Fig. 1

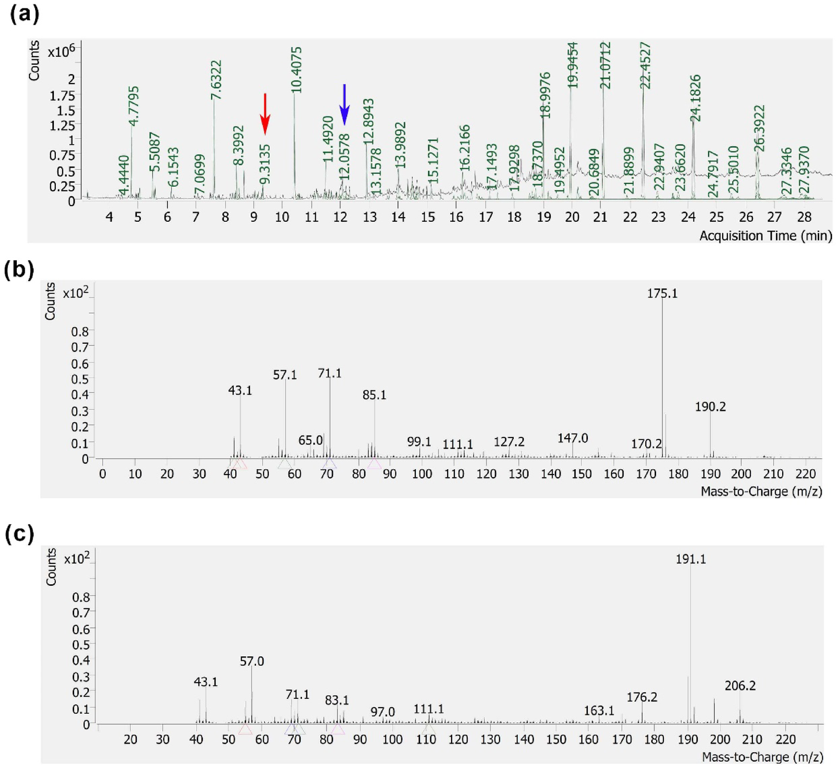
(a) Total ion chromatograms of S. mukorossi seed hydrosol tested in this study. Mass spectra corresponding to peaks at retention times (b) 9.313 min (red arrow) and (c) 12.057 min (blue arrow).

(a) Total ion chromatograms of S. mukorossi seed hydrosol tested in this study. Mass spectra corresponding to peaks at retention times (b) 9.313 min (red arrow) and (c) 12.057 min (blue arrow).