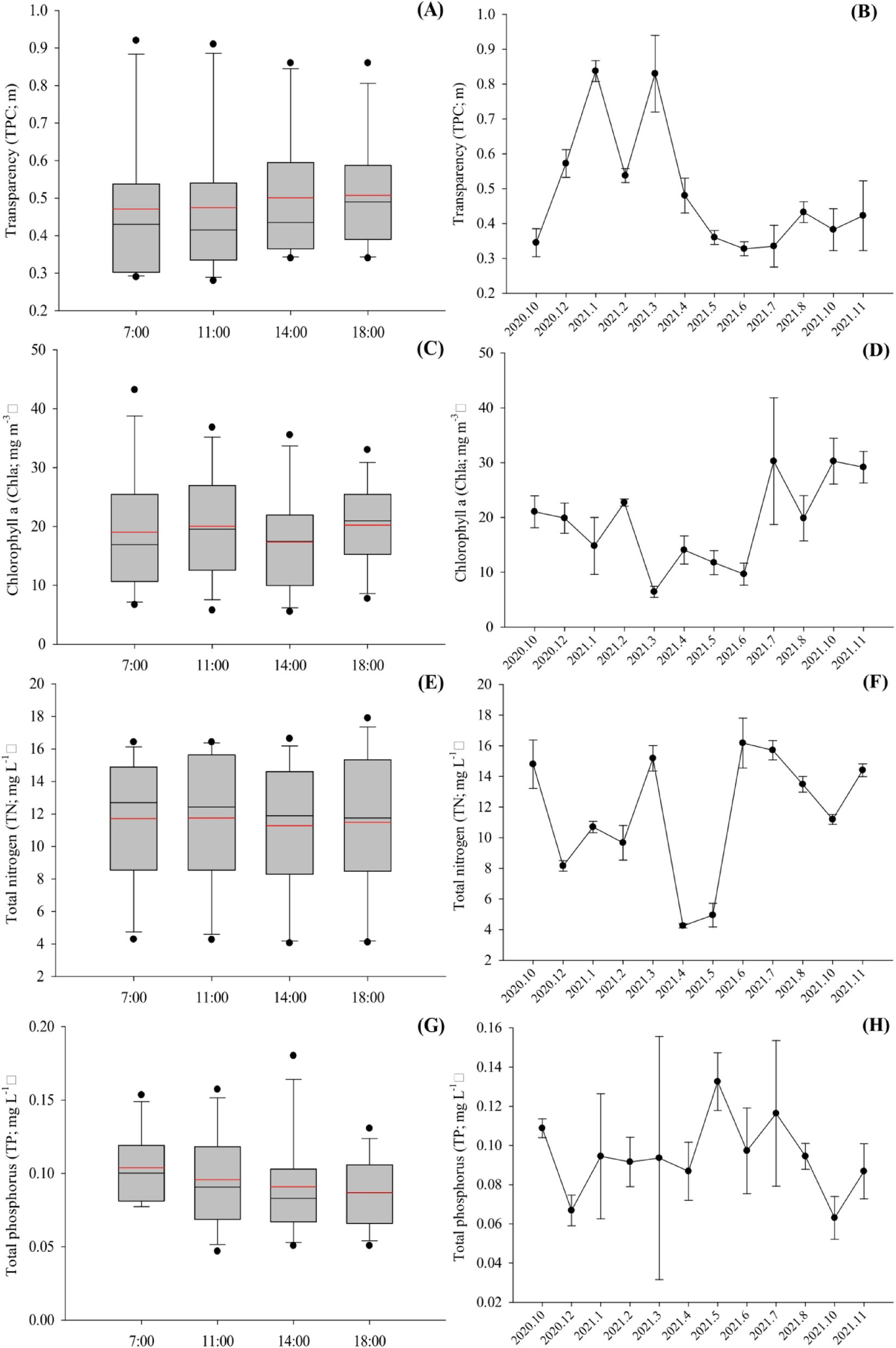
Fig. 4
From: High-frequency monitoring reveals a CO2 source-sink shift in a subtropical eutrophic urban lake


Temporal variations in water quality parameters of Bailuwan Lake: TPC (A,B), Chla (C,D), TN (E,F), TP (G,H), and CODMn (I,J). Additional details are provided in Fig. 3.