval contains pore volume data, demonstrating multifractal characteristics. The HCS lithofacies shows the most pronounced variation in the sparse region, suggesting the strongest pore heterogeneity, which is consistent with the patterns observed in the Fig. 8.
The function f(α) represents the fractal dimension of the subset with the same singularity exponent α; while α denotes the concentration intensity or density of the local measurements. A smaller α value indicates more violent fluctuations in the pore-size distribution, whereas a larger α value suggests a more uniform pore-size distribution. The multifractal singularity spectrum characteristics across different lithofacies reveal that the singularity spectrum f(α) initially increases and then decreases as the singularity index α increases (Fig. 10). The parameter Δf (where Δf = f(αmax)-f(αmin)) is consistently less than zero, indicating that sparse regions dominate in both multi-scale pores and pores with different wettability. The parameter Rd (defined as Rd = (α0-α10+)-(α−10-α0)) quantitatively describes the symmetry of the singularity spectrum. Its negative values further confirm that the measured values are dependent on sparse regions.
Main controlling factors of pore multifractal characteristics
Influence of petrological characteristics on the multifractal characteristics of pores
Among the multifractal parameters, H, ∆D and α0 are used for the quantitative characterization of pore structure heterogeneity and pore connectivity. A higher H value indicates stronger correlations between pore clusters across different pore size ranges, suggesting greater uniformity and better pore connectivity. Conversely, a larger ∆D value reflects stronger heterogeneity in pore structures and poorer pore connectivity. The parameter α₀ indicates the degree of concentration in pore volume distribution: a smaller α₀ value suggests weaker variability in pore space, smaller local fluctuations in pore volume distribution, more concentrated pore size distribution, and simpler pore structures.
From a lithofacies perspective, HQS consistently shows the largest H values, smallest ∆D values, and smallest α0 values across all pore scales, suggesting that this lithofacies has a simpler pore structure, weaker heterogeneity, and the strongest pore connectivity (Fig. 11). In contrast, HCS exhibits smaller H values, largest ∆D values, and largest α0 values across all pore scales, indicating a more heterogeneous pore network and the weakest pore connectivity. The pore connectivity of other lithofacies falls between these two extremes.
At all pore scales, the content of brittle minerals (quartz + feldspar) significantly influences pore structure characteristics. Specifically, brittle mineral content shows a strong negative correlation with α0 values and a strong positive correlation with H values, indicating that the development of brittle minerals helps reduce pore heterogeneity and enhance pore connectivity (Fig. 12a, b). Brittle minerals in shale exist primarily in two forms: detrital particles and microcrystalline grains. Detrital particles can form intergranular pores with other minerals or develop intragranular dissolution pores through dissolution processes, contributing to a significant increase in porosity, particularly in larger-scale pores. In contrast, microcrystalline grains primarily act as cementing agents, reducing porosity, especially in smaller-scale pores. SEM observations reveal that intergranular pores are well-developed across different lithofacies. Additionally, higher quartz and feldspar content increases shale brittleness, making it more prone to forming micro-fractures under similar geological conditions. These micro-fractures further connect pores of different scales, enhancing pore connectivity.
Influence of pore size distribution on the multifractal characteristics of pores
Compared to mesopores and micropores, macropores exhibit larger H values, smaller ∆D values, and smaller α0 values, indicating a more uniform pore size distribution and better pore connectivity at this scale (Fig. 11).
Macropore content exhibits a positive correlation with H values and a negative correlation with α0 values, while mesopore content shows the opposite trend. This indicates that higher macropore content leads to better pore connectivity. Furthermore, micro-fractures account for a significant proportion of the pore size distribution (Fig. 4n), suggesting that their presence significantly enhances pore connectivity (Fig. 12c-d). Among the lithofacies, HQS exhibits the most developed micro-fractures (related to its higher brittleness), effectively connecting pores of different scales and resulting in the smallest fractal dimension, which aligns with the conclusions above.
Influence of wettability on the multifractal characteristics of pores
Water-wet pores generally exhibit larger H values compared to oil-wet pores, indicating stronger connectivity in water-wet pores (Fig. 13a). The main controlling factors of pore structures with different wettability characteristics vary, as detailed below: the macropore content governs the pore structure characteristics of oil-wet pores. Specifically, higher macropore content corresponds to greater H-values in oil-wet pores and better pore connectivity, indicating that the development of macropores enhances the oil-wettability of the reservoir (Fig. 13b). The mesopore content controls the pore structure characteristics of water-wet pores, showing a positive correlation between mesopore content and the H-values of water-wet pores. This suggests that the development of mesopores increases the water-wettability of the reservoir (Fig. 13c). Felsic mineral content exhibits a positive correlation with the H-values of oil-wet pores but a negative correlation with those of water-wet pores. This demonstrates that higher brittle mineral content promotes the development of macropores and improves connectivity in oil-wet pores (Fig. 13d). Furthermore, as established in preceding analyses, felsic mineral content demonstrates a significant positive correlation with pore connectivity (Fig. 12a, b), while pore connectivity exhibits negative correlations with both oil content and oil saturation (Fig. 14). This inverse relationship indicates that enhanced pore connectivity facilitates the preferential migration of light hydrocarbon components, resulting in the residual accumulation of heavy components such as colloidal substances and asphaltenes. These residual compounds disrupt the aqueous film on mineral surfaces through competitive adsorption, displacing water molecules and subsequently altering the wettability characteristics of reservoir surfaces45.
For oil-wet pores: HQS/MQS exhibit relatively higher H-values (average 0.927), indicating simple oil-wet pore structures with superior connectivity; HCS/MCS demonstrate lower H-values (average 0.901), reflecting complex oil-wet pore structures with inferior connectivity; HQM/HCM show moderate H-values (average 0.915), representing transitional structural characteristics. For water-wet pores: MCS/MQS display relatively higher H-values (average 0.962), suggesting simplified water-wet pore architectures with enhanced flow pathways; HQS and HQM possess lower H-values (average 0.954), corresponding to intricate water-wet pore networks with restricted connectivity; HCM and HCS maintain intermediate H-values (average 0.961), indicative of balanced pore-throat configurations.
Shale oil reservoir quality grading and engineering recommendations
The current common shale oil reservoir quality grading methods primarily focus on rock texture, petrological characteristics, and organic matter content, emphasizing differences in material composition and macroscopic structures between rocks. However, these quality grading results still require further analysis before they can be effectively applied to geological sweet spot evaluation. This study reveals that macropore content, felsic mineral content, and rock texture can reflect wettability characteristics and pore structure connectivity. Specifically, compared to shale, mudstone exhibits underdeveloped micro-fractures, relatively smaller average pore size, moderate pore connectivity, and mixed wettability characteristics. Higher macropore content correlates with improved pore connectivity and enhanced oil affinity in reservoirs. Increased felsic mineral content strengthens rock brittleness, enhances pore connectivity, and intensifies oil-wetting properties. Based on these findings, the shale oil reservoirs in the study area have been redefined as follows:
Type I reservoirs (HQS/MQS): the content of felsic minerals is greater than 50%, with well-developed layers and an average macropore content of 48.24%, mainly oil-wet. Due to their high felsic mineral content and strong brittleness, HQS/MQS exhibit large H values, small ∆D values and small α0 values, indicating strong pore connectivity. These lithofacies develop vertically oriented high-angle fractures with excellent interconnectivity, which facilitates the formation of complex fracture networks during hydraulic fracturing, making them the most favorable for engineering sweet spots. However, if sealing conditions are poor, light hydrocarbons may escape significantly, leading to reduced oil content and mobility. Thus, HQS/MQS with good oil-bearing potential should be prioritized as the primary targets for development (Fig. 15).
Type II reservoirs (HCS/MCS): The content of felsic minerals is less than 50%, while the content of clay minerals is relatively high (average 34.55%), with well-developed layers and an average macropore content of 35.26%, mainly water-wet. These exhibit good oil content and mobility, primarily because high organic matter content and clay-organic composites enhance hydrocarbon generation under suitable maturity conditions. Additionally, interlayer water in clay minerals promotes hydrogenation, increasing light hydrocarbon yields. However, their pore structures are complex, with strong heterogeneity and poor connectivity. Under self-sealing conditions, hydrocarbons are preserved in situ, making them the most favorable geological sweet spots. Microscopic observations reveal that HCS/MCS predominantly develop horizontal micro-fractures, which tend to propagate along mechanically weak planes during fracturing, hindering the formation of effective fracture networks. Furthermore, their high clay content reduces brittleness, making them the least favorable for engineering sweet spots. To achieve high production in these lithofacies, advanced fracturing technologies are required (Fig. 15). At the same time, considering its strong hydrophilicity, methods such as spontaneous imbibition can be used to increase its production capacity.
Type Ⅲ reservoirs (HQM/HCM): The layers are not well-developed, with an average mesopore content of 57.185%, mainly characterized by mixed wettability. HQM/HCM show intermediate pore connectivity, oil content, and mobility compared to the other two types. In contrast to shales, mudstones have underdeveloped micro-fractures and smaller pore throats, increasing the displacement pressure required for oil migration from the matrix to artificial fractures. Molecular dynamics simulations indicate that when the pore-throat diameter is 30 nm, the oil-phase threshold pressure gradient is 0.194 MPa/mm; at 130 nm, it decreases to 0.078 MPa/mm. From the perspectives of geological sweet spot and engineering sweet spot, this type of reservoir lies between the two reservoir types mentioned above (Fig. 15).
Conclusions
-
(1)
In the study area, the pores in the Qing-1 member can be classified into our major categories (organic pores, organic fractures, inorganic pores, and inorganic fractures) and seven subcategories (organic pores, intragranular pores, intergranular pores, intercrystalline pores, intercrystalline fractures, intergranular fractures, and organic fractures). Nanoscale fractures in HCS and HQS are relatively well-developed, with the latter having a higher degree of fracture connectivity, and the average pore size of each pore type is relatively larger. The remaining lithofacies are predominantly characterized by more developed pores, with relatively smaller average pore sizes. Full-scale pore size characterization also confirms that bedding fractures in HQS and HCS lithofacies show the highest contributions to pore volume.
-
(2)
HQS has the largest H values, the smallest ∆D values, and the smallest α0 values across all pore scales, indicating that this lithofacies has a simple pore structure, weak heterogeneity, and the strongest pore connectivity. In contrast, HCS has smaller H values, the largest ∆D values, the largest α0 values, across all pore scales, suggesting a more developed heterogeneous pore network and the weakest pore connectivity. The pore structure connectivity of the remaining lithofacies falls between these two extremes.
-
(3)
The content of macropores and felsic minerals jointly control the connectivity characteristics of pores with different wettability. HQS exhibits relatively strong oil-wetting characteristics, oil-wet pores have a simple structure and strong connectivity. HCS and MCS display relatively strong hydrophilic characteristics, oil-wet pores have a complex structure and poor connectivity. HQM and HCM show mixed wettability characteristics, the oil-wet pore structure is between the two.
-
(4)
Based on the characteristics of pore connectivity, wettability, and developmental characteristics of laminae, propose a method for dividing shale oil reservoirs and provide exploitation suggestions. Type Ⅰ reservoirs (HQS/MQS) are the better in geology and best in engineering, and it is recommended to choose this lithofacies with good oil content as the first choice for exploitation; type Ⅱ reservoirs (HCS/MCS) is the best in geology and poor in engineering. Given that this type of lithofacies has strong hydrophilicity, the spontaneous imbibition method can be adopted for efficient development. Type III reservoirs (HQM/HCM) lies between the two reservoir types mentioned above.
Data availability
The datasets used and/or analysed during the current study available from the corresponding author on reasonable request.
References
Hu, Z. Q. et al. Storage characteristic comparison of pores between lacustrine shales and their interbeds and differential evolutionary patterns. Petrol. Geol. Exp. 44, 1393–1404 (2023).
Jia, C. Z., Jiang, L. & Zhao, W. The shale revolution and basic geological theory problems of shale and tight oil and gas. Pet. Sci. Bull. 8, 695–706 (2023).
Loucks, R. G. et al. Spectrum of pore types and networks in mudrocks and a descriptive classification for matrix-related mudrock pores. AAPG Bull. 96, 1071–1098 (2012).
Zou, C. N. et al. The main characteristics of marine shale gas and the theory & technology of exploration and development in China. Nat. Gas Ind. 42, 1–13 (2022).
Hu, Z. Q. et al. Classification and characteristics of pores in marine shale gas reservoirs in the lower paleozoic Wufeng-Longmaxi formations, Sichuan basin. Oil Gas Geol. 46, 705–718 (2025).
Yang, X. Y. et al. Reservoir space characteristics and exploration of shale oil mobility of the jurassic Lianggaoshan formation shale in the Northeastern Sichuan basin. Pet. Sci. Bull. 9, 196–212 (2024).
Zhao, R. X. et al. Multi-scale pore structure characterization of lacustrine shale and its coupling relationship with material composition: an integrated study of multiple experiments. Mar. Pet. Geol. 140, 105648 (2022).
Gou, Q. Y. et al. Full-scale pores and micro-fractures characterization using FE-SEM, gas adsorption, nano-CT and micro-CT: A case study of the silurian longmaxi formation shale in the fuling area, Sichuan Basin, China. Fuel 253, 167–179 (2019).
Zhang, J. Z. et al. Full-scale nanopore system and fractal characteristics of clay-rich lacustrine shale combining FE-SEM, nano-CT, gas adsorption and mercury intrusion porosimetry. Appl. Clay Sci. 196, 105758 (2020).
Liu, Z. J. et al. Study on the pore evolution of Xinjiang oil shale under pyrolysis based on joint characterization of LNTA and MIP. Geomech. Geophys. Geo-energ Geo-resour. 9, 154 (2023).
Zhao, P. Q. et al. Intermediate-high frequency dielectric permittivity of oil-wet rock and the wettability characterization. Pet. Sci. 22, 1485–1496 (2025).
Zhao, P. Q. et al. Experimental measurements and response analysis of resistivity of reservoirs with complex wettability: A case study of Yan’an Formation, Ordos Basin, China. Geophysics 88, 195–206 (2023).
Zhang, K. et al. Quantitative characterization for pore connectivity, pore wettability, and shale oil mobility of terrestrial shale with different lithofacies—A case study of the jurassic Lianggaoshan formation in the Southeast Sichuan basin of the upper Yangtze region in Southern China. Front. Earth Sci. 10, 864189 (2022).
Dai, F. Y. et al. Suitability study on fractal model of organic shale pore. Coal Sci. Technol. 47, 168–175 (2019).
Lai, J. et al. A review on pore structure characterization in tight sandstones. Earth Sci. Rev. 177, 436–457 (2018).
Guo, R. L. et al. Fractal characteristics of pore-throat structure and permeability Estimation of tight sandstone reservoirs: a case study of Chang 7 of the upper triassic Yanchang formation in Longdong area Ordos basin China. J. Pet. Sci. Eng. 184, 1–13 (2020).
Zhang, M. et al. Multiple fractal characterization of medium-high rank coal integrating mercury intrusion porosimetry, N₂ and CO₂ adsorption experiments. J. China Coal Soc. 49, 2394–2404 (2024).
Wang, P. F. et al. Heterogeneity of intergranular intraparticle and organic pores in longmaxi shale in Sichuan basin South china: evidence from SEM digital images and fractal and multifractal geometries. Mar. Pet. Geol. 72, 122–138 (2016).
Liu, K. Q. et al. Multifractal analysis of gas adsorption isotherms for pore structure characterization of the Bakken shale. Fuel 219, 296–311 (2018).
Zhao, P. Q. et al. Heterogeneity of deep tight sandstone reservoirs using fractal and multifractal analysis based on well logs and its correlation with gas production. Fractal Fract. 9, 1–23 (2025).
Guan, M. et al. The heterogeneity of pore structure in lacustrine shales: insights from multifractal analysis using N₂ adsorption and mercury intrusion. Mar. Pet. Geol. 114, 104150 (2020).
Wang, M. et al. Multi-fractal characteristics of micro-pores of Shahejie formation shale in Dongying Sag. Pet. Geol. Recover Effic. 26, 72–79 (2019).
Yang, R. et al. Multifractal analysis of the structure of organic and inorganic shale pores using nuclear magnetic resonance (NMR) measurement. J. Mar. Sci. Eng. 11, 752 (2023).
Liu, X. T. et al. Genesis, morphological types and systematic classification of nano-mineral pores in transitional facies shale reservoirs: A case study of Shanxi formation shale in Xishan Guiiao mining area, Taiyuan. Unconv. Oil Gas. 10, 77–83 (2023).
Sun, L. et al. Shale oil enrichment evaluation and production law in Gulong Sag Songliao basin NE China. Pet. Explor. Dev. 50, 505–519 (2023).
He, W. et al. The geoscience frontier of Gulong shale oil: revealing the role of continental shale from oil generation to production. Energy 28, 79–92 (2023).
Cao, X. M. et al. Pore characteristics of lacustrine shale oil reservoir in the cretaceous Qingshankou formation of the Songliao basin NE China. Energy 13, 20–27 (2020).
Sun, L. et al. An analysis of major scientific problems and research paths of Gulong shale oil in Daqing oilfield NE China. Pet. Explor. Dev. 48, 453–463 (2021).
Liu, B. et al. Lithofacies and depositional setting of a highly prospective lacustrine shale oil succession from the upper cretaceous Qingshankou formation in the Gulong Sag Northern Songliao basin Northeast China. AAPG Bull. 103, 405–432 (2019).
Liu, B. et al. The Songliao super basin in Northeastern China. AAPG Bull. 107, 1257–1297 (2023).
Xiao, F. et al. Enrichment and movability of lacustrine tight shale oil for the first member of the upper cretaceous Qingshankou formation in the Sanzhao Sag Songliao basin NE china: insights from saturated hydrocarbon molecules. Fuel 368, 131615 (2024).
Zhang, H. et al. Whole petroleum system and hydrocarbon accumulation model in shallow and medium strata in Northern Songliao Basin, NE China. Petrol. Explor. Dev. 50, 683–694 (2023).
Liu, B. et al. Identification evolution and geological indications of solid bitumen in shales: A case study of the first member of cretaceous Qingshankou formation in Songliao basin NE China. Petrol. Explor. Dev. 50, 1345–1357 (2023).
Liu, B. et al. Petrological characteristics and shale oil enrichment of lacustrine fine-grained sedimentary system: A case study of organic-rich shale in first member of cretaceous Qingshankou formation in Gulong Sag Songliao basin NE China. Petrol. Explor. Dev. 45, 884–894 (2018).
Bai, L. H. et al. Liquid spontaneous imbibition and its time-resolved nuclear magnetic resonance within differently matured shale indications for shale pore structure and wettability. Energ. Fuels. 38, 22804–22819 (2024).
Huo, Z. P. et al. Geochemical characteristics and hydrocarbon expulsion of source rocks in the first member of the Qingshankou formation in the Qijia-Gulong Sag Songliao basin Northeast china: evaluation of shale oil resource potential. Energ. Sci. Eng. 8, 1450–1467 (2020).
Wang, L. et al. Differential mineral diagenetic evolution of lacustrine shale: implications for CO2 storage. Int. J. Coal Geol. 295, 104629 (2024).
Hu, T. et al. Movable oil content evaluation of lacustrine organic-rich shales: methods and a novel quantitative evaluation model. Earth-Sci. Rev. 214, 103545 (2021).
Chi, Y. A. et al. Determination of oil contents in ultralow temperature samples in high maturity shales using 2D NMR fluid evaluation technology. Mar. Pet. Geol. 174, 107304 (2025).
Sun, B. et al. Laminated shale oil system mobility and controlling factors of the paleogene Shahejie formation: evidences from T1-T2 NMR experiments multi-temperature pyrolysis and confocal laser scanning microscopy. Fuel 379, 133015 (2025).
Wang, Y. Z. et al. Characteristics and factors influencing pore structure in shale oil reservoirs of different lithologies in the jurassic Lianggaoshan formation of the Yingshan gas field in central Sichuan basin. Minerals 13, 958 (2023).
Liu, K. Q. et al. Quantifying pore structure heterogeneity of shale samples after solvent extraction following anhydrous and hydrous pyrolysis. Geo sci. Eng. 239, 212978 (2024).
Wang, D. X. et al. Difference between of coal and shale pore structural characters based on gas adsorption experiment and multifractal analysis. Fuel 371, 132044 (2024).
Wang, M. et al. Qualitative description and full-pore-size quantitative evaluation of pores in lacustrine shale reservoir of Shahejie formation Jiyang depression. Oil Gas Geol. 39, 1107–1119 (2018).
Li, Q. W. Wetability and its major determinants of shale reservoirs in the Shahejie formation Dongying Sag Bohai Bay basin. Oil Gas Geol. 45, 1142–1154 (2024).
Acknowledgements
This project funded by National Natural Science Foundation of China (Grant Nos. U2244207 and 42472196), Young Elite Scientists Sponsorship Program by CAST(NO.YESS 20240090).
Author information
Authors and Affiliations
Contributions
B.Wang: Writing - Original Draft, Funding acquisitionM. Yin: Validation, Formal analysis, Data curationD. Yuan: Formal analysis, Data curation.
Corresponding author
Ethics declarations
Competing interests
The authors declare no competing interests.
Additional information
Publisher’s note
Springer Nature remains neutral with regard to jurisdictional claims in published maps and institutional affiliations.
Rights and permissions
Open Access This article is licensed under a Creative Commons Attribution-NonCommercial-NoDerivatives 4.0 International License, which permits any non-commercial use, sharing, distribution and reproduction in any medium or format, as long as you give appropriate credit to the original author(s) and the source, provide a link to the Creative Commons licence, and indicate if you modified the licensed material. You do not have permission under this licence to share adapted material derived from this article or parts of it. The images or other third party material in this article are included in the article’s Creative Commons licence, unless indicated otherwise in a credit line to the material. If material is not included in the article’s Creative Commons licence and your intended use is not permitted by statutory regulation or exceeds the permitted use, you will need to obtain permission directly from the copyright holder. To view a copy of this licence, visit http://creativecommons.org/licenses/by-nc-nd/4.0/.
About this article
Cite this article
Wang, B., Yin, M. & Yuan, D. Quantitative characterization of pore development and its application in shale oil reservoirs of the Qingshankou formation, Songliao basin. Sci Rep 15, 42427 (2025). https://doi.org/10.1038/s41598-025-26686-7
Received:
Accepted:
Published:
Version of record:
DOI: https://doi.org/10.1038/s41598-025-26686-7

















