Abstract
Hybrid HVDC circuit breakers (H-DCCB) are an ideal choice for fault current interruption in voltage source converter (VSC) based multi-terminal HVDC (MT-HVDC) grids. However, in case of a DC side short circuit fault in VSC based MT-HVDC girds, the fault current escalates rapidly. This imposes significant electrical and thermal stresses on H-DCCB components, leading to decrease in its operational life span and even component damage. To address this challenge, this paper proposes the integration of a novel thyristor responsive adaptive fault current limiter (TRA-FCL) topology designed specifically to mitigate these stresses. The proposed TRA-FCL, comprising resistive, capacitive, and thyristor-based components, operates by inserting fault current limiting resistors during fault conditions. This action effectively reduces the fault current magnitude, thereby reducing the electrical and thermal burden on the H-DCCB and enhancing the overall reliability of the MT-HVDC grid. Simulation results, obtained using PSCAD/EMTDC software, confirm that the TRA-FCL can prevent VSC blocking, ensuring continuous grid operation and reducing the operational stress on H-DCCB.
Similar content being viewed by others
Introduction
In Europe, High Voltage Direct Current (HVDC) systems are at the forefront of revolutionizing the continent’s energy infrastructure, paving the way for a multi-terminal (MT-HVDC) super grid that enables efficient long-distance electricity transmission and seamless integration of diverse renewable energy sources1,2. In the last decade, the ongoing evolution of voltage-source converter (VSC-HVDC) transmission systems, in conjunction with advancements in flexible DC transmission technologies, has seen a surge in their commercial implementation3. Within this technological landscape, VSCs have emerged as a preferred choice for high-capacity systems and extensive overhead transmission lines4. Moreover, MT-HVDC networks are gaining recognition as efficient frameworks for enhancing the assimilation and utilization of large-scale renewable energy resources across various nations. A notable example is China’s Zhangbei-Beijing ± 500 kV VSC-based MT-HVDC transmission project, which marks the inaugural application of hybrid DC circuit breakers (H-DCCBs) within a VSC-HVDC bipolar system5.
Nonetheless, the rapid escalation of DC line fault currents poses significant challenges for VSC-HVDC grids. Such fault currents can reach the maximum tolerable limits of the semiconductor devices present in VSC and H-DCCB in just a few milliseconds, jeopardizing the integrity of the MT-HVDC grid6. Thus, such faults can result in the temporary shutdown of the converter, potentially leading to more widespread power disruptions across the entire DC network as well as damage to the H-DCCB IGBT valves7. As such, a pivotal challenge in advancing VSC-based HVDC grid technology is the effective identification, limitation, and clearance of fault currents aimed at mitigating the implications of line faults.
In the domain of fault management in MT-HVDC grids, there are three primary approaches to consider. The first involves using traditional Alternating Current (AC) circuit breakers, which, although straightforward, come with significant drawbacks. When a DC fault takes place, this method requires the isolation of the complete MT-HVDC grid, which inevitably takes 2–3 power cycles. This extended isolation period not only broadens the scope of the blackout area but also severely compromises the reliability of the power supply. In an effort to overcome these limitations, the second approach employs specialized bypass mechanisms within the converter stations to mitigate DC fault currents8,9. In this regard, specialized sub-module topologies like full-bridge or double-clamped have been utilized to clear the DC fault current10,11,12. Despite these advancements, this method also necessitates the complete disconnection of the DC system to guarantee the isolation of the malfunctioning component.
Lastly, the third strategy incorporates the use of high-voltage DCCBs in addition to fault current limiters (FCLs). The integration of high-voltage DCCBs alongside FCLs represents a strategic enhancement in fault management and isolation for future multi-terminal HVDC grids. This hybrid approach enables selective isolation of faulty lines while maintaining normal functionality in unaffected portions of the grid. Consequently, it significantly boosts the reliability of the power supply as well as reduces the high voltage DCCB sizing13,14,15. By combining the strengths of DCCBs and FCLs, this strategy not only enhances fault management but also underscores the evolving nature of fault protection methodologies in modern power grids.
Fault current limiters (FCLs) are pivotal for the advancement of multi-terminal HVDC grids, crucially managing high-magnitude fault currents as these grids grow in complexity and capacity. With the increasing demand for system stability and reliability, effective fault current management becomes paramount. Among various FCL technologies, such as mechanical, solid-state, hybrid, and superconductive, solid-state FCLs emerge as superior and thus adopted in this research7,16.
A comprehensive literature survey of fault current limiter technologies is presented in Table 1. In contrast, a techno-economic comparison of the various types of FCL technologies is summarized in Table 220,24,27. Mechanical fault current limiters generally operate with response times ranging from 5 to 20 ms, constrained by the inertia and delay of mechanical actuators. They also introduce moderate power losses during normal operation due to arcing and resistive/inductive elements, and their moving parts require periodic maintenance, reducing long-term reliability. By contrast, the proposed TRA-FCL achieves an effective commutation time of ≈ 0.25–1.9 ms (as calculated in Sect. 5.2.1), which is an order of magnitude faster than mechanical FCLs. In addition, TRA-FCL conduction losses are negligible (< 1 V drop across thyristors during conduction) and no switching losses occur under healthy conditions. This solid-state design eliminates wear and tear, resulting in higher reliability and lower lifecycle costs. Superconducting FCLs (SFCLs), by contrast, offer near-zero impedance during normal operation and very low steady-state losses with fast response (typically within the sub-millisecond to low-millisecond range), but they require expensive superconducting materials and cryogenic cooling—increasing capital expenditure, operational complexity, and sensitivity to environmental conditions. Solid-state FCLs (thyristor/IGBT-based or bridge topologies) provide ultra-fast dynamic impedance control (microseconds to milliseconds) and excellent controllability, yet certain implementations such as bridge-type can incur significant conduction or switching losses and demand careful thermal management and complex control schemes. Therefore, while mechanical FCLs may remain applicable in low- to medium-voltage networks (≤ 150 kV) where slower response can be tolerated, the TRA-FCL is a more effective choice for VSC-based MT-HVDC grids at hundreds of kilovolts, where rapid current limitation and reliable coordination with H-DCCBs are essential.
Moreover, H-DCCB, due to its technological advantage over other counterparts, is a crucial component for fault isolation in future MT-HVDC grids7,15,16. Its core component, the IGBT valve, requires protection from fault-high currents due to its sensitivity and cost32. Efficient fault current limitation methods are thus necessary to reduce the electrical and thermal stresses on the H-DCCB IGBT valves, extending their lifespan, improving MT-HVDC grid reliability, and lowering maintenance costs.
A common method to restrict the DC fault current involves installing current-limiting inductors at transmission line ends33. However, this primitive approach has challenges, such as compromising system robustness and limited efficacy in reducing fault current peaks. Additionally, precise coordination with H-DCCBs is needed for rapid fault isolation, which narrows the time window for accurate fault identification, impacting overall protection system reliability34.
Considering the inherent limitations of existing HVDC fault current restriction methods and the disadvantages associated with current-limiting inductors, this study introduces a novel fault current limiting approach leveraging the superiority of solid-state FCL technology. We propose a two-unit scheme for HVDC fault current limiting and isolation. In this regard, a Thyristor-Responsive Adaptive Fault Current Limiter (TRA-FCL) is strategically configured in series with the VSC on the DC side. At the same time, H-DCCBs are installed at both ends of the transmission lines. The thyristors play an active role in the FCL’s regular operation. The proposed TRA-FCL topology includes the following technical features:
-
1.
The TRA-FCL can switch operational modes depending on whether the HVDC grid is in its normal or fault state, thereby adapting to different grid conditions. During normal DC system operation, load currents pass through the thyristors of the TRA-FCL, rendering the associated resistance negligible.
-
2.
In the event of a DC-side short-circuit fault, the thyristors are deactivated via a bypass capacitor. Simultaneously, energy absorption resistors are inserted in the fault current path to restrict the magnitude of the fault current. The maximum fault current is effectively curtailed by integrating the TRA-FCL with a current-limiting inductor, thus preventing the converter station from becoming inoperative.
-
3.
This configuration provides the grid monitoring system adequate time to detect faulty lines accurately. Thus, H-DCCB can efficiently interrupt and isolate the fault. Consequently, the H-DCCB IGBT valves and metal-oxide surge arrestors (MOSAs) are subjected to reduced electrical, thermal, and energy dissipation stresses, thus prolonging their lifecycle.
The rest of this paper is structured as follows: Sect. 2 covers the fundamentals of fault currents in VSC-based MT-HVDC grids. In Sect. 3, we provide an overview of H-DCCB technology. Section 4 outlines the structure and operation of the proposed TRA-FCL topology. The fundamental operating mechanism of the TRA-FCL is detailed in Sect. 5, followed by a discussion on its optimal parameter selection in Sect. 7. Section 8 presents the simulation results, and finally, Sect. 9 concludes the paper.
Fundamental aspects of fault current in VSC-based MT-HVDC grid
It is crucial to consider that while DC faults are generally uncommon in more straightforward point-to-point underground or submarine configurations, the dynamics change significantly in MT-HVDC systems. In MT-HVDC systems, the root causes of faults, such as insulation ageing, accidental excavation, thermal overload, and external environmental influences like anchor damage or ice accumulation, become even more critical35. The interconnected terminals in MT-HVDC systems make fault detection challenging, thus necessitating more advanced solutions for fault containment and system restoration36. In addition to automated reclosing systems used in simpler DC and AC networks, advanced technologies like FCLs and H-DCCBs are increasingly being adopted to address these complexities37. These advanced solutions offer rapid fault isolation and clearing, thereby minimizing the risk of cascading failures and enhancing overall system reliability in MT-HVDC networks38,39.
MT-HVDC test grid
A four-terminal VSC-based MT-HVDC test grid is simulated using PSCAD/EMTDC and presented in Fig. 1. The chosen topology for this test system is a half-bridge module and test grid parameters are presented in Table 3. The MT-HVDC test system comprises two offshore VSC stations that transmit electricity through DC-link cables to two onshore VSC stations, subsequently interconnecting with the mainland AC grid. The design of the test system is symmetrical and monopolar, with a nominal DC-link voltage (UN(dc)) of ± 400 kV. The proposed TRA-FCL have been installed at the DC side of the busbar while the H-DCCBs have been integrated at both ends of the transmission link to isolate faults efficiently.
Until now, not much research has been carried out on optimal FCL placement in MT-HVDC grids. In general, placing FCL at the DC side of the VSC rather than at each end of the HVDC transmission line offers numerous advantages. Centralizing the FCL simplifies the system design by reducing the need for multiple devices and lowering equipment costs. It enhances system stability by effectively managing fault currents and improving fault detection and isolation. This central placement also streamlines control strategies and facilitates better communication and monitoring. Additionally, it reduces maintenance requirements and costs, as fewer FCLs need to be maintained, making the system more efficient and reliable overall.
The MT-HVDC test system employed in this study is designed as a reduced configuration that connects two offshore wind farm terminals with two AC grid terminals. This arrangement provides a clear and controlled framework for analyzing the protection performance of the proposed TRA-FCL in coordination with the H-DCCB. Simplified MT-HVDC grids are widely used in the literature as benchmark systems to investigate fault current limitation and circuit breaker operation without the added complexity of large-scale meshed networks. The adopted structure captures the essential bidirectional power exchange and fault propagation behavior representative of MT-HVDC operation, while maintaining a level of simplicity that facilitates transparent demonstration of the proposed protection concept. Furthermore, the protection strategy is inherently scalable and can be extended to more practical multi-terminal topologies, including radial and meshed MT-HVDC grids.
The DC transmission links in the proposed MT-HVDC system are modeled using frequency-dependent phase representations of 525 kV XLPE-insulated HVDC cables study40. The adopted parameters are consistent with the CIGRÉ benchmarks. The line impedance and capacitance are derived from conductor area, insulation geometry, and relative permittivity values summarized in Table 4. These data ensure that the modeled cables exhibit realistic resistance, inductance, and capacitive coupling characteristics representative of practical land and subsea HVDC links operating in the 200–400 km range.
Topology of four-terminal VSC-HVDC test bench.
DC line fault currents. (a) Fault currents observed at VSC 2-side in response to a short-circuit fault on Cable 12, located 25 km from VSC 2. (b) Fault currents recorded at VSC 1-side during a short-circuit fault on Cable 12, situated 25 km from VSC 1.
DC fault current characteristics
In VSC-based MT-HVDC systems, DC line short-circuit faults present one of the gravest challenges6,7. Such situations typically prompt the IGBTs within the VSC to enter a blocking mode for their self-preservation. The entire fault reaction process constitutes three distinct phases: the initial capacitor discharge (Phase 1), followed by the diode freewheeling period (Phase 2), and finally transitioning to the grid current supply phase (Phase 3)41,42. As illustrated in Fig. 2, the DC-link capacitor currents in the first and second VSCs are represented by \(\:{I}_{c1}\) and \(\:{I}_{c2}\), respectively. Meanwhile, \(\:{I}_{D1}\), \(\:{I}_{D2}\), and \(\:{I}_{D3}\) denote the currents flowing through the diodes. For demonstrative purposes, two symmetrical short-circuit faults are introduced on Cable-12, each situated 25 km away from their respective VSCs.
In Fig. 2a, it’s evident that the fault current in a VSC-based MT-HVDC system experiences rapid growth, reaching a significant peak (exceeding 50 kA). Presently, while DCCBs are operational in low to medium-voltage applications, the challenge lies in designing DCCBs for HVDC systems to manage such intense currents43,44,45. This pronounced surge in current can lead to the swift deactivation of VSC IGBT valves and introduce a high-magnitude overcurrent through the diodes as the first phase concludes. The contribution of current flow from neighbouring feeders complicates the fault event further, as demonstrated in Fig. 2b. As a protective measure for both the DC line and the diodes and to maintain the integrity of power in unaffected parts of the system, it’s crucial to restrict this fault current before the capacitor discharge stage concludes46.
Overview of hybrid HVDC circuit breaker technology
In the domain of high-voltage DCCB technology, three predominant technologies have emerged. First is the mechanical DCCB, possessing the capability to handle extensive currents while maintaining reduced on-state losses, yet it exhibits a prolonged operating time, typically ranging from 5 to 10 ms47. The second category, solid-state DCCB (SS-DCCB), incorporates power electronic components, notably IGBTs, to interrupt the DC fault current. These breakers present operating times of approximately 1–3 ms, but this efficiency is offset by significant on-state losses15,48. The third and most innovative is the H-DCCB8,9,10,11, which amalgamates the best attributes of the prior two DCCB types, achieving operating times of 2–5 ms while curbing the on-state losses experienced with solid-state DCCBs49,50,51. Given its advantages, H-DCCBs are becoming the favoured choice for fault interruption for future MT-HVDC grids52,53.
ABB’s proposed H-DCCB topology.
Various H-DCCB topologies exist in the literature. However, in this study, H-DCCB, as proposed by ABB, is utilized. Figure 3 depicts the design of the H-DCCB as proposed by ABB54. This architecture is characterized by three parallel pathways: the load branch, the main breaker (MB) branch, and the energy dissipation branch (EDB). A residual circuit breaker (RCB), functioning as a moderately paced mechanical switch, is positioned sequentially ahead of the H-DCCB’s MB assembly. Within the load branch, an ultra-fast mechanical actuator (UFA) is aligned in series with an IGBT-based load commutation switch (LCS). Meanwhile, the main breaker is designed with specific arrays of IGBT valves arranged both in series and in parallel configurations.
The function of the MOSA within the H-DCCB is critical in fault current neutralization. They are designed to absorb the magnetic energy held within system inductances. By configuring multiple MOSA units in the energy dissipation branch parallel to the IGBT valves of the MB, uniform current distribution is ensured, and energy is effectively managed. A significant role of MOSA is also to mitigate transient interruption voltages (TIV) during the current neuralization process35.
A notable advantage of integrating semiconductor switches in the H-DCCB framework is the capability to operate at notable speeds, often within a few milliseconds. This operational agility results in significantly diminished on-state losses, particularly since currents do not pass through the IGBT valves of the MB unless a fault is detected.
Typically, under normal circumstances, the IGBT valves of the LCS within an H-DCCB remain closed while those of the MB are open. Thus, under standard load conditions, the DC load current primarily flows through the load branch. ABB’s proposed H-DCCB current waveform is illustrated in Fig. 4 during a DC line fault current interruption7.
Waveform of DC line fault current interruption by H-DCCB.
ABB’s H-DCCB current interruption sequence (a) 0 ≤ T ≤ t1 (b) t2 < T ≤ t3 (c) t3 < T ≤ t4 (d) T ≤ t4.
The strategy to isolate DC faults using an H-DCCB can be summarized through the following steps50,54:
-
1.
Normal Operation: Under healthy conditions, the IGBT valves of LCS remain closed, and those of the MB are open. The majority of the load current, owing to the minimal impedance of the load branch, traverses through this branch, as depicted in Fig. 5a.
-
2.
Fault Detection: A short circuit fault is occurring at time t1, which causes the DC fault current to surge rapidly. When it reaches a predefined threshold, a trip signal is generated at t2. This results in the simultaneous opening of LCS and the IGBT valve of the MB branch being activated. As a result, the fault current redirects to the MB from the load branch, a phenomenon commonly termed the first commutation process, as illustrated in Fig. 5b. Concurrently, the UFA begins its opening sequence.
-
3.
UFA Action: By the 2 ms mark, the UFA contacts achieve full separation, ensuring that transient interruption voltages do not jeopardize the LCS, as shown in Fig. 5c. Following this, the IGBT valves in the MB deactivate by time t3.
-
4.
Energy Dissipation: After successful UFA separation, the DC fault current shifts towards the energy dissipation branch. From t3 to t4, the fault current gradually diminishes due to the counter voltages generated by the MOSA as represented by Fig. 5c,d.
Structure and operation of proposed TRA-FCL
FCLs are critical in managing overcurrent situations in power systems, especially HVDC grids. The structure of the proposed TRA-FCL, as illustrated in Fig. 6, incorporates five distinct branches. From a connectivity perspective, the TRA-FCL’s terminal A interfaces with the converter station. In contrast, terminal B establishes a link with the DC busbar. Currents flowing through the first four branches are labelled from \(\:{I}_{1}\) to \(\:{I}_{4}\), while the current associated with the branch containing the commutation capacitor C is denoted as \(\:{I}_{c\left(fcl\right)}\). During standard operations, this capacitor, C, maintains an initial voltage, \(\:{U}_{o}\). Its positive and negative polarities are distinctly marked in Fig. 6.
A primary current limiting resistor, denoted by \(\:{R}_{1}\), have a pivotal role in the operation of the proposed TRA-FCL. This resistor is specifically designed to limit excessive currents during DC fault conditions. In conjunction, the resistor \(\:{R}_{2}\), termed as the secondary current limiting resistor, offers a protective role. It protects thyristor \(\:{T}_{2}\) and diode \(\:{D}_{3}\) from potential overcurrents that might arise during the discharge of the C.
Proposed topology of the TRA-FCL.
A notable feature of the TRA-FCL’s configuration is its utilization of thyristors (\(\:{T}_{1}\), \(\:{T}_{2}\), and \(\:{T}_{3}\)) and a diode \(\:{D}_{3}\). Thyristors, when compared to IGBTs, present several advantages. They can handle larger currents and entail a more economical investment. Furthermore, their inherent design ensures a voltage drop of less than 1 V when active, in comparison to the IGBT, which often witnesses a drop greater than 2 V. This distinction is crucial as it translates to considerably reduced power losses during the conduction phase. Additionally, the manufacturing process for thyristors is more streamlined, especially given their wide-ranging applications in HVDC grids based on Line Commutated Converter (LCC) technology.
Under health operation, the thyristors in the TRA-FCL remain static without any active switching. This stability is beneficial as it minimizes power loss, predominantly because there are no switching losses involved. However, one challenge with thyristors is that they lack self-turn-off capability. The absence of self-turn-off capability means that an external mechanism or component is required to deactivate them. The design of the TRA-FCL addresses this limitation. For instance, during a DC short-circuit event, \(\:C\) is activated, offering a counteractive discharge current that assists in deactivating \(\:{T}_{3}\).
Under healthy grid operation, either the thyristor \(\:{T}_{3}\) or the diode \(\:{D}_{3}\) is in the conduction phase. The direction of the current flow is dependent on the connection of terminal A. During rectification, the current flows through \(\:{T}_{3}\). In inversion mode, the current flows through the diode \(\:{D}_{3}\). This adaptability becomes even more critical in a VSC-based MT-HVDC system. As discussed in Sect. 2, in case of a short-circuit fault on the DC side, every converter station would instinctively direct its discharge towards the fault’s location. As terminal A of TRA-FCL is always connected to the converter station, this ensures that the fault current invariably passes through \(\:{T}_{3}\) only, thus highlighting its versatile, adaptive operation.
Fundamental operating mechanism of the TRA-FCL
The VSC has emerged as a foundation in the realization of MT-HVDC grids largely due to their flexibility and efficiency in HVDC power transmission. Within this complex grid structure, FCLs play a crucial role, especially when it comes to ensuring grid resilience against unforeseen fault scenarios. The FCL’s fundamental function is to detect and limit excessive DC current flow, thus preserving the integrity and stability of the VSC-based MT-HVDC grid. This section delves into the interaction between the proposed TRA-FCL and VSC within the MT-HVDC context, highlighting the operational strategies employed to counter potential DC fault scenarios.
Derivation of the VSC equivalent circuit: (a) internal VSC circuit, (b) three-phase equivalent circuit, (c) final equivalent circuit.
VSC equivalent circuit representation and transient behavior under DC fault
The VSC, depicted in Fig. 7a, undergoes a transient event at the inception of a short-circuit fault at time \(\:{t}_{sc}\). This incident triggers a rapid depletion of charge from the capacitors within each sub-module. The discharge pathways are represented by the red dashed lines in the Figure, with \(\:{I}_{upper}\) and \(\:{I}_{lower}\) denoting the current flow through the upper and lower arms of the bridge, respectively, \(\:{I}_{AC}\) and \(\:{I}_{DC}\) Signifying the AC and DC current on each side. The capacitor in the sub-modules is represented as \(\:{C}_{SM}\), \(\:{L}_{arm}\) stands for the inductance of the bridge arm, \(\:{L}_{lim}\:\)is the inductance providing current limitations and \(\:{N}_{SM}\) Indicates the total number of sub-modules in each arm of the bridge in VSC.
Due to the inherent symmetry in the three-phase system, the aggregate of the AC currents in all three phases equals zero. Consequently, at the occurrence of a DC-side short-circuit, the fault current on the DC side is the primary focus of the analysis, rendering the AC components negligible, as illustrated in Fig. 7b. Subsequently, the derived circuit from Fig. 7b, integrates an equivalent inductor \(\:{L}_{eq}\), capacitor \(\:{C}_{eq}\), and resistor \(\:{R}_{eq}\) , with their respective mathematical expressions provided in the simplified circuit, as illustrated in Fig. 7c28. Additionally, \(\:{R}_{on\left(IGBT\right)}\) and \(\:{R}_{on\left(diode\right)}\) represents the on-state resistances for the IGBTs and diodes within the converter, respectively.
Control strategy for the proposed TRA-FCL.
Working principal of proposed TRA-FCL
The control strategy of the proposed TRA-FCL is depicted in the flow chart in Fig. 8. Upon the detection of a DC short-circuit fault, there is a rapid increase in the DC fault current. As \(\:{I}_{DC}\) approaches or exceeds the predefined threshold (\(\:{I}_{threshold}\)), an instantaneous triggering signal is dispatched to \(\:{T}_{2}\). In the ensuing phase, \(\:C\) undergoes a discharge process facilitated by \(\:{R}_{2}\) and \(\:{T}_{2}\). This activity leads to the deactivation of the thyristor \(\:{T}_{3}\).
Finally, in the subsequent phase of DC fault current limiting, the capacitor \(\:C\) undergoes the charging process while \(\:{T}_{1}\) is simultaneously activated. This activation results in the integration of both \(\:{R}_{1}\) and \(\:{R}_{2}\) into the fault circuit. The key role of both current limiting resistors, \(\:{R}_{1}\) and \(\:{R}_{2}\) is to regulate and restrict any abrupt surge in the DC fault current. Detailed analyses of the discharge dynamics of \(\:C\) and the functionality of the \(\:{R}_{1}\) and \(\:{R}_{2}\) are elaborated in the subsequent sections.
The subsequent discharge circuit: (a) Short-circuit fault (b) Branching of fault current (c) Fault current restricted.
The incorporation of the TRA-FCL in the MT-HVDC protection hierarchy supports, rather than alters, the fundamental goal of minimizing the faulted section and reducing interruption time. Upon fault detection, the TRA-FCL rapidly transitions to a high-impedance state, limiting the local fault current before the H-DCCB operates. This current suppression reduces breaker stress and allows faster clearance of the faulted segment while keeping adjacent DC links in service. The coordinated control logic between the TRA-FCL and H-DCCB is implemented through synchronized tripping thresholds and timing sequences, ensuring that the FCL response complements breaker action without extending interruption duration. As a result, the proposed protection structure achieves selective isolation with minimal adaptation of conventional protection strategies and improves overall reliability and operational continuity of the MT-HVDC grid.
Discharge mechanism of the commutation capacitor
To better understand the discharge process of the \(\:C\), a significant terminal fault is considered as an example. When a short-circuit fault occurs, the subsequent discharge circuit is illustrated in Fig. 9a. Here, Path I is the converter’s discharge route. \(\:{T}_{2}\) gets a positive voltage from the \(\:C\), so it turns on quickly when it gets the trigger signal. This causes the \(\:C\) to discharge fast, following the circuit shown as Path II in Fig. 9a. The current in Path II is denoted as \(\:{I}_{c\left(fcl\right)}\) and the voltage across the capacitor C is \(\:{U}_{c\left(fcl\right)}\). Using the Kirchhoff Voltage Law, we obtain the relationship expressed in (1). The solution to this differential equation is given in (2), where \(\:{U}_{o}\) denotes the initial voltage of C.
For the \(\:C\) to effectively extinguish the DC fault current, its discharge current must exceed that of the fault. This ensures that the current traversing through \(\:{T}_{3}\) is reduced to zero, allowing for \(\:{T}_{3}\) to transition to an off-state successfully.
To quantify the completion time of the commutation (turn-off) process, the commutation capacitor discharge can be modelled as a simple RC discharge. The discharge time constant is denoted by (3):
Where, \(\:C\) is the commutation capacitor and \(\:{R}_{eq}\) is the equivalent resistance in the discharge path seen by \(\:C\) during commutation. Depending on the conduction/discharge path in the TRA-FCL topology based on Fig. 9a, two practical \(\:{R}_{eq}\)values can be considered. In this regards, conduction/discharge paths in the proposed TRA-FCL topology can be identified as: (a) Fast discharge path, and (b) slower discharge path. The fast discharge path consists of low series resistance through \(\:{R}_{2}\), while the slower discharge path comprises of primary limiting resistor, \(\:{R}_{1}\) and protection resistor \(\:{R}_{2}\). The corresponding equivalent resistance in the fast discharge path and the slower discharge path given in (4) and (5):
The capacitor voltage and the discharge current decays exponentially with time constant, \(\:{\uptau\:}\). For practical engineering estimates the capacitor can be considered effectively discharged after \(\:n{\uptau\:}\). Assuming \(\:n=5\) reduces the capacitor voltage to ≈ 0.7% of its initial value and hence gives the capacitor discharge completion time as (6):
The thyristor must also be held off for its required turn-off interval. Let \(\:{t}_{toff}\) denote the thyristor turn-off delay. The total commutation (turn-off) time is therefore expressed as (7):
Utilizing numerical values of TRA-FCL main parameters from Table 5 and relation (6), the corresponding capacitor discharge completion times for both fast and slower discharge paths are obtained to be 0.19 ms and 1.69 ms respectively. Furthermore, a modest 120 µs turn-off time corresponding to the state-of-the-art industrial high-power thyristors is considered in this study55. Subsequently, utilizing relationship (7), the cumulative commutation time yielded for the fast path and the slow path is approximately around 0.308 ms and 1.808 ms respectively. Therefore, the calculated commutation duration of the TRA-FCL is well aligned with the operating window of the H-DCCB described in Sect. 3. This ensures coordinated fault interruption and reliable overall protection of the MT-HVDC grid.
Current analysis of fault limiting resistors
Upon the deactivation of thyristor \(\:{T}_{3}\), the fault current is diverted into the commutation \(\:C\), initiating a charging cycle facilitated by the DC fault current’s flow. As the capacitor’s voltage, \(\:{U}_{c\left(fcl\right)}\), transitions from a positive to a negative value, transistor \(\:{T}_{1}\:\)is subjected to a positive voltage. Given that \(\:{T}_{1}\) continues to receive a gating signal, its conduction is immediate. Consequently, the fault current is directed into two pathways: through branch 1 and alongside the \(\:C\), outlined by the red dashed line in Fig. 9b. This branching of current continues until the \(\:C\) reaches its full charge, at which point the current \(\:{I}_{c\left(fcl\right)}\) subsides to zero. After that, the DC fault current traverses through branch 1 only, as shown in Fig. 9c. At this stage, fault-limiting resistors \(\:{R}_{1}\:\)and \(\:{R}_{2\:}\)are incorporated into the circuit, functioning to restrict the magnitude of the DC fault current.
The equivalent circuit: (a) Short-circuit fault with branching of fault current (b) Resultant simplified model.
In order to examine the distribution of current across each branch within the proposed TRA-FCL, the equivalent circuit depicted in Fig. 9b is further examined in Fig. 10a. Given that the capacitance of \(\:{C}_{eq}\) substantially exceeds that of \(\:C\), the analysis is simplified by treating \(\:{C}_{eq}\:\)as an equivalent voltage source, which assumes the initial voltage of \(\:{U}_{eq\left(s\right)}\). This approximation facilitates the calculational procedure. The resultant simplified model is presented in Fig. 10b, where \(\:{R}_{total}\) represents the combined resistance of \(\:{R}_{eq}\) and \(\:{R}_{2}\), and \(\:{t}_{off}\) denotes the precise moment when \(\:{T}_{3}\) is switched off. Concurrent with \(\:{t}_{off}\), the voltage source \(\:{U}_{eq\left(s\right)}\) is introduced into the circuit, prompting the subsequent current redistribution.
With reference to the streamlined circuit model in Fig. 10b, mathematical expressions (10) to (13) are formulated. Utilizing relationships (10) to (13), the differential equation in (14) is developed. When \(\:{T}_{1}\:\)is activated, it is assumed that the initial current traversing through the inductor \(\:{L}_{eq}\) is \(\:{I}_{dc\left(0\right)}\). Following the deactivation of \(\:{T}_{1}\), the \(\:C\) is nearly fully discharged, leading to the assumption that the initial voltage across \(\:C\) is zero. These initial conditions provide the basis for the boundary conditions applied in (14), which are detailed as follows:
The characteristic equation derived from the relationships in (14) and (15) is expressed as (16). The eigenvalues, which are the roots of the characteristic Eq. (12), are given in sequence in relationship in (17). Additionally, the relationship in (18) describes the formulation of \(\:\alpha\:\).
The inductance values associated with the current limiting inductors situated in the bridge arm and at the terminal of the transmission line are notably high. At the same time, the capacitance denoted by \(\:C\) is relatively minimal, concluding in a \(\:\alpha\:\) that exceeds zero. Consequently, the differential equation represented by (16) exhibits an overdamped nature. The DC current equation is derived in formula (19), with the coefficients \(\:{A}_{1}\) and \(\:{A}_{2}\) determinable through the initial conditions stipulated in (16).
Using (13) and (19), we can determine the formula for \(\:{U}_{c\left(fcl\right)}\). Following this, one may extrapolate \(\:{I}_{c\left(fcl\right)}\) from the relations presented in (20) and (21). Drawing upon Fig. 9b, the correlations outlined in (22) and (23) are deducible. Subsequently, this allows for the derivation of the expressions for \(\:{I}_{1}\) and \(\:{I}_{2}\).
TRA-FCL startup criteria
The current flowing through the bridge arm of the VSC can be mathematically represented as per Eq. (22), wherein the instantaneous DC and AC side currents are denoted as \(\:\:{I}_{dc}\)and \(\:{I}_{ac}\), respectively. Furthermore, \(\:{I}_{arm}\:\)signify the nominal current within the bridge arm, as outlined in Eq. (23), with \(\:{I}_{N\left(DC\right)}\) and \(\:{I}_{N\left(AC\right)}\) representing the nominal DC and AC currents, respectively. It is imperative to note that, in order to prevent converter blockage, the current in the bridge arm must not surpass two times the nominal current, as represented in Eq. (24).
By combining Eqs. (22), (23), and (24), we arrive at the formulation presented in (27). The inference from the expression in (27) implies that the converter remains unblocked even when the DC-side current reaches two times its nominal value. Consequently, the designated startup threshold, denoted as \(\:{\:I}_{threshold}\), is established at twice the value of \(\:{I}_{N\left(DC\right)}\). Activation of the TRA-FCL occurs when the instantaneous DC current, \(\:{I}_{dc}\), equals or surpasses the specified \(\:{\:I}_{threshold}\), as depicted in conditions given in (21).
Optimal parameter selection for the TRA-FCL
The selection of parameters in any FCL is essential for its performance in an MT-HVDC system. This process involves choosing specific settings like current thresholds\(\:{\:(I}_{threshold})\), capacitor voltage rating \(\:({U}_{c\left(fcl\right)}\)), and current limiting resistors \(\:({R}_{1}\:\)and \(\:{R}_{2})\), which are crucial for optimizing DC fault current limitation efficiency and ensuring grid stability and safety.
To effectively explain the determination of optimal parameters in TRA-FCL, consider a severe terminal pole-pole short-circuit fault. As outlined in Sect. 5.3, the FCL is designed to activate when the DC-side fault current reaches the threshold current, \(\:{I}_{threshold}\). This threshold is typically set at twice the rated DC current,\(\:{\:I}_{N\left(DC\right)}\), to guarantee the deactivation of \(\:{\:T}_{3}\). Consequently, the reverse current capacity provided by the \(\:C\) must exceed twice the \(\:{\:I}_{N\left(DC\right)}\). This requirement is supported by the analysis presented in Fig. 9a and (2), ensuring that condition (29) is met for optimal TRA-FCL functioning.
Role of resistor \(\:{R}_{2}\:\)is crucial for the activation threshold of the TRA-FCL. The primary function of \(\:{R}_{2}\) is to regulate the discharge current of the \(\:C\). However, if \(\:{R}_{2}\) is set too high, it requires a higher initial charging voltage for the \(\:C\) to deliver the necessary reverse current. Therefore, it’s important to balance the value of \(\:{R}_{2}\); setting it at a moderate level, within a range of several ohms, is typically appropriate to ensure the efficient operation of the FCL without necessitating excessively high initial voltages.
To guarantee the effective deactivation of \(\:{T}_{3}\), it’s crucial that the electrostatic charge stored in \(\:C\), surpasses the current passing through \(\:{T}_{3}\) during its shutdown process. This necessity is detailed in (30), which emphasizes that the deactivation period for \(\:{T}_{3}\), denoted as \(\:\varDelta\:t\), should be set within the span of a few microseconds. By synthesizing the information from (29) and (30), the optimal values for \(\:{U}_{c}\) and \(\:C\) can be determined, ensuring the system operates as intended.
On the other hand, in the process of selecting \(\:{R}_{1}\), it’s important to recognize that the relationship in (14) represents an overdamped differential equation. The peak value of the direct current, \(\:{I}_{dc}\), can be deduced from Eq. (29). This equation specifies \(\:{I}_{max}\), which stands as the highest achievable value of \(\:{I}_{dc}\). By evaluating these equations, one can effectively determine the optimal selection for \(\:{R}_{1}\), ensuring the MT-HVDC grid’s performance aligns with the intended design parameters.
To safeguard the converter station from potential blocking, it is critical that the current passing through the bridge arms does not exceed twice its rated capacity. This precaution is encapsulated in the relationship in (32), which defines \(\:{I}_{arm\left(\text{m}\text{a}\text{x}\right)}\) as the upper limit of current that can flow through a bridge arm, with \(\:{I}_{N\left(\text{a}\text{r}\text{m}\right)}\) being the nominal current capacity of the arm, as established in Eq. (23). The calculation for \(\:{I}_{arm\left(\text{m}\text{a}\text{x}\right)}\) is further elaborated in (33), where \(\:{I}_{N\left(\text{A}\text{C}\right)}\) is used, representing the root mean square (RMS) value of the bridge arm’s rated AC current. Adherence to these parameters is vital for maintaining the stability and efficiency of the system.
By utilizing (31), (32), and (33), the value of \(\:{R}_{1}\)can be obtained, as shown in (34).
Voltage and current stress on thyristors in TRA-FCL topology
Prior to activating the proposed TRA-FCL, the \(\:C\) holds an initial voltage denoted as \(\:{U}_{o}\). In this state, \(\:{T}_{1}\) is required to endure a reverse voltage equivalent to \(\:{U}_{o}\), although it does not need to tolerate any forward voltage. Lastly, once \(\:{T}_{1}\) is integrated into the fault circuit path, it begins to endure forward current. The magnitude of the current that \(\:{T}_{1}\) must sustain is represented by \(\:{I}_{1}\).
In a similar context to \(\:{T}_{1}\) within the TRA-FCL system, \(\:{T}_{2}{\prime\:}\text{s}\) operational dynamics before the TRA-FCL activation involve enduring the forward voltage of \(\:{U}_{o}\). Unlike \(\:{T}_{1}\), which is subjected to a reverse voltage, \(\:{T}_{2}\) is not required to endure reverse voltage conditions.
During the discharge cycle of the \(\:C\), \(\:{T}_{2}\)manages the current flow as described in (2). Following the deactivation of \(\:{T}_{3}\), the current passing through \(\:{T}_{2}\) takes the form of \(\:{I}_{2}\). This operational procedure complements the role of \(\:{T}_{1}\), where \(\:{\prime\:}\)s integration into the fault circuit marks the commencement of \(\:{T}_{1}\) managing forward current, denoted as \(\:{I}_{1}\).
Just as \(\:{T}_{1}\) and \(\:{T}_{2}\) manage specific voltage conditions prior to TRA-FCL activation, \(\:{\prime\:}\)s responsibility is centered around the forward voltage \(\:{U}_{AB}\), post TRA-FCL activation, as outlined in relation given in (35).
In the healthy operational mode of the MT-HVDC system, \(\:{T}_{3}\:\)typically conducts the nominal DC current, \(\:{I}_{N\left(DC\right)}\). The activation of the TRA-FCL is triggered when the fault current escalates to the predefined operational threshold, \(\:{I}_{threshold}\). Upon TRA-FCL activation, \(\:{T}_{3}\) is switched off. As a result, the maximum current passing through \(\:{T}_{3}\:\)is the threshold value, \(\:{I}_{threshold}\), signifying its critical role in the TRA- FCL’s regulation of current flow.
Simulation validation and results
Investigating the performance of the proposed TRA-FCL involves simulating DC line fault interruption within a four-terminal VSC-HVDC system, as depicted in Fig. 1. The study utilizes PSCAD/EMTDC simulations to analyze three distinct scenarios incorporating the following: (i) fault current interruption using H-DCCB along with current limiting inductor, \(\:{L}_{lim}\) (ii) fault current interruption employing H-DCCB along with \(\:{L}_{lim}\) and TRA-FCL, (iii) integrating TRA-FCL with H-DCCB without \(\:{L}_{lim}\). These simulations are essential for evaluating the effectiveness and comparative advantages of each configuration against the electrical and thermal stresses that the H-DCCB components undergo during the DC fault interruption process.
In the context of this study, thermal stress refers to the temperature-induced mechanical and electrical stress experienced by the semiconductor devices within the MB section of the H-DCCB during fault interruption. The rapid rise in current during a fault result in increased conduction and switching losses, which elevate the junction temperature of the IGBT valves. Repeated exposure to such transient temperature excursions contributes to cumulative thermal fatigue and degrades device lifetime. The TRA-FCL effectively mitigates this condition by limiting the peak fault current and reducing the total energy dissipated within the MB path, thereby lowering the corresponding temperature rise. The observed reduction in MB valve temperature thus serves as a direct and quantifiable indicator of reduced thermal stress on the breaker’s power semiconductor modules.
For all four case studies, a low impedance pole-pole short circuit fault is introduced 15 km from VSC-1 on Line-12 at 0.5 s. The fault detection time is set at 1 ms, with the H-DCCB operating time configured to 2 ms. Tables 3, 5, 6 detail the parameters for the four-terminal VSC-HVDC test bench, TRA-FCL and H-DCCB respectively. Also, VSC blocking is disabled to exert maximum electrical, thermal, and energy stress on H-DCCB components. The simulation results are presented in terms of key parameters such as DC line current and voltage, as well as the temperature of the H-DCCB MB IGBT valve and the power dissipation by MOSA in H-DCCB.
Although the present study focuses on specific fault scenarios at representative locations, the operational impact of the TRA-FCL extends consistently across all converter terminals in the MT-HVDC grid. Since each terminal employs the same converter configuration and identical FCL–breaker coordination logic, the current-limiting behavior observed in the analyzed cases can be generalized to other nodes with similar network impedance. The TRA-FCL responds locally to overcurrent thresholds independent of remote converter behavior, thereby supporting decentralized protection action. Consequently, the results obtained for the studied terminals adequately represent the overall MT-HVDC system response. A broader evaluation of multi-node coordination and selective reclosing strategies will be considered in future work to further refine large-scale grid-level protection analysis.
Simulation results for scenario I using H-DCCB along with \(\:{L}_{Lim}\) only: (a) Current, (b) voltage, (c) MOSA energy dissipation, (d) MB valve temperature.
Scenario: I
Simulations of waveforms for various key parameters during fault current interruption utilizing H-DCCB along with the \(\:{L}_{lim}\) are illustrated in Fig. 11. Under healthy conditions, a steady current of roughly 2.5 kA flows through DC line-12. At 0.5 s, a low impedance positive pole-to-ground fault occurs 100 km away from VSC-1. During the transient phase, the line current rapidly rises at a rate of about 4 kA/ms. Upon reaching the predefined threshold of 4 kA, the Load Commutation Branch instantly turns off, redirecting the load current to the MB branch, as depicted in Fig. 10a. Subsequently, after a further 2 ms MB operational delay, the current peaks to a value of 12 kA. At this instant, the DC fault current is finally commutated to the energy dissipation branch, leading to complete fault current neutralization by 0.52 s. Consequently, the H-DCCB with the current limiting reactor takes about 17.5 ms to neutralize the fault fully.
Figure 11a shows the DC line and breaker voltage response during the fault. A transient period with high-frequency oscillations of magnitude 800 kV (peak-to-peak) gradually decays, stabilizing to steady-state values by 2.5 ms after the fault initiation. However, due to the high fault current magnitude, the duration of fault neutralization and, thus, the energy dissipation stage is prolonged, resulting in prolonged voltage stress on the main breaker valves and energy dissipation stress in the MOSA as shown in Fig. 11b,c, respectively. Hence, at the end of fault neutralization, the MOSA branch dissipated 45 MJ of energy. Finally, The MB IGBT valves reach a peak temperature of 66 °C, as shown in Fig. 11d, which remains well within their rated limit of 120 °C due to the relatively brief duration during which the MB branch conducts the fault current.
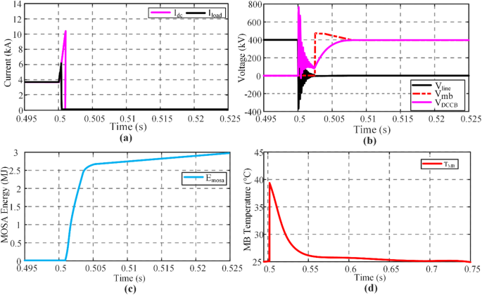
Simulation results for scenario II using H-DCCB along with \(\:{L}_{lim}\) and TRA-FCL: (a) Current, (b) voltage, (c) MOSA energy dissipation, (d) MB valve temperature.
Scenario: II
In the second scenario, the implementation of H-DCCB, along with a \(\:{L}_{lim}\) and TRA-FCL, significantly changes the DC fault current interruption characteristics. When a low impedance positive pole-to-ground fault occurs at 0.5s, the steady state fault current starts to rise similarly as in scenario I. However, upon reaching the 4 kA tripping threshold, simultaneous trip signals are issued to both the H-DCCB and TRA-FCL. Upon the activation of TRA-FCL, the fault current has to traverse resistors \(\:{R}_{1}\) and \(\:{R}_{2}\), which causes the rate of rise of the fault current to decrease gradually. This mechanism effectively manages to reduce the fault current peak to approximately 7 kA, as seen in Fig. 12a.
Eventually, as the fault current is commutated to the energy dissipation branch, the neutralization of the fault current is carried out in just 5 ms as compared to 17.5 ms in scenario I. Furthermore, it is evident from Fig. 12b that the voltage transient across the MB of H-DCCB is decreased, both in magnitude and time duration. Lastly, Fig. 12c,d illustrate reduced MOSA energy dissipation of approximately 5 MJ and MB IGBT valve temperature peak of around 44 °C.
Scenario: III
In the third scenario, H-DCCB is employed to interrupt the fault current along with TRA-FCL and without the \(\:{L}_{lim}\). Due to the absence of the \(\:{L}_{lim}\) the rate of rise of fault current is not limited; thus, when a low impedance positive pole-to-ground fault occurs at 0.5s, the DC fault current surges to approximately 98 kA in just 0.5 ms. This extremely rapid DC fault escalation ultimately initiates H-DCCB’s deriver-level protection which causes indiscriminate tripping of the main breaker IGBT modules as well as may cause permanent damage. The extreme peaks in electrical and thermal parameters are depicted in Fig. 13. As the IGBT module’s temperature exceeds the rated valve of 120 °C, it causes immediate tripping and possible permanent destruction of the IGBT value. The second current commutation event is not carried out, as evident by the low magnitude of energy dissipation by the MOSA branch. Figure 13a shows the Current, Fig. 13b presents the voltage, Fig. 13c shows MOSA energy dissipation, and Fig. 13d presents MB valve Temperature.
Simulation results for scenario III using H-DCCB along with TRA-FCL converter terminal fault: (a) Current, (b) voltage, (c) MOSA energy dissipation, (d) MB valve temperature.
Scenario: IV
In addition to the cable fault scenario, this case considers a DC fault occurring at the VSC-1 terminal, i.e., on the DC bus side before the transmission cables. Converter-side faults are among the most probable fault types in practical VSC-HVDC systems, often resulting from insulation breakdown, equipment malfunction, or connection failure at the converter interface. Such faults are characterized by the rapid discharge of the converter DC-link and submodule capacitors, leading to a steep current rise and higher initial di/dt compared with cable faults, where the line inductance provides partial current limitation. This scenario therefore offers a realistic assessment of the TRA-FCL and H-DCCB coordination under severe converter-side fault conditions.
In this scenario, a pole-to-ground fault is initiated at the DC bus of VSC-1 to evaluate the system response when the fault occurs on the converter side rather than along the cable. As the fault develops at t = 0.5 s, the DC-link capacitors of VSC-1 discharge rapidly, producing a steep current rise due to the very low equivalent inductance at the bus. The fault current initially follows a sharp transient similar in shape to that of the cable-fault case but with a noticeably higher \(\:di/dt\). Once the current magnitude reaches the 6 kA protection threshold, trip commands are simultaneously issued to both the H-DCCB and TRA-FCL, initiating coordinated current limitation and commutation.
Following activation of the TRA-FCL, the fault current is diverted through resistors R₁ and R₂, causing a progressive reduction in the current slope. Consequently, the fault current peak is restricted to approximately 10.5 kA, lower than the uncontrolled peak observed without protection. The coordinated operation of the TRA-FCL and H-DCCB leads to a complete neutralization of the fault current within 2 ms, confirming rapid fault isolation at the converter terminal.
Simulation results for scenario IV using H-DCCB along with TRA-FCL: (a) Current, (b) voltage, (c) MOSA energy dissipation, (d) MB valve temperature.
As shown in Fig. 14a, the current transient is effectively contained, while Fig. 14b illustrates the corresponding voltage across the main breaker (MB) of the H-DCCB, which exhibits a reduced overshoot both in amplitude and duration compared with the cable-fault scenario. The MOSA energy dissipation and MB-IGBT valve temperature, presented in Fig. 14c,d, also show lower energy absorption of approximately 3 MJ and a reduced temperature rise of 38 °C, respectively. These results demonstrate that even for the severe converter-side fault, the coordinated operation of the TRA-FCL and H-DCCB successfully limits fault current stress and ensures rapid recovery of DC bus voltage.
Overall, the converter-side fault exhibits a much faster current rise due to the immediate discharge of the VSC DC-link capacitors and the negligible inductance between the converter and the fault point. This results in a rapid current peak and greater instantaneous electrical and thermal stress on the converter valves and associated protection devices. Compared with the cable-fault case, the bus-side fault produces a sharper but shorter current spike, whereas the cable fault leads to a slower yet more sustained current waveform. Nevertheless, the coordinated operation of the TRA-FCL and H-DCCB effectively limits the current magnitude, reduces the energy absorbed by the MOSA, and minimizes the temperature rise of the MB IGBT valves, confirming the robustness of the proposed protection scheme under both converter-side and line-fault conditions.
Hardware feasibility and future validation
Although this study relies on analytical and simulation-based validation, the proposed TRA-FCL topology can be implemented as a laboratory-scale prototype using the circuit arrangement shown in Fig. 15. The setup consists of four functional parts:
-
1.
Pre-charge circuit: A small capacitor \(\:{C}_{1}\) is charged through switch \(\:{S}_{1}\) to establish the initial voltage, ensuring safe energization before fault testing. Switch \(\:{S}_{2}\) is used to connect the pre-charged capacitor to the main circuit.
-
2.
TRA-FCL branch: This includes the main commutation capacitor \(\:C\), protection resistors \(\:{R}_{1}\)and \(\:{R}_{2}\), and thyristors \(\:{T}_{1}\) and \(\:{T}_{2}\). The capacitor is pre-charged and, upon fault detection, discharges through the thyristor path, producing a counter-voltage that commutates current away from the line. Diode \(\:{D}_{4}\) and thyristor \(\:{T}_{4}\) provide controlled commutation and blocking capability.
-
3.
H-DCCB: Represented by the main breaker inductance, \(\:{L}_{DCCB}\), metal oxide surge arrester (MOSA), and main breaker switch, \(\:{S}_{MB}\). This element coordinates with the TRA-FCL to achieve fast fault interruption while minimizing breaker stress.
-
4.
Discharge path equivalent: Consisting of \(\:{L}_{load}\) and \(\:{R}_{load}\), which emulate the line and load conditions during a DC fault. By shorting this branch, an artificial DC fault can be initiated for test purposes.
In a practical prototype, the commutation capacitor would be rated at a few microfarads (e.g., 5–10 µF at several kilovolts depending on scaling), resistors in the tens of ohms range would control discharge rates, and thyristors with current ratings consistent with scaled-down DC fault levels and turn-off times of 50–200 µs would be used. Control logic can be realized with a DSP or FPGA to detect the fault current and trigger the commutation sequence in real time. Oscilloscope measurements of capacitor voltage, thyristor current, and breaker response would provide direct experimental validation of the analytical discharge time (≈ 0.25–1.9 ms) derived in Sect. 5.2.1a. While this hardware validation is reserved for future work, the outlined setup confirms that the proposed TRA-FCL design is practically feasible using commercially available components. Moreover, AI integration will be implemented as well with adaptive protection56,57.
Proposed small-scale experimental setup for TRA-FCL validation.
Conclusion
This study presents a simple yet efficient approach to address the challenges associated with HVDC fault current limitation and isolation in VSC-based MT-HVDC grids. A novel TRA-FCL topology is proposed for the VSC-based MT-HVDC grid that overcomes the limitations of existing fault-limiting technologies. In this study, the operational mechanism of the proposed TRA-FCL is described by examining the current in each branch, as well as a strategy to select the key parameter values of the TRA-FCL is presented mathematically. A four-terminal VSC-based HVDC system was designed in PSCAD/EMTDC, and simulation results confirmed the TRA-FCL’s efficiency.
Among the three scenarios studied, it is found that TRA-FCL, in combination with a current-limiting inductor in series with H-DCCB, gives rise to the lowest DC fault current as well as reduces the fault interruption difficulty of the H-DCCB. These results demonstrate the TRA-FCL’s ability to reduce electrical and thermal stress on the H-DCCB significantly. The TRA-FCL increases the service life of the H-DCCB components while also lowering maintenance costs and improving economic efficiency. This reduction in stress will result in fewer component failures and outages, providing more dependable and cost-effective grid operations. Furthermore, improved protection reliability and less frequent maintenance contribute to the overall stability and resilience of the HVDC system, making the TRA-FCL an important improvement for VSC HVDC applications.
Data availability
The datasets used and/or analysed during the current study available from the corresponding author on reasonable request. The data for the four-terminal test system implemented in PSCAD/EMTDC used to support the findings of this study have been deposited in the figshare repository (https://doi.org/10.6084/m9.figshare.26770198.v1). The provided data description outlines the characteristics and parameters used in generating a dataset or various parameters under different fault scenarios. You can download all the necessary data using the figshare repository link provided above.
Abbreviations
- AC:
-
Alternating current
- CB:
-
Circuit breaker
- DC:
-
Direct current
- HVDC:
-
High voltage direct current
- MT-HVDC:
-
Multi-terminal high voltage direct current
- VSC:
-
Voltage source converter
- H-DCCB:
-
Hybrid DC circuit breaker
- FCL:
-
Fault current limiter
- SFCL:
-
Superconducting fault current limiter
- IGBT:
-
Insulated gate bipolar transistor
- LCS:
-
Load commutation switch
- UFA:
-
Ultra-fast mechanical actuator
- MB:
-
Main breaker
- MOSA:
-
Metal-oxide surge arrester
- TRA-FCL:
-
Thyristor-responsive adaptive fault current limiter
- PSCAD:
-
Power systems computer aided design
- EMTDC:
-
Electromagnetic transients including DC
- RMS:
-
Root mean square
- LCC:
-
Line commutated converter
- NSM:
-
Number of sub-modules
- CSM:
-
Sub-module capacitance
- LB :
-
Bridge arm inductor
- Ron (IGBT) :
-
On-state resistance of IGBT
- Ron (diode) :
-
On-state resistance of diode
- IN (AC) :
-
Nominal AC current
- IN (DC) :
-
Nominal DC current
- IN (arm) :
-
Nominal bridge-arm current
- Ib (max) :
-
Maximum bridge-arm current
- TIV:
-
Transient interruption voltage
References
Adnan, M., Ahmed, I. & Iqbal, S. Load flow balancing in super smart grids: A review of technical challenges, possible solutions and future trends from European prospective. Comput. Electr. Eng. 117, 109265 (2024).
Khalid, S., Raza, A., Yousaf, M. Z., Mirsaeidi, S. & Zhichu, C. Recent advances and future perspectives of HVDC development in Pakistan: A comprehensive review. IEEE Access (2023).
Alassi, A., Bañales, S., Ellabban, O., Adam, G. & MacIver, C. HVDC transmission: technology review, market trends and future outlook. Renew. Sustain. Energy Rev. 112, 530–554 (2019).
Chandio, R. H. et al. Control and protection of MMC-based HVDC systems: A review. Energy Rep. 9, 1571–1588 (2023).
An, T., Liu, D., Li, F. & Zhu, L. Experience from the world’s first HVDC grid. In High Voltage DC Transmission Systems: HVDC 1–42. (Springer, 2023).
Smeets, R. P. & Belda, N. A. High-voltage direct current fault current interruption: A technology review. High. Voltage. 6 (2), 171–192 (2021).
Khalid, S. et al. Technical assessment of hybrid HVDC circuit breaker components under M-HVDC faults. Energies 14 (23), 8148, (2021).
Gowaid, I. A. & Low-Loss, A. Hybrid bypass for DC fault protection of modular multilevel converters. IEEE Trans. Power Delivery. 32 (2), 599–608. https://doi.org/10.1109/tpwrd.2016.2550579 (2017).
Wang, Z., Liu, J., Xiao, Z., Wang, C. & Li, G. Modular multilevel converter based on arm transfer to clear Dc fault. IET Generation Transmission Distribution. 13 (22), 5042–5047 (2019).
Wang, R., Li, Z., Wen, X., Liu, N. & Wang, X. A novel MMC sub-module topology with DC fault clearance capability. IEEE Access. 7, 96085–96093 (2019).
Geng, Z., Han, M., Bao, W. & Xie, W. New submodule topology based fault tolerance for modular multilevel converters. IEEE Trans. Power Delivery (2023).
Sun, Y. et al. A novel triple capacitor multi-level submodule MMC topology with fault current clearing capability. J. Energy Storage. 78, 109870 (2024).
Muniappan, M. A comprehensive review of DC fault protection methods in HVDC transmission systems. Prot. Control Mod. Power Syst. 6 (1), 1–20 (2021).
Leterme, W., Beerten, J. & Van Hertem, D. Nonunit protection of HVDC grids with inductive DC cable termination. IEEE Trans. Power Delivery. 31 (2), 820–828 (2015).
Raza, A. et al. HVdc circuit breakers: prospects and challenges. Appl. Sci. 11 (11), 5047 (2021).
Taherzadeh, E., Radmanesh, H., Javadi, S. & Gharehpetian, G. Circuit breakers in HVDC systems: state-of-the-art review and future trends. Prot. Control Mod. Power Syst. 8 (3), 1–16 (2023).
Mokhberdoran, A., Carvalho, A., Silva, N., Leite, H. & Carrapatoso, A. Application study of superconducting fault current limiters in meshed HVDC grids protected by fast protection relays. Electr. Power Syst. Res. 143, 292–302 (2017).
Yang, Q. et al. Design and application of superconducting fault current limiter in a multiterminal HVDC system. IEEE Trans. Appl. Supercond. 27 (4), 1–5 (2017).
Kovalsky, L. et al. Applications of superconducting fault current limiters in electric power transmission systems. IEEE Trans. Appl. Supercond. 15 (2), 2130–2133 (2005).
Sotelo, G. G. et al. A review of superconducting fault current limiters compared with other proven technologies. Superconductivity 3, 100018, (2022).
Heidary, A., Radmanesh, H., Rouzbehi, K. & Pou, J. A DC-reactor-based solid-state fault current limiter for HVdc applications. IEEE Trans. Power Delivery. 34 (2), 720–728 (2019).
Radmanesh, H., Fathi, S. H., Gharehpetian, G. & Heidary, A. Bridge-type solid-state fault current limiter based on AC/DC reactor. IEEE Trans. Power Delivery. 31 (1), 200–209 (2015).
Kian, A., Radmehr, M. & Koochaki, A. Reduction of the DC circuit breaker requirements by bidirectional Solid-State fault current limiter in DC grid. Electr. Power Compon. Syst. 51 (11), 1113–1124 (2023).
Safaei, A., Zolfaghari, M., Gilvanejad, M. & Gharehpetian, G. B. A survey on fault current limiters: development and technical aspects. Int. J. Electr. Power Energy Syst. 118, 105729 (2020).
Amini, M., Aliabad, A. D. & Amiri, E. Design and analysis of fault current limiter based on air core variable series reactor. IEEE Access. 9, 166129–166136 (2021).
Fazljoo, S. A., Aliabad, A. D. & Amiri, E. A novel air core electromagnetic fault current limiter with rotational motion. IET Electr. Power Appl. 17 (6), 855–866 (2023).
Prigmore, J. R., Mendoza, J. A. & Karady, G. G. Comparison of four different types of ferromagnetic materials for fault current limiter applications. IEEE Trans. Power Delivery. 28 (3), 1491–1498 (2013).
Ahmad, M., Gong, C., Nadeem, M. H., Chen, H. & Wang, Z. A hybrid circuit breaker with fault current limiter circuit in a VSC-HVDC application. Prot. Control Mod. Power Syst. 7 (4), 1–13 (2022).
Shu, H., Shao, Z. & Dai, Y. Research on the improved hybrid DC circuit breaker with voltage-limiting and current-limiting capability. Int. J. Electr. Power Energy Syst. 158, 109943 (2024).
Zhang, X., Zhuo, C., Zhang, X. & Yang, X. A novel topology of hybrid DC fault current limiter base on novel fault current limitation theory for DC line short fault in HVDC system. In IEEE 8th International Conference on Advanced Power System Automation and Protection (APAP) 673–677. (IEEE, 2019).
Queiroz, A. T. et al. Development of a hybrid fault current limiter. IEEE Trans. Appl. Superconductivity (2024).
Rafferty, J., Xu, L. & Morrow, J. Analysis of voltage source converter-based high‐voltage direct current under DC line‐to‐earth fault. IET Power Electron. 8 (3), 428–438 (2015).
Li, S., Chen, W., Yin, X., Chen, D. & Teng, Y. A novel integrated protection for VSC-HVDC transmission line based on current limiting reactor power. IEEE Trans. Power Delivery. 35 (1), 226–233 (2019).
Chen, H., Yuan, J., Xu, S., Zou, C. & Hong, Y. Research on a secondary active limiting DC fault current limiter topology. IEEE Trans. Power Electron. 37 (12), 14547–14561 (2022).
Radwan, M. & Azad, S. P. Protection of multi-terminal HVDC grids: a comprehensive review. Energies 15 (24), 9552. (2022).
Dirk Van Hertem; Oriol Gomis-Bellmunt, Jun Liang. Power System Operations with HVDC grids, in HVDC Grids: for Offshore and Supergrid of the Future 213–237 (IEEE, 2016).
Mohammadi, F. et al. HVDC circuit breakers: A comprehensive review. IEEE Trans. Power Electron. 36 (12), 13726–13739 (2021).
Pragati, A. et al. A comprehensive survey of HVDC protection system: fault analysis, methodology, issues, challenges, and future perspective. Energies 16 (11), 4413, (2023).
Yan, S., He, Z., Yang, J., Kong, M. & Hu, M. Optimized protection strategies for HVDC grid with fault-blocking modular multilevel converters for overhead line applications. J. Mod. Power Syst. Clean. Energy. 8 (6), 1168–1177 (2020).
Shetgaonkar, A., Karmokar, T., Popov, M. & Lekić, A. Enhanced real-time multiterminal HVDC power system benchmark models with performance evaluation strategies. CIGRE Sci. Eng. 32, 1–29 (2024).
Kontos, E., Tsolaridis, G., Teodorescu, R. & Bauer, P. On DC fault dynamics of MMC-based HVDC connections. IEEE Trans. Power Delivery. 33 (1), 497–507 (2017).
Tzelepis, D. et al. Impact of VSC converter topology on fault characteristics in HVDC transmission systems, presented at the 8th IET International Conference on Power Electronics, Machines and Drives (PEMD 2016), (2016).
Khalid, S., Yousaf, M. Z., Mirsaeidi, S. & Raza, A. Application of hybrid circuit breakers for future multi-terminal HVDC Grids: Limitations and possible solutions. In 3rd International Conference on New Energy and Power Engineering (ICNEPE) 844–849. (IEEE, 2023).
Van Hertem, D., Ghandhari, M., Curis, J. B., Despouys, O. & Marzin, A. Protection requirements for a multi-terminal meshed DC grid. In CigrÈ International Symposium the electric power system of the future Integrating Supergrids and Microgrids Location (2011).
Abedrabbo, M., Leterme, W. & Van Hertem, D. Systematic approach to HVDC circuit breaker sizing. IEEE Trans. Power Delivery. 35 (1), 288–300 (2019).
Jia, H. et al. Short-circuit fault current calculation method for the multi-terminal DC grid considering the DC circuit breaker. Energies 13 (6), 1347, (2020).
Abedrabbo, M., Leterme, W. & Van Hertem, D. Impact of operational parameters on HVDC circuit breaker requirements. In CIGRE-IEC 2019 Conference on EHV and UHV (AC & DC) April 23–26 (2019).
Ludin, G. A. et al. Solid-state dc circuit breakers and their comparison in modular multilevel converter based-hvdc transmission system. Electronics 10 (10), 1204, (2021).
Huo, Q. et al. Review of DC circuit breaker application. Electr. Power Syst. Res. 209, 107946 (2022).
Hafner, J. Proactive Hybrid HVDC Breakers-A key innovation for reliable HVDC grids. In Proc. CIGRE Bologna Symposium 1–8. (2011).
Bento, A. R. F., Bento, F. & Cardoso, A. J. M. A review on hybrid circuit breakers for DC applications. IEEE Open J. Ind. Electron. Soc. (2023).
Taherzadeh, E., Radmanesh, H., Javadi, S. & Gharehpetian, G. B. Development of a bidirectional HVDC circuit breaker combining a thyristor full-bridge circuit and coupled inductor. Iran. J. Sci. Technol. Trans. Electr. Eng. 48 (1), 317–324 (2024).
Zhang, S., Zou, G., Gao, F., Shi, D. & Wei, X. Thyristor-based multiport hybrid DC circuit breaker for multiterminal DC grid protection. IEEE Trans. Ind. Electron. (2024).
Callavik, M., Blomberg, A., Häfner, J. & Jacobson, B. The hybrid HVDC breaker an innovation breakthrough enabling reliable HVDC grids. ABB Grid Syst. Tech. Pap.. (2012).
Energy, H. 5STP 16F2810 Thyristor Datasheet, Data Sheet No. TS-TV/344/21. https://publisher.hitachienergy.com/preview?DocumentID=5STP16F2810&LanguageCode=en&DocumentPartId=&Action=Launch (2022).
Yousaf, M., Zain, H., Liu, A. & Raza Deep learning-based robust Dc fault protection scheme for meshed HVdc grids. CSEE J. Power Energy Syst. 9 (6), 2423–2434 (2022).
Yousaf, M. et al. A novel Dc fault protection scheme based on intelligent network for meshed Dc grids. Int. J. Electr. Power Energy Syst. 154, 109423 (2023).
Author information
Authors and Affiliations
Contributions
BK wrote the main manuscript text. BK, MZY, SK, RS prepared figures. BK, MZY, SK, MAS, JMG and RS reviewed the manuscript.
Corresponding authors
Ethics declarations
Competing interests
The authors declare no competing interests.
Additional information
Publisher’s note
Springer Nature remains neutral with regard to jurisdictional claims in published maps and institutional affiliations.
Rights and permissions
Open Access This article is licensed under a Creative Commons Attribution-NonCommercial-NoDerivatives 4.0 International License, which permits any non-commercial use, sharing, distribution and reproduction in any medium or format, as long as you give appropriate credit to the original author(s) and the source, provide a link to the Creative Commons licence, and indicate if you modified the licensed material. You do not have permission under this licence to share adapted material derived from this article or parts of it. The images or other third party material in this article are included in the article’s Creative Commons licence, unless indicated otherwise in a credit line to the material. If material is not included in the article’s Creative Commons licence and your intended use is not permitted by statutory regulation or exceeds the permitted use, you will need to obtain permission directly from the copyright holder. To view a copy of this licence, visit http://creativecommons.org/licenses/by-nc-nd/4.0/.
About this article
Cite this article
Khan, B., Yousaf, M.Z., Khalid, S. et al. Enhancing electrical and thermal stress capabilities of hybrid CBs in VSC based MT HVDC grids using thyristor based FCL topology. Sci Rep 15, 43206 (2025). https://doi.org/10.1038/s41598-025-27261-w
Received:
Accepted:
Published:
Version of record:
DOI: https://doi.org/10.1038/s41598-025-27261-w

















