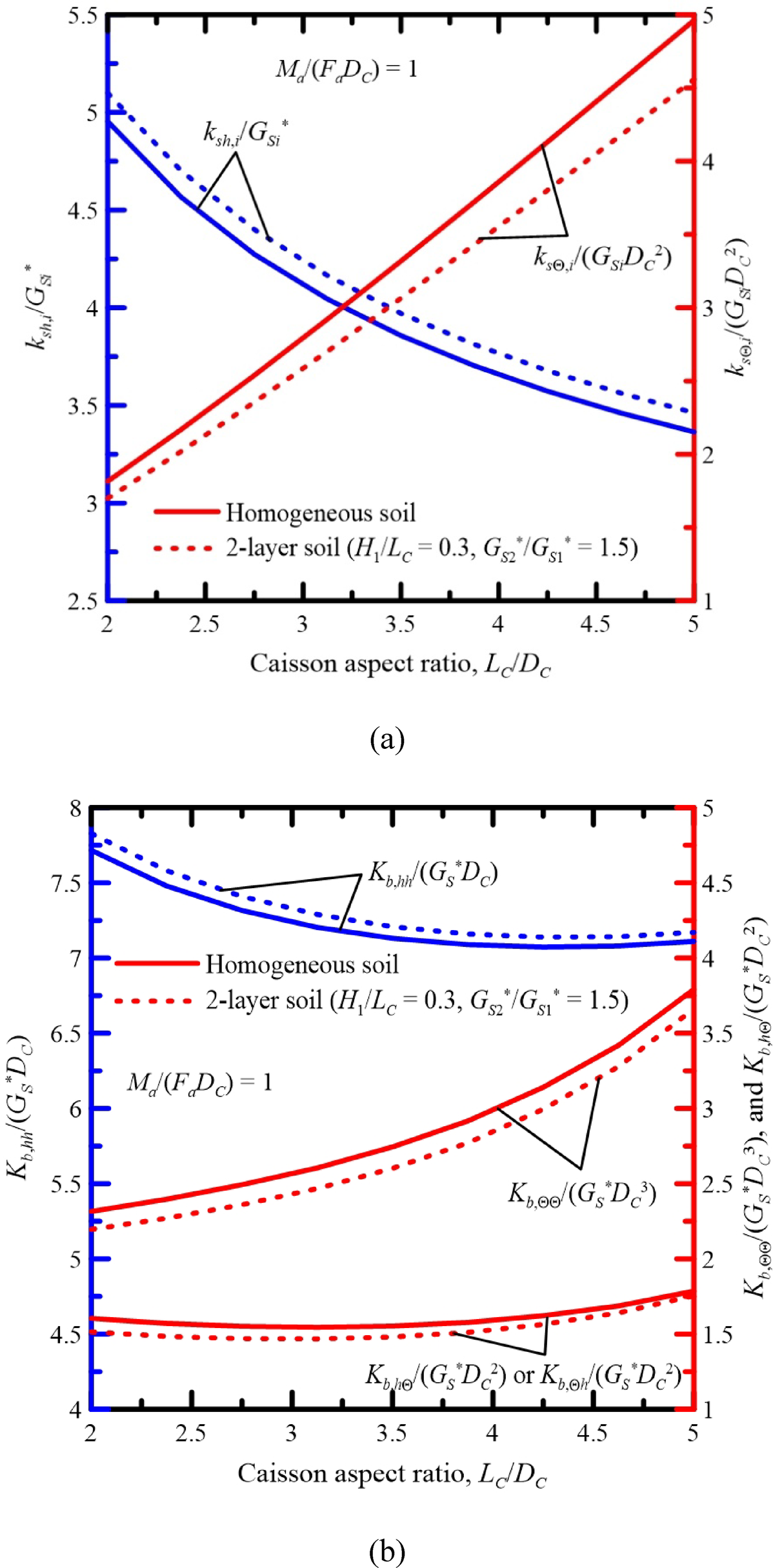
Fig. 13
From: Soil spring stiffnesses for laterally loaded large diameter rigid caissons


(a) Dimensionless translational and rotational side spring stiffnesses, (b) dimensionless translational, coupled, and rotational base spring stiffnesses, and (c) dimensionless equivalent lateral, rotational, and coupled caisson-soil spring stiffnesses in homogeneous and two-layer soils as functions of caisson aspect ratio.