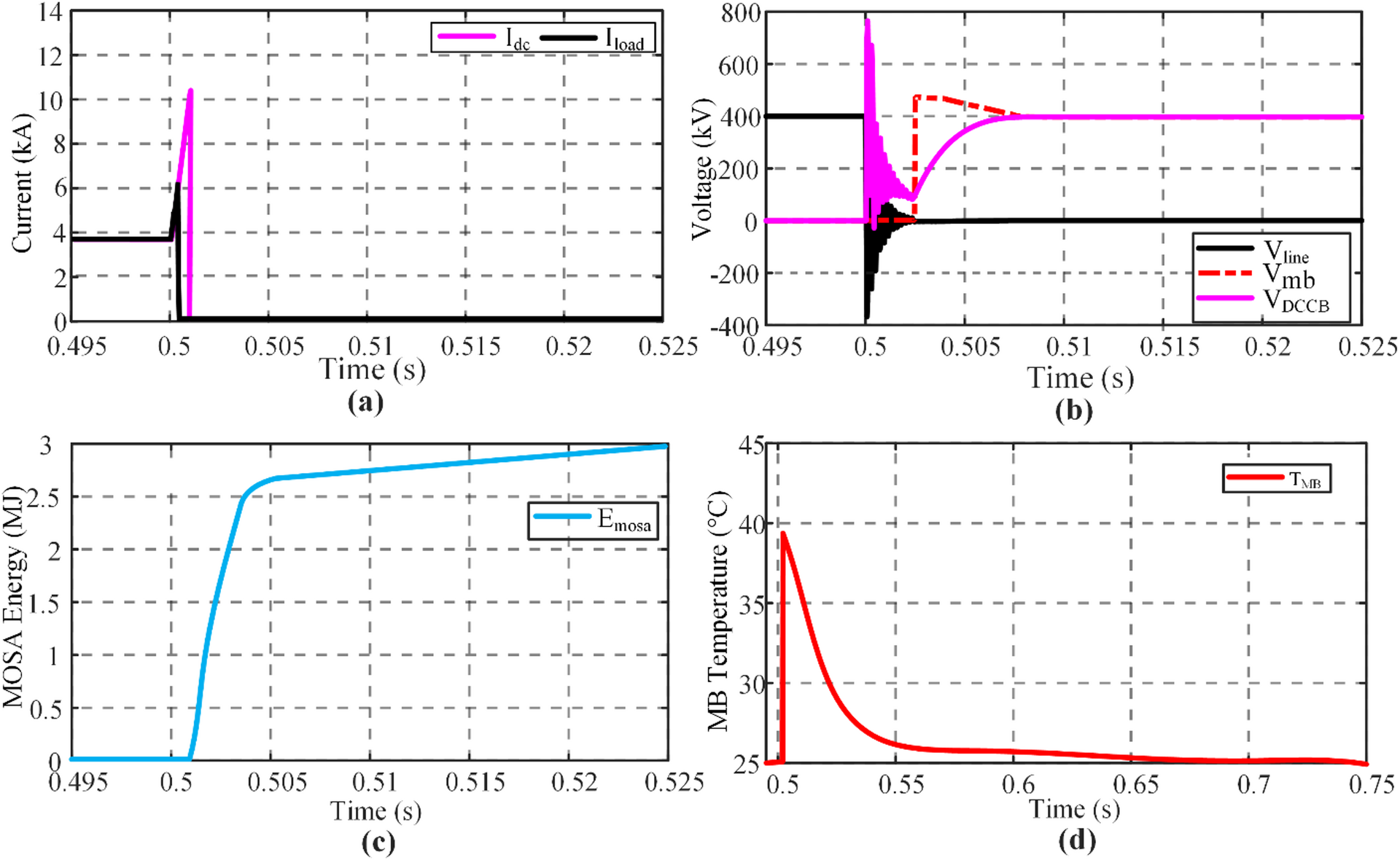
Fig. 14

Simulation results for scenario IV using H-DCCB along with TRA-FCL: (a) Current, (b) voltage, (c) MOSA energy dissipation, (d) MB valve temperature.

Simulation results for scenario IV using H-DCCB along with TRA-FCL: (a) Current, (b) voltage, (c) MOSA energy dissipation, (d) MB valve temperature.