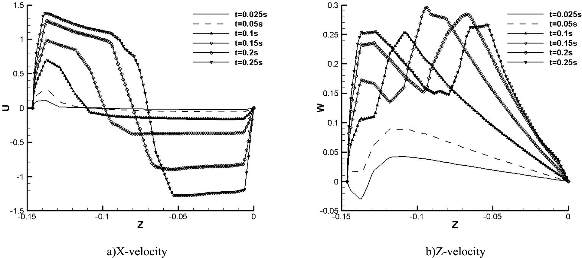
Fig. 12
From: A blended CFD/multi-body analysis method for elastohydrodynamics of plastic oil pan

Velocity profiles varying with time.
From: A blended CFD/multi-body analysis method for elastohydrodynamics of plastic oil pan

Velocity profiles varying with time.