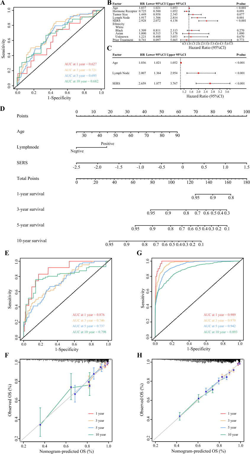
Fig. 2

Construction and validation of a clinical nomogram. (A) Time-dependent receiver operating characteristic (tROC) curves of the SERS in predicting the 1-, 3-, 5- and 10-year OS; (B) Univariate Cox regression analysis of SERS and clinical characteristics; (C) Multivariate Cox regression analysis of SERS and clinical characteristics; (D) Nomogram based on the SERS, age and lymph node status; (E) Time-dependent ROC curves of the nomogram in predicting the 1-, 3-, 5- and 10-years OS in the training cohort; (F) Calibration curves of the nomogram in predicting the 1-, 3-, 5- and 10-years OS in the training cohort; (G) Time-dependent ROC curves of the nomogram in predicting the 1-, 3-, 5- and 10-years OS in the validation cohort; (H) Calibration curves of the nomogram in predicting the 1-, 3-, 5- and 10-years OS in the validation cohort. AUC, area under curve; HR: hazard ratio; CI: confidence interval; SERS, super enhancer-related score; OS, overall survival.