Abstract
Eutrophic urban lakes with CO2-supersaturation represent potential carbon (C) sources; however, the drivers behind the reported C-source–sink shift remain poorly understood. This study provides a systematic assessment of daytime/seasonal pCO2 and fCO2 dynamics in a subtropical moderately eutrophic urban lake (Bailuwan, China), based on over a year of high-frequency monitoring, aiming to clarify the mechanisms regulating CO2 exchange at the water–air interface in such ecosystems. Our work revealed consistent daytime declines in pCO2 (and fCO2) on 12 sampling days, though morning–afternoon differences were not significant (n = 24). Novel episodic undersaturation events were newly observed in October 2020 and March 2021, contrasting with the prevailing supersaturation. Annual mean values (n = 48) reached 1789 µatm (pCO2) and 130 mmol m−2 h−1 (fCO2). Critically, we identified a pronounced semi-annual divergence: pCO2 from January to June significantly exceeded values from July to November. Both periods maintained a net source status (> 420 µatm), lacking the typical spring-sink/summer-source transition reported in previous studies. Key regulators, such as pH, chlorophyll a, and dissolved oxygen, influence C-sink-source dynamics, with eutrophication further modulating these shifts. These original findings highlight the need for targeted strategies to reduce pollutants and enhance carbon sequestration in urban lakes.
Similar content being viewed by others
Introduction
Freshwater ecosystems, encompassing lakes, rivers, and wetlands, are pivotal in the biogeochemical dynamics of greenhouse gases (GHGs), with impacts extending from local to planetary scales1,2,3,4,5,6. In particular, inland lakes, despite their limited spatial coverage (~ 3.7% of non-glacial terrestrial surfaces)7, are key players in carbon cycling through sequestration, transport, and transformation mechanisms8,9,10. Empirical studies have consistently demonstrated that approximately 90% of global inland lakes exhibit carbon dioxide (CO2) supersaturation relative to atmospheric equilibrium11,12. Global estimates suggest that CO2 emissions from lakes range from 0.07 to 0.15 Pg C year-1, with upper estimates reaching as high as 0.57 Pg C year-113,14,15. With a spatial extent representing 6.2% of global lake coverage (25°N–54°N), lakes in China release roughly 15.98 Tg C year− 1 in the form of atmospheric CO2 emissions16,17,18. Unexpectedly, shallow lakes with extensive surface areas but depths of less than 3 m have been identified as critical hot-spots for CO2 emissions owing to their high biogeochemical activity and efficient gas exchange19,20. The consistent pattern of CO2 supersaturation in these aquatic environments, with CO2 levels exceeding the atmospheric equilibrium range of 380−420 µatm, provides clear evidence of their role as net CO2 sources to the atmosphere21,22,23,24.
From a global spatiotemporal perspective, the CO2 emitted into the atmosphere is rebalanced through biogeochemical mechanisms such as photosynthetic assimilation, sediment burial, and oceanic uptake, collectively contributing to the dynamic equilibrium of the global carbon cycle25,26. From 2007 onward, the oceans have sequestered about 56% of human-induced carbon emissions, resulting in detectable ocean acidification (pH), with the residual 44% accumulating in the atmosphere3,5,27,28. Growing empirical evidence documents the conversion of particular lake ecosystems from net carbon sources to net sinks, with some currently exhibiting transitional carbon dynamics29,30,31. Systematic monitoring data presented by Xiao et al.32 showed a significant downward trend in CO2 outgassing rates from Chinese lakes between the 1980s and 2000s, pointing to their gradual transformation from C-releasing to C-sequestering ecosystems. This transformation may be attributed to synergistic interactions among biogeochemical processes (e.g., enhanced C-sequestration and organic matter burial), shifting environmental conditions (e.g., nutrient loading and hydrological regimes), and targeted anthropogenic interventions (e.g., ecological restoration and eutrophication control)25,33,34,35,36. Consequently, systematic documentation of C-source-sink dynamics and their regulatory controls in lacustrine ecosystems is imperative to refine predictive models of C-exchange and quantify their contributions to regional C-budgets under evolving climatic and anthropogenic pressures.
Watershed urbanization generates synergistic perturbations to aquatic ecosystem processes, wherein combined effects of anthropogenic nutrient loading and riparian habitat fragmentation lead to fundamental alterations in carbon transformation pathways and greenhouse gas exchange in urban water systems37,38. Urban lakes, as highly sensitive freshwater ecosystems, are particularly susceptible to algal blooms, resulting in eutrophication35,39,40,41. In this study, an urban lake is defined as a lentic water body situated entirely within a metropolitan area, whose hydrological processes, water quality, and ecological functions are primarily governed by anthropogenic activities15,41,56,89. Key characteristics include: (i) heavily modified hydrology through water level control and engineered shorelines; (ii) significant nutrient inputs from urban runoff and wastewater; (iii) altered ecological communities due to habitat modification and recreational use; and (iv) serving dual roles in both receiving urban discharges and providing ecosystem services such as flood mitigation and recreation25,26,42. Comparative studies reveal dramatic differences in carbon emissions between two Indian lakes: the hypereutrophic Belandur Lake exhibits exceptionally high CO2 efflux rates (5711 ± 844 Tg C year− 1), while Jakkur Lake, currently under ecological rehabilitation, demonstrates substantially lower emissions (24 ± 10 Tg C year− 1)42. While empirical evidence suggests that eutrophication could exert a modest positive influence on CO2 sequestration in non-urban lakes29,36, its role and mechanistic pathways in urban lakes remain inadequately elucidated. Consequently, to advance our comprehension of the underlying mechanisms regulating CO2 exchange in urban lakes, particularly shallow lakes, it is imperative to conduct more extensive field measurements and systematic analyses.
Inland water CO2 fluxes (fCO2) are predominantly controlled by the interplay between aqueous CO2 partial pressure (pCO2) and the rate of gas transfer (kCO2) across the water-air boundary in freshwater ecosystems17,43,44. The pCO2 parameter, recognized as a pivotal determinant in deciphering carbon cycle variability across urban water bodies at multiple spatial scales11,45, demonstrates multifactorial regulation through: (i) environmental drivers (e.g., solar irradiance)4,9,10, (ii) biogeochemical processes (particularly aquatic metabolism involving photosynthesis-respiration/P-R coupling)46, (iii) hydrological dynamics (including thermal stratification and mixing regimes)47,48,49, and (iv) allochthonous carbon inputs from catchment areas50,51,52,53. Correspondingly, kCO2 variability exhibits primary dependence on wind shear stress and thermal conditions54. Distinct from the relative homogeneity of atmospheric pCO2, lacustrine pCO2 manifests pronounced spatiotemporal heterogeneity across daytime, monthly, and seasonal scales, with system-specific characteristics strongly influenced by morphometric parameters and trophic status4,5,6,55,56. Empirical evidence from Lake Ulansuhai, a shallow urban waterbody, reveals eutrophication-induced functional shifts from CO2 source to sink conditions57. Moreover, rapid urban expansion around lacustrine environments introduces substantial complexity to carbon cycling processes, with notable impacts on CO2 emission patterns5,58,59. Despite these insights, critical knowledge gaps persist regarding high temporal resolution characterization of pCO2 dynamics in urban shallow lakes, necessitating systematic investigations into urbanization-CO2 emission synergies through integrated observational and modeling approaches.
Building upon the aforementioned backgrounds, this work aims to address a central scientific question: how and to what extent do eutrophic urban lakes modulate the dynamics of CO2 exchange across the water–air interface under high-frequency monitoring? To resolve the gap, we implemented a comprehensive study assessing daytime CO2 patterns in a shallow, subtropical urban lake with elevated nutrient levels in southwest China. This work pursues three principal aims: (i) performing monthly diurnal monitoring of pCO2/fCO2 and associated physicochemical variables between October 2020 and November 2021; (ii) identifying key hydrological and environmental controls on aquatic carbon cycling; and (iii) evaluating the premise that subtropical eutrophic lakes demonstrate alternating C-source-sink behavior under high-frequency investigation. The findings of this work are expected to provide novel insights into the mechanisms governing CO2 exchange in lacustrine systems and to refine the quantification of CO2 emissions from urban lakes, thereby reducing uncertainties in regional/global C-budget assessments.
Results
Variations in pCO2
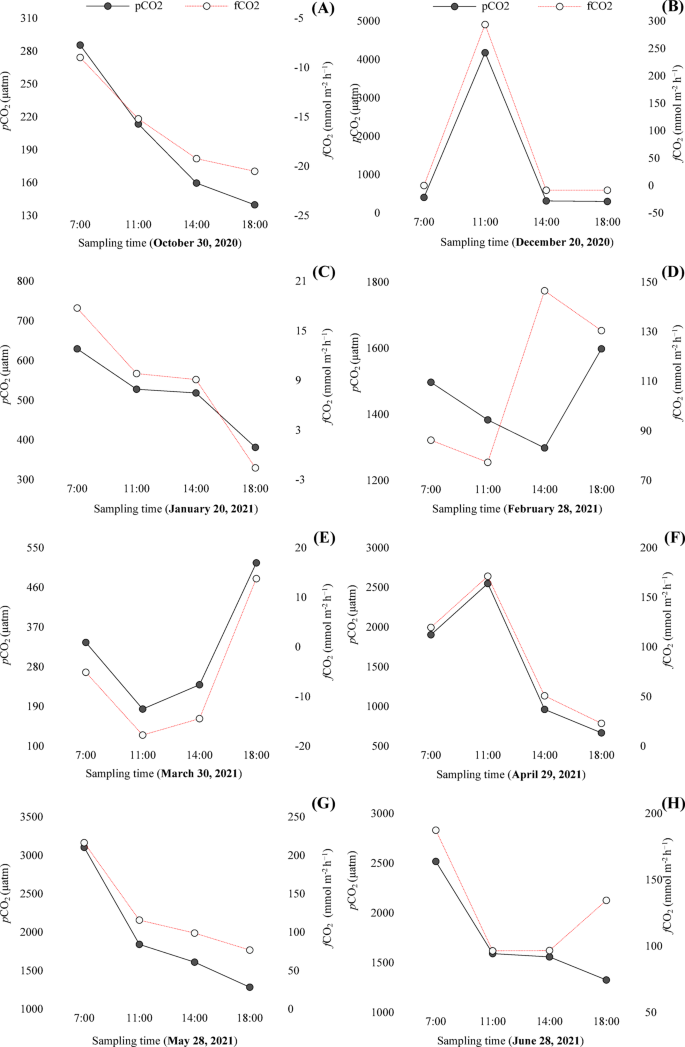
Throughout our investigation period (07:00–18:00 CST), sustained/significant (p > .05) daytime pCO2 decreases were observed during nine sampling days, with the exception of three dates (February 28, March 30, and November 22, 2021) that exhibited gradual increasing trends (n = 1; Fig. 1A–L). Considering individual field investigation days, the declining pattern remained predominant across most sampling occasions, except those illustrated in Fig. 1D, E, I, J, L. The composite analysis of four temporal sampling points revealed a statistically remarkedly (p < 0.05) reduction in mean pCO2 levels (n = 12) between 11:00 and 18:00 CST (Fig. 2M; Table 1). Relative to the 07:00 CST reference (2043.91 ± 2033.26 µatm), pCO2 exhibited pronounced (p < 0.05) daytime fluctuations as 42.63% at 11:00 CST, followed by successive reductions of 49.18% (14:00 CST) and 43.42% (18:00 CST). Interestingly, non-significant (p > 0.05) diurnal variation was detected between morning (07:00–11:00 CST; 2479.56 ± 3971.80 µatm) and afternoon periods (14:00–18:00 CST; 1097.66 ± 803.29 µatm) when analyzing the combined dataset (n = 24; Fig. 2A).
Hourly variations of pCO2 (solid line) and fCO2 (dashed line) in the studied lake. Hollow circles denote individual measurements (n = 1; Fig. 2A–L) and mean values (n = 12; Fig. 2M–N). Field measurements originally scheduled for July 2021 were conducted on August 2 due to meteorological constraints.
Diurnal comparison of mean pCO2 (A), fCO2 (B), Twater (C), pH (D), Chla (E) and DO (F) between morning (07:00–11:00 CST) and afternoon (14:00–18:00 CST) periods (n = 24). Distinct lowercase letters denote statistically significant differences (p < 0.05) between temporal periods. The vertical line on the bars represents the mean ± standard deviations (SDs).
Monthly analysis revealed unexpected temporal patterns, with peak pCO2 concentrations (n = 4; 8148.02 ± 1882.12 µatm) occurring in October 2021, contrasting sharply with the minimum values recorded in October 2020 (198.14 ± 65.20 µatm). Throughout the annual cycle (January–November 2021), mean pCO2 levels during the first half of the year (January-June; n = 28; 1239.34 ± 781.00 µatm) generally lowered (p > 0.05) those of the latter half (July-November; n = 16; 3143.15 ± 4673.69 µatm). However, January and March exhibited the lower mean concentrations (510.20 ± 101.94 µatm and 314.92 ± 145.48 µatm, respectively; Fig. 3A). The overall daytime mean pCO2 across all measurements was 1788.61 ± 2919.44 µatm (n = 48).
Monthly variations of pCO2 (A) and fCO2 (B) at the water–air interface in Bailuwan Lake. Upper panel displays median (black line) and mean (red line, n = 4), with whiskers spanning the range between [Q1 − 1.5×IQR] (lower bound) and [Q3 + 1.5×IQR] (upper bound). Q1: first quartile; Q3: third quartile; IQR: interquartile range (Q3 − Q1). Oct.0 and Dec.0 denote October and December 2020 sampling campaigns, respectively; remaining data were obtained in 2021. The vertical line on the bars represents the mean ± standard deviations (SDs).
Alterations in fCO2
Similar to the pCO2 patterns, the daytime mean fCO2 concentrations (n = 12) exhibited a characteristic pattern of initial increase significantly (p < 0.05) followed by subsequent decrease. Specifically, compared to the baseline measurement at 07:00 CST (139.16 ± 175.86 mmol m− 2 h− 1), fCO2 concentrations showed a 76.13% increase by 11:00 CST, followed by significant reductions of 55.93% and 45.78% at 14:00 and 18:00 CST, respectively. Analysis of individual sampling day (n = 1) revealed consistent and statistically significant (p < 0.05) daytime fCO2 decreases across nine sampling dates, with the exception of February 28, March 30, and November 22, 2020 (Fig. 1A–L). Further, comparative analysis between morning (07:00–11:00 CST; 192.14 ± 418.09 mmol m− 2 h− 1) and afternoon periods (14:00–18:00 CST; 68.39 ± 76.65 mmol m− 2 h− 1) demonstrated non-significant (p > 0.05) diurnal variation in mean fCO2 concentrations (n = 24; Fig. 2B).
Monthly analysis revealed distinct temporal patterns, with negative daytime mean fCO2 values (n = 4) recorded in October 2020 and March 2021, contrasting sharply with the peak concentration observed in October 2021 (n = 4; 775.16 ± 873.01 mmol m− 2 h− 1; Fig. 3B). Remarkably, the calculated mean fCO2 concentration was 130.26 ± 303.85 mmol m− 2 h− 1 (n = 48) across the entire study period.
Classification of trophic state
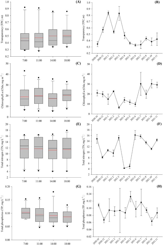
The Carlson’s trophic state index (TSI) was quantitatively assessed through the established methodology in Method S1, incorporating key limnological parameters including total phosphorus (TP), total nitrogen (TN), water transparency (TPC), chlorophyll a (Chla), and chemical oxygen demand (CODMn) as detailed in Table S1 and Fig. 4. The comprehensive TSI(∑) analysis yielded a mean value of 63.04 (Table 2), categorizing the lake within the moderately-eutrophic classification according to the standard limnological criteria. Temporal analysis of TSI(∑) dynamics revealed sustained values exceeding the eutrophication threshold of 60 across the majority of sampling intervals. However, notable deviations (p < 0.05) were observed during the spring sampling campaigns of March and April 2021, during which TSI(∑) values fell below this critical benchmark, as documented in Table S2.
Temporal variations in water quality parameters of Bailuwan Lake: TPC (A,B), Chla (C,D), TN (E,F), TP (G,H), and CODMn (I,J). Additional details are provided in Fig. 3.
Environmental parameters
Regarding diurnal variations, water quality parameters including aqueous temperature (Twater), TPC, dissolved oxygen (DO), chloride ion (Cl⁻), nitrate ion (NO3⁻), and sulfate ion (SO42⁻) exhibited a progressive increase from 07:00 to 18:00 CST (Figs. 4, 5 and 6). Surprisingly, DO concentrations demonstrated a pronounced surge of 57.33% over this period, escalating from baseline levels at 07:00 CST to maximum values observed at 18:00 CST. This trend was corroborated by comparative analyses, which revealed significantly (p < 0.05) elevated afternoon DO levels relative to morning measurements (Fig. 2F). Conversely, non-statistically significant (p > 0.05) diurnal variations were detected in Twater, pH, or Chla concentrations between morning and afternoon sampling intervals (Figs. 2C–E; p > 0.05).
Temporal variations in physicochemical parameters of Bailuwan Lake: Twater (A,B), pH (C,D), FNU (E,F), EC (G,H), DO (I,J), and TOC (K,L). Left panels (A,C,E,G,I,K): red lines indicate mean values per sampling time (n = 12); and right panels (B,D,F,H,J,L): black dots denote monthly means (n = 4) with whiskers representing mean ± SDs. Additional details are provided in Fig. 3.
Temporal variations in anionic species of Bailuwan Lake: F− (A,B), Cl− (C,D), NO3− (E,F) and SO42− (G,H). Additional details are provided in Fig. 3.
Monthly monitoring revealed a shared temporal trajectory among water quality indicators including TPC, turbidity (FNU), electrical conductivity (EC), anion concentrations (F−, Cl−, and SO42−), and metal levels (potassium/K, sodium/Na, chromium/Cr) all followed an initial ascending phase followed by measurable decreases. Conversely, Chla and TN demonstrated an initial decrease followed by an increase. The parameters pH and NO3− showed a gradual decline, while magnesium/Mg displayed a consistent upward trend (Figs. 4, 5, 6 and 7). Additionally, our analysis of monthly variations in CO32− and HCO3− levels revealed distinct patterns. The CO32− generally exhibited an initial decrease followed by an increase, with a notable surge observed in March 2021. In contrast, the HCO3− reached the lowest value in July 2021 (Fig. S1).
Monthly changes in aquatic metals of Bailuwan Lake: K (A), Na (B), Mg (C), Cu (D), Zn (E), Fe (F), Mn (G), and Cr (H). Additional details are provided in Fig. 3.
Statistical analysis demonstrated strong inverse relationships of pCO2 with pH and DO (p < 0.01, Table 3), contrasted by a direct positive association with Chla (p < 0.05, Table 4). These correlations facilitated the development of predictive linear models linking pCO2 to the key parameters (pH, DO, Chla, solar radiation/SR, Twater, and CODMn), as visualized in Figure S2.
Discussion
Notable shiftting patterns of C-sink-source in the investigated lake
According to recent data released by the United Nations, the global urbanization rate has increased from 30% in 1950 to 56% in 2020, and is projected to reach 68% by 205060,61. In China, more than 60% of the permanent population had achieved urbanization by the end of 201922,38. Previous studies have demonstrated that urban lacustrine systems receive substantial inputs of exogenous labile organic carbon derived from diverse anthropogenic activities, which significantly enhances heterotrophic metabolism in these urbanized aquatic ecosystems, consequently resulting in elevated CO2 emissions. These mechanistic insights explain why metropolitan water bodies have been consistently documented42,62,63,64 as focal points for carbon release within anthropogenic landscapes. Consequently, investigating the mechanisms by which urban lakes respond to urbanization is of significant importance for predicting urban greenhouse gas emissions, particularly CO2.
Across all multi-year sampling days, the pCO2 in the morning hours (07:00–11:00 CST; 2480 ± 3972 µatm; n = 22) was numerically higher than that in the afternoon periods (14:00–18:00 CST; 1098 ± 803 µatm; n = 22; Figs. 1 and 2), but the difference was not statistically significant (p > 0.05). Conversely, afternoon DO concentrations demonstrated a significant elevation compared to morning values (p < 0.05; Fig. 3F), whereas Chla levels remained stable without observable daytime fluctuations (p > 0.05; Figs. 3 and 4). These patterns align with prior work in local eutrophic lakes4,5,6. Increased solar radiation after 07:00 CST spurs photosynthesis (P); later, declining light toward 18:00 CST shifts the balance toward respiration (R). The resultant drop in dissolved oxygen is documented in Table 1 and Fig. S3. Noteworthy, temperature-driven pCO2 fluctuations demonstrated no direct significance65 (Fig. 2C). Parallel observations by Potter and Xu in a subtropical North American lake revealed pronounced diurnal pCO2 dynamics, with predawn peaks and evening troughs58. Intriguingly, nocturnal CO2 efflux rates nearly tripled daytime values, underscoring distinct day-night emission patterns. In our dataset, anomalous pCO2 behavior was observed on February 28, March 30, and November 22, 2021, where morning pCO2 (07:00–11:00 CST) slightly decreased compared to afternoon levels (Fig. 1). Measurements from February 28 and November 21 consistently demonstrated pCO2 supersaturation, with all recorded values surpassing the characteristic atmospheric CO2 range (380–420 µatm)66,67. In contrast, significantly lower pCO2 levels were recorded on March 30, 2021 (198 ± 65 µatm) and October 30, 2020 (315 ± 145 µatm; n = 4; Fig. 1), reflecting dynamic C-sink-source transitions. The underlying mechanism may be attributed to extreme precipitation events acting as a trigger. On one hand, rainfall directly reduced pCO2 through the dilution effect. On the other hand, it introduced allochthonous nutrients and enhanced water column mixing, thereby stimulating intense algal blooms. The resulting high level of photosynthetic activity served as the key biological driver leading to significantly decreased pCO2. Furthermore, as an urban wetland, its hydrology is likely influenced by anthropogenic regulation. The supplemental inflow of low-CO2 external water (e.g., reclaimed water) during this period may have further reinforced and amplified the decline in pCO26,15,68.
In our study, the overall diurnal mean pCO2 level in the investigated lake (n = 48; 1789 ± 2919 µatm) was significantly higher than typical equilibrium CO2 thresholds (p < 0.05) but markedly lower than global lacustrine average pCO2 of 3230 µatm69. This finding indicates net CO2 supersaturation within the lake during our study, where in-lake CO2 production exceeded consumption, driving a net efflux of CO2 to the atmosphere and thus classifying the lake as a C-source31,44,70,71. These results align with prior investigations of eutrophic urban lakes, including Beihu Lake (~ 960 µatm)6 in the same metropolitan region, as well as Capitol Lake (~ 736 µatm)9 and University Lake (~ 630 µatm)48 in Louisiana, USA. However, the observed pCO2 levels were significantly elevated compared to our earlier findings in the same lake from January to September 2020 (~ 707 µatm)4. Importantly, pCO2 in October 2021 reached an exceptionally high value of 8148 ± 1882 µatm (n = 4; Fig. 3A), a period not captured in our prior study in 20204. However, a prior two-year comparative study of CO2 fluxes across different habitats in Lake Võrtsjärv also revealed pronounced spatial, seasonal, and interannual variability72. This anomaly underscores the potential for pronounced seasonal variability in water-air interface pCO2 dynamics, likely influenced by temporal environmental drivers48,55,59.
Previous work by Wang et al., investigating 43 eutrophic lakes across China’s climatic zones56, revealed pronounced seasonal variability in pCO2 across all studied systems, with lower mean values in summer and autumn, a pattern consistent with most lacustrine studies11,12. This seasonality likely stems from synergistic effects of increased phytoplankton and submerged macrophyte biomass, coupled with thermal stratification, pH dynamics, solar radiation, and anthropogenic activities4,9,73,74. Specifically, pCO2 fluctuations in aquatic systems are governed by the balance between biological production (P; positive correlation with Chla in Table 4) and respiration (R; negative correlation with DO in Table 3)21,75. Thus, we reason that increased primary productivity during warm seasons could facilitate the transition of eutrophic lakes from net CO2 sources to sinks, whereas microbial and/or photochemical mineralization of organic carbon (e.g., TOC in Fig. 5) during cooler seasons may surpass photosynthetic CO2 uptake (also known as the biological C-pump-effect)76, thereby driving seasonal source-sink shifts6,77. Specifically, intense photosynthesis during warm seasons significantly consumes dissolved CO2, lowering pCO2 below atmospheric equilibrium and leading to CO2 influx; the lake functions as net autotrophic (i.e., an atmospheric C-sink) when gross primary production (GPP) exceeds the carbon released through ecosystem respiration. Moreovoer, our year-round monitoring (January–November 2021; Fig. 3A) showed lower mean pCO2 in the first half-year (1239 ± 781 µatm, January–June) compared to the latter period (3143 ± 4674 µatm, July–November), though both phases exceeded atmospheric equilibrium, confirming persistent CO2 supersaturation. Intriguingly, episodic CO2 undersaturation occurred in October 2020 (winter for 198 ± 65 µatm) and March 2021 (spring for 315 ± 145 µatm), temporarily converting the system to a net sink (Fig. 3). Collectively, these findings highlight diurnal/seasonal source-sink transitions in subtropical urban eutrophic lakes, modulated by dynamic biogeochemical drivers.
Drivers of CO2 uptake and release in response to environmental conditions
Further correlation analyses revealed statistically significant negative relationships (p < 0.05) between pCO2/fCO2 and both pH (− 0.727**/−0.681**) and DO (− 0.311*), alongside significant positive correlations with Chla (0.295* and 0.287*, respectively; Tables 3 and 4, and Figs. 5, S2). These findings underscore that CO2 uptake/emission dynamics in urban lakes are governed by multifaceted controls from aquatic environmental factors. In this moderately eutrophic autotrophic lake system, we posit that biological drivers, particularly Chla (as P) and DO (as R), play pivotal roles in modulating CO2 fluxes78. The enrichment of nutrients intensifies the coupling between CO2 fluxes and biogeochemical cycling, as demonstrated by strong correlations with both biological indicators (e.g., Chla) and chemical factors (e.g., TP, TN and pH; Table 2, and Fig. 4), rendering the carbon dynamics more responsive to environmental changes15,18. Specifically, enhanced organic matter mineralization increases the bioavailability of TP, thereby stimulating CO2 emissions14,49,79. The mechanistic linkage aligns with the observed inverse correlation between DO and pCO2 in our study.
Prior studies have demonstrated that pH regulates the physicochemical environment of lakes by mediating the dynamic equilibrium and spatial distribution of carbonate species (CO2, CO32−, and HCO3−), thereby influencing CO2 fluxes (quantified as pCO2 and fCO2) at the water-air interface4,80,81. This chemical control is particularly pronounced in lakes with elevated pH (> 8), where aqueous CO2 concentrations exhibit marked sensitivity to alkaline conditions12. Mechanistically, higher pH promotes the conversion of free aqueous CO2 into carbonate ions, reducing pCO2 and creating undersaturation that enhances atmospheric CO2 absorption. Conversely, lower pH destabilizes dissolved inorganic carbon species, driving CO2 efflux to the atmosphere82. In our study, pH values ranged from 6.5 to 9.0, displaying distinct seasonal variability: maximal fluctuations occurred in autumn-winter (August–March), while minimal variability was observed in spring-summer (April–July; Fig. 5D). This pattern may reflect temperature-mediated modulation of hydrogen ion activity83, which is related to pH, even in the absence of statistical significance (R = − 0.095 for Twater/pH in Table 3), a finding consistent with our earlier observations4. Notably, CO2 flux exhibits strong pH dependence across diverse lacustrine systems. For instance, global analyses of 196 saline lakes revealed that lakes with pH ≥ 9 typically function as weak CO2 sinks84, while a 14-year study of six hardwater lakes in Canada’s Northern Great Plains identified a critical pH threshold of 8.6 for source-to-sink transitions85. In our dataset, seasonal shifts between C-source-sink suggest the existence of a comparable pH threshold governing flux reversals, though its precise value requires further investigation.
Chla, a principal photosynthetic pigment in algae and phytoplankton, serves as a critical proxy for freshwater lake productivity79. Empirical studies have demonstrated that correlations between Chla concentrations and greenhouse gas emissions reflect the metabolic equilibrium of lacustrine ecosystems15,86,87, particularly in urban lakes influenced by industrial and domestic wastewater discharges88. In our investigation of a moderately eutrophic lake during non-bloom conditions, significant positive correlations were observed between Chla and both pCO2 (R = 0.295*) and fCO2 (R = 0.287*; Table 4), aligning with our previous findings from Beihu Lake in the same urban system6. However, earlier studies on the lake failed to detect statistically significant associations (pCO2/Chla with R = 0.202; fCO2/Chla with R = 0.213)6. Such inconsistent patterns have been documented in other lacustrine systems. Interestingly, Xu and Xu reported substantial spatiotemporal variability in Chla concentrations in University Lake89, a small urban waterbody in the southern United States, yet subsequent CO2 investigations at the same site revealed no significant Chla-CO2 relationships48. Recent analyses of 33 small artificial lakes by Wang et al.64 further demonstrate this complexity: spring algal blooms in over half of these systems resulted in annual mean Chla concentrations exceeding 10 µg L−1, coinciding with enhanced CO2 sequestration. These paradoxical findings likely stem from multiple interacting mechanisms, including vertical and lateral chemical transport dynamics in open aquatic systems, phytoplankton community composition and density variations, and methodological challenges in modeling Chla-CO2 interactions6,86. Among those, solar radiation exerts a critical regulatory influence on Chla concentrations in urban lacustrine systems through its modulation of phytoplankton photosynthetic activity89,90. Diurnally, photosynthetic efficiency follows a parabolic trajectory: morning radiation intensification stimulates photosynthetic activation, reaching maximum capacity at solar noon before subsequent photoinhibition reduces both photosynthetic performance and Chla levels through late afternoon (ref., Fig. 2E)91,92. Seasonally, spring radiation intensification creates optimal photothermal conditions for phytoplankton proliferation, enhancing lacustrine carbon sequestration potential. Conversely, summer hyper-radiation events coupled with elevated water temperatures may induce thermal stress responses, potentially triggering CO2 re-release mechanisms that could transition these aquatic systems from C-sink to -source58,93.
DO, serving as a critical indicator of aquatic metabolic activity, is regulated by multiple environmental drivers including water temperature, organic matter, biological photosynthesis and water dynamics. Its dynamic equilibrium reflects compensatory atmospheric exchange and respiratory consumption processes91,94,95. In moderately eutrophic lakes (Chla < 30 µg L−1), algal growth exhibits relative moderation compared to hyper-eutrophic systems, where biogeochemical processes (particularly N–P interactions involving NO3− and NH4⁺) dominate over Chla in regulating fCO2 dynamics15,96. This regulatory dominance is particularly pronounced in urban lacustrine systems along anthropogenic disturbance gradients, where significant linear correlations between nutrient concentrations and fCO2 variations have been documented12,97. Empirical evidence from Taihu Lake demonstrates that anthropogenic nutrient loading elevates CO2 emissions through enhanced aquatic respiration40. While theoretical models suggest nutrient enrichment could reduce CO2 emissions via boosted primary production, most field observations indicate that N and P inputs predominantly amplify CO2 release through stimulation of heterotrophic respiration in both water column and sediments17,35,42,98. Our findings reveal a significant negative correlation between DO and pCO2 (p < 0.05; Table 3), indicating that, in addition to biological factors (where elevated productivity reduces CO2 efflux, leading to higher pH, increased oxygen, and lower pCO2), anthropogenically mediated heterotrophic respiration may also serve as a driver of dissolved CO2 supersaturation68,99. Further, Zhang et al. propose that DO (or apparent oxygen utilization, AOU) may serve as a more direct predictor of CO2 variability than Chla in moderately eutrophic lakes during non-bloom periods, demonstrating greater independent explanatory power for fCO2 fluctuations at the water-air interface15.
Moreover, in shallow lakes where hydrodynamics are the dominant force, the movement and mixing of water constitute the core physical mechanism regulating the oxygen (O2) budget6. The continuous inflow of riverine water imparts kinetic energy, and the resulting turbulence significantly enhances gas exchange efficiency at the water-air interface, thereby promoting O2 input9. Concurrently, such hydraulic disturbance effectively disrupts thermal stratification, leading the lake toward a fully mixed state50. This process transports O2-rich surface waters to the lake bottom, preventing the formation of hypoxic conditions in the benthic zone. Further, hydrodynamics govern a relatively short hydraulic retention time, which not only exports partially decomposed organic matter18,27, reducing the internal O2 demand, but also continually replenishes nutrients to support moderate levels of photosynthetic O2 production. Therefore, through these three synergistic mechanisms, enhancing reaeration, optimizing vertical distribution, and reducing net consumption, intense hydrodynamic processes positively maintain the high-O2 equilibrium in shallow lakes.
Uncertainties in CO2 evasion from subtropical lake systems and future work
Our synthesis demonstrates that CO2 exchange rates in anthropogenically-impacted subtropical lakes vary considerably (− 15 to 130 mmol m−2 h−1; Table 5), reflecting strong geographic and temporal dependencies in emission patterns. The mean fCO2 in our study markedly exceeded values reported for urban-dominated lakes in other regions, even surpassing previous findings by Yang et al.4 for the same lake system (29 ± 67 mmol m−2 h−1). However, our results align with the previous observations in Qinglonghu Lake (a moderately eutrophic urban lake in the same region; 108 ± 101 mmol m⁻2 h−1)10, likely attributable to intensified anthropogenic pollution inputs and aggravated eutrophication in our study lakes during the monitoring period. Notably, fCO2 values from the highly urbanized tropical Rio Grande Reservoir in South America95, i.e., 5.14 and 3.18 mmol m−2 h−1 for hypereutrophic and moderately eutrophic zones, respectively, were substantially lower than our measurements for the moderately eutrophic in this lake. These discrepancies may reflect not only differences in eutrophication status and nutrient levels but also hydrological seasonality, as exemplified by the previous work on subtropical University Lake in Louisiana, USA48. While local anthropogenic forces are often the dominant driver of CO2 dynamics in human-modified lakes, we hypothesize that a portion of the residual uncertainties in regional-scale CO2 emission estimates for subtropical lakes is associated with patterns of regional climate change15,31. Specifically, monsoon-driven climatic patterns characterized by high temperatures and/or heavy rainfall amplify interannual fluctuations in hydrological conditions (e.g., rainfall-evaporation balance), thereby modulating the dissolution-release equilibrium of CO2.
Previously, Zhang et al.15 demonstrated that most lakes across diverse geographical regions including Taihu Lake, Lake Guadalcacín, Lake Bornos, Lake Alexandrina, and urban artificial ponds function as atmospheric CO2 sources, with annual mean fCO2 increasing alongside Chla concentrations (Table 5). These comparative findings further emphasize the variability of CO2 dynamics across interannual, seasonal, and hour scales6,58,100. For instance, seasonal analyses revealed a C-source-sink alternation pattern in subtropical urban lakes, where winter and spring (periods of low algal biomass) exhibit CO2 production and release, while elevated summer primary productivity facilitates a transition to CO2 sinks18. Contrary to this typical seasonal pattern, our study observed no strict as the summer-sink and winter/spring-source dynamic. Despite two months of pCO2 levels significantly below atmospheric equilibrium (Fig. 3), the annual mean pCO2 (1789 µatm) remained markedly supersaturated, indicating persistent CO2 emissions. Further, discrepancies emerged when comparing our with the previous findings of Yang et al.4 for the same lake system (707 µatm), suggesting that such divergence in seasonal patterns contributes to uncertainties in urban lake CO2 emission assessments. Similarly, Potter and Xu58 highlighted that while summer predominantly manifests as a C-source and winter as a sink, spring sampling may prove valuable for assessing CO2 evasion dynamics in shallow trophic lakes. As a hypothesis, early-spring likely represents a critical transitional window, our future studies accordingly will prioritize through systematic monitoring of this period.
Prior studies has established that while long-term pCO2 variations (days to months) significantly influence evasion rate estimates, gas transfer velocity (k600) emerges as a critical regulator of diurnal CO2 evasion at shorter timescales (minutes to hours)100,101. Building on this understanding, both previous studies and our work observed distinct diurnal water-air CO2 gradients from dawn to dusk, yet collectively underestimated pCO2 owing to insufficient consideration of nocturnal dynamics. Through 24-h monitoring of subtropical urban lakes, previous study revealed pronounced diurnal fluctuations in pCO2 and CO2 degassing, particularly marked by nocturnal pCO2 surges58. Their findings identified 10:00 and 22:00 CST as periods of minimal deviation from daily mean pCO2, recommending optimized sampling between 09:00–11:00 CST to balance accuracy and operational feasibility. Our study validated the efficacy of sensor-based continuous monitoring in lacustrine systems. Similarly, Wang et al.55 demonstrated that daytime CO2 fluxes in Tangxun Lake (ca. 8 mmol m−2 day−1) were remarkedly lower than nocturnal fluxes (ca. 10 mmol m−2 day−1), with 11:00–12:00 measurements best approximating daily means. It could therefore be inferred that during nighttime hours, when photosynthetic activity is minimal, enhanced CO2 evasion is likely to occur. Nevertheless, only a limited number of studies have focused on nocturnal CO₂ release dynamics. For instance, analysis of long-term limnological data (1987–2006) from Lake Apopka, Florida, by Gu et al.102 revealed consistently higher average partial pressure of CO2 (224 µatm) at nighttime compared to daytime levels. Similarly, Reis and Barbosa103 reported significantly elevated mean nocturnal pCO2 (565 µatm) relative to daytime values (436 µatm) in a tropical productive lake in southeastern Brazil. More recently, Reiman and Xu104 further corroborated a consistent daytime pattern of pCO2 in the Lower Mississippi River, characterized by a peak prior to sunset and a minimum during periods of maximum solar irradiance. These collective findings underscore the critical role of temporal resolution in evasion rate quantification.
Methodologically constrained by funding limitations, manpower shortages, and site accessibility challenges, our study lacked nocturnal monitoring and employed a limited sample size. While these findings provide preliminary insights into CO2 dynamics at water-air interfaces, representing an initial exploratory step. For example, there are still the following urgent challenges that need to be addressed in our current work:
-
(i)
This study conducted high-frequency monitoring at a representative site located 2 m from the lake’s shoreline. This location was selected for its capacity to reflect the dominant air-water exchange processes in the lake’s open waters while avoiding known, strong point-source disturbances. Although spatial variability of CO2 concentrations in the well-mixed central basin of this moderately sized urban lake is likely limited in the absence of major perturbations, we acknowledge that a single sampling point cannot fully capture the potential spatial heterogeneity of the entire lake. Further, its proximity to the shore may not adequately represent biogeochemical processes in the pelagic zone. For instance, nearshore areas susceptible to groundwater inflow or sediment resuspension may develop localized pCO2 hotspots, which were not directly monitored in this study design. Additionally, the presence of submerged aquatic vegetation in the sediments at the sampling site can influence dissolved CO2 concentrations and their diel fluctuations. The spatial heterogeneity of aquatic vegetation introduces uncertainty when extrapolating discrete point measurements to whole-ecosystem fCO2. While the current sampling strategy adheres to standard protocols, it may not fully represent the metabolic diversity across different habitats. In essence, the net CO2 flux in vegetated areas represents a dynamic balance between photosynthetic uptake and respiration, which varies nonlinearly with environmental conditions. Moreover, the inhibitory effect of vegetation canopies on the gas transfer velocity (k) is often overlooked in flux calculations, potentially leading to systematic overestimation in these areas. Consequently, the CO2 values reported herein should be interpreted as the best available estimate of the dominant fluxes in the lake’s nearshore zone, rather than an absolute and precise whole-lake average. Future investigation should aim to better quantify this spatial variability and its impact on the integrated lake carbon flux budget by deploying more extensive sensor networks and integrating high-resolution pCO2 mapping with habitat-specific parameterization of k.
-
(ii)
As noted previously, safety and technical constraints prevented our high-frequency monitoring from covering the nocturnal period. This may introduce uncertainty in our estimates of diel CO2 fluxes, particularly in quantifying nighttime CO2 emissions dominated by ecosystem respiration, potentially leading to an underestimation of total daily CO2 emissions. To assess this uncertainty and provide reasonable flux estimates to the extent possible, we propose that the daily mean flux can be extrapolated based on a conservative estimate of nighttime flux, for instance, by assuming that nighttime fluxes are similar to the lower flux levels observed around sunset. An analysis of the potential systematic bias introduced by the absence of nighttime data indicates that, even in seasons when the lake consistently acts as a CO2 source, and under a worst-case scenario where nighttime fluxes reach daytime peak levels, the core conclusion, that the lake may shift from a CO2 source to a sink in certain seasons (e.g., during summer algal blooms), remains valid. This is because the strong daytime photosynthetic uptake is sufficient to offset the estimated upper bound of respiratory emissions at night. Therefore, we emphasize that the key finding of this study, the observed source-sink transition dynamics of the lake, is primarily driven by strong daytime biogeochemical processes (i.e., photosynthesis vs. respiration/chemical equilibria). Although the lack of direct nighttime observations introduces a degree of uncertainty, it does not undermine our understanding of the principal mechanisms driving these dynamics. Future investigations should place greater emphasis on investigating CO2 dynamics during the nighttime.
-
(iii)
The pCO2 in this study was calculated from pH, temperature, and alkalinity using thermodynamic equilibrium equations. This approach may introduce significant deviations under conditions of dissolved organic carbon (DOC) or extreme pH, potentially leading to overestimation of pCO2. The combination of in-situ direct measurements and multi-method comparisons is necessary, mainly to reduce uncertainties and enhance data reliability. Moreover, the constraining the precise contribution of these allochthonous inputs to the lake’s CO2 emissions entails considerable uncertainties. The pulsed nature of carbon delivery during rainfall events is poorly captured by our monthly sampling, likely leading to an underestimation of episodic inputs. Further, the heterogeneous composition and bioavailability of imported carbon (e.g., labile DOC from sewage vs. refractory DOC from soil erosion) make it difficult to predict its mineralization efficiency and thus its ultimate contribution to CO2 evasion. Disentangling the effects of external carbon from in-lake processes remains a major challenge, as these drivers are often coupled (e.g., nutrient inputs stimulating productivity that consumes CO2).
Overall, future work require standardized protocols incorporating temporal (diurnal/seasonal) and spatial (cross-regional urban lake selections) dimensions to reduce uncertainties in CO2 flux estimates for urban lacustrine systems. Given the critical role of eutrophication in modulating C-source-sink transitions in urbanized lakes, we propose implementing dual-objective environmental management strategies, such as pollution mitigation (intercepting pollutant inputs through watershed management), and C-conscious restoration including optimizing hydrophyte communities through, C-sequestration species selection, biodiversity enhancement, and spatial configuration optimization. These measures should be prioritized in subtropical regions prone to algal blooms and climatic warming, aiming to simultaneously improve water quality and align lacustrine carbon budgets with global carbon neutrality targets.
Conclusions
This work employed a high-frequency observational program to examine temporal and spatial patterns of pCO2 and fCO2 in relation to key environmental variables within a subtropical urban lake with moderate eutrophic status. Temporal analysis identified consistent afternoon reductions in aquatic CO2 parameters during daytime (07:00–18:00 CST), contrasting with anomalous measurements recorded on three specific dates. However, no statistically significant differences in pCO2/fCO2 levels were detected between morning and afternoon (p > 0.05, n = 24). During the investigation, the average pCO2 and fCO2 levels were measured at 1788.61 µatm and 130.26 mmol m⁻2 h⁻1 (n = 48), respectively. Monthly analyses revealed substantial variability in both parameters, with pCO2 ranging from 198.14 to 8148.02 µatm, and fCO2 from − 16.14 to 775.16 mmol m−2 h−1 (n = 4, monthly). The annual cycle (January–November 2021) showed significantly lower mean pCO2 during the first half-year (1239.34 µatm, January–June) compared to the latter period (3143.15 µatm, July–November), both exceeding atmospheric equilibrium to function as net CO2 source. Crucially, episodic CO2 undersaturation occurred in October 2020 (198.14 µatm) and March 2021 (314.92 µatm), temporarily converting the system to a carbon sink. Statistical analyses identified pH, Chla (P), and DO (R) as key environmental drivers of pCO2 and CO2 flux variability, while eutrophication status and anthropogenic disturbances critically modulated source-sink transitions. These findings highlight the urgent need for improved management strategies in urban lake systems, such as reducing pollutants and mitigating carbon emissions, supported by standardized protocols that account for temporal (especially nocturnal), seasonal, and regional variations. Such integrated approaches will enhance the accuracy of CO2 flux estimates and contribute to global carbon neutrality goals.
Methods
Site description
The study was conducted at Bailuwan Lake (104° 7′ 40.5″ E, 30° 34′ 56.01″ N), an urban water body situated in the peri‑urban transition zone of Chengdu, Sichuan, China (Fig. S4). This artificially established aquatic system functions as an integrated urban eco‑wetland complex under the management of the Jinjiang District Government, combining tourism with ecological conservation. Designated in 2017 as Chengdu’s first National Urban Wetland Park, the lake represents a typical urban water body in a western Chinese megacity and offers a valuable case study for examining common features and challenges, such as ecological functions, environmental pressures, and management practices, of urban lakes globally.
The lake covers a total surface area of 200 ha, with open water bodies accounting for approximately 33.5% of the area and exhibiting depth gradients ranging from 0.5 to 6.5 m. According to our previous study based on 2021 data, vegetation represented the largest land cover type (56.2%) in the study area, followed by bare land, lake surface, and roads (6.8%)105. Hydrologically, the main inflow is an engineered tributary of the Dongfeng Canal system, while water export occurs mainly through evaporation and controlled discharge via constructed drainage infrastructure.
The study area is situated within a humid subtropical monsoon climate zone, characterized by pronounced seasonal thermal variability. Meteorological records indicate a mean annual temperature of 16.5 °C, with a distinct seasonal pattern featuring the lowest monthly temperatures in January and peak values during July–August, aligning with the broader regional climate regime. Throughout the monitoring campaign, diurnal air temperature fluctuations in the lake vicinity were substantial, varying from 0 °C to 35 °C (Fig. S3A), reflecting strong day-night thermal dynamics. In addition, the region experiences considerable solar exposure, with an annual cumulative solar radiation measuring approximately 161 kJ cm− 2 (Fig. S3B). This high level of irradiance plays a critical role in driving both hydrological and ecological processes, underscoring the distinctive energy budget setting of this subtropical lacustrine environment.
Field measurements
This investigation employed a monthly field monitoring protocol to collect essential hydrological parameters from October 2020 through November 2021, with the exception of November 2020 and September 2021 due to logistical constraints. Additionally, the scheduled July 2021 field campaign was administratively rescheduled to August 2, 2021. In other words, a total of 12 in-situ measurements were collected over 13 months of investigation. To ensure methodological rigor and data reliability, a triplicate sampling approach (n = 3) was systematically implemented for each field collection event, with samples subsequently subjected to both in-situ measurements and comprehensive laboratory analyses.
To maintain rigorous data quality standards and ensure cross-comparability, standardized sampling was performed at four fixed time points daily (07:00, 11:00, 14:00, and 18:00 CST) using a plastic grab-sampler at a depth of 30–50 cm below the water surface. All trips were made on sunny days to minimize rainfall and/or stormwater runoff effects on water conditions. Moreover, one objective of this study was to capture CO2 dynamics in the near-shore shallow water area, a typical ecotone, whose distinct characteristics are often homogenized and overlooked in whole-lake scale studies. Therefore, the sampling site was selected 2 m (Fig. S4) from the shore primarily because this location represents a sensitive zone for CO2 exchange at the water-air interface and is also significantly influenced by anthropogenic activities (e.g., surface runoff and input from riparian vegetation). Further, our investigation revealed the presence of submerged aquatic vegetation, such as Ceratophyllum demersum and Potamogeton distinctus, distributed on the lakebed directly below the sampling point.
Water transparency was assessed through Secchi disk measurements (TPC; cm), employing a standardized 20-cm diameter disk, with concurrent turbidity determinations (FNU; NTU) performed using a calibrated HACH-TSS turbidimeter (Danaher Corporation, Washington, DC, USA). Concurrently, a Hanna-HI9829/HI98186 multiparameter probe (Hanna Instruments, Italy) was deployed for synchronous in situ measurements of fundamental water characteristics: pH, DO (mg L−1), EC (µS cm−1), and Twater (°C). The quantification of pCO2 required precise determination of carbonate (CO32−; CB; mol mL−1) and bicarbonate (HCO3−; BCB; mol mL−1) concentrations via acid-base titration, utilizing phenolphthalein and methyl orange as dual-endpoint indicators in accordance with the standardized analytical procedure (Method S2).
Additionally, during the dynamic monitoring phase, continuous in-situ measurements of water quality parameters were conducted only after the readings had stabilized and remained consistent for an additional 5 min. Moreover, the stabilization process typically required 15–30 min. For water samples intended for TOC and anion analysis, filtration through a 0.45 μm micropore membrane filter was performed prior to storage in pre-cleaned polyethylene bottles. All samples were stored in high-density polyethylene bottles that had been pre-acid washed, tightly sealed, and carefully inspected to prevent gas exchange. During transportation, samples were placed in coolers with sufficient wet-ice to maintain preservation conditions.
Furthermore, comprehensive laboratory analyses were conducted on water samples to quantify multiple physicochemical parameters. The measured parameters encompassed: (i) Chla (mg m−3) quantified per the National Environmental Protection Agency (NEPA) standards106, (ii) nitrate (NT; mg L−1) analyzed following Method S3, and (iii) TP (mg L−1) assessed via Method S4. Additionally, TOC was fractionated into total carbon (TC) and inorganic carbon (IC) components (mg L−1) using validated methodologies4,5. Additional parameters assessed were TDN (mg L− 1; Method S5), CODMn (mg L− 1; Method S6). Anionic species (F−, Cl−, SO42−, NO3−; mg L− 1) were quantified following previously validated methodologies4,5,6. The trophic status of water bodies was evaluated through the Carlson’s TSI (trophic state index; Method S1).
Besides, given its location within an urban setting, the concentrations and distribution patterns of metals in Baihuwan lake could serve as sensitive tracers of anthropogenic disturbances, such as discharges from urban wastewater and surface runoff. These indicators assist in evaluating the potential influence of allochthonous carbon inputs on the overall carbon balance of the system87. For instance, the speciation and solubility of metals such as Fe and Mn are strongly dependent on ambient redox conditions45,87. Variations in their concentrations and ratios could be used to infer dominant pathways of organic matter degradation (e.g., Fe and Mn reduction processes), which are closely linked to the production and consumption of greenhouse gases including CO2. Therefore, in this study, we also measured trace metal concentrations (Cu, Zn, Cr, Fe, Mn, K, Ca, Na, Mg; µg L− 1; see Method S7).
To ensure sample integrity, water specimens were collected in amber glass bottles and maintained at 4 °C during transportation. All field sampling procedures were strategically conducted during periods of meteorological stability (clear weather conditions) to eliminate potential confounding effects from precipitation or surface runoff on analytical outcomes.
Laboratory analyses
Calculation of pCO2
Extensive studies has demonstrated that the equilibrium distribution of aqueous carbonate species, encompassing bicarbonate, carbonate, carbonic acid, and dissolved CO2, is principally governed by a suite of physicochemical parameters, specifically hydrogen ion activity (pH), aqueous temperature (Twater), and ionic strength (IS) of the solution4,23,107,108. Building upon this empirical foundation, the present study employs a thermodynamic carbonate speciation model (Eqs. 1–4) to computationally derive the aqueous carbon dioxide partial pressure (pCO2, expressed in µatm), with rigorous implementation protocols detailed in Method S8.
where the terms α(H+) and α(HCO3−) represent the chemically active fractions of hydrogen [H+] and bicarbonate [HCO3−] ions, accounting for non-ideal solution effects, whereas I quantifies the cumulative electrostatic environment through ionic strength.
Furthermore, it should be noted that the concentration of CO2 in the lake water was calculated from bicarbonate alkalinity, using pH and temperature as the relevant thermodynamic parameters. However, this computational approach could lead to significant overestimation of CO2 under high DOC conditions (> 200 µmol L− 1). Therefore, prior to each measurement, pre-screening was conducted to ensure that the hydrochemical conditions of the lake, including pH, alkalinity, and DOC (or TOC in this study) concentration, remained within a “safe range” for reliable estimation.
Estimation of fCO2
Empirical studies have systematically demonstrated that the interfacial CO2 flux across the aquatic-atmospheric boundary layer is predominantly regulated by a complex interplay of environmental variables, including thermal conditions (temperature), solute concentration (salinity), atmospheric turbulence (wind speed), and the pCO269,109. In accordance with these established principles, we implemented a mechanistic transfer model (Eq. 2) to quantify the net fCO2 at the water-air interface, with flux density expressed in standardized units of mmol m− 2 h− 1, following the comprehensive methodological framework in Method S9.
where fCO2 quantifies the net exchange rate of CO2 per unit area at the water-air boundary interface. The parameters KH and KT correspond to the temperature-dependent Henry’s law constant (quantifying CO2 solubility) and the gas transfer velocity (characterizing the water-air exchange coefficient), respectively. The determination of KH, following established thermodynamic principles, incorporates a multivariate dependence on physicochemical conditions, specifically thermal regime (temperature), ionic strength (salinity), and hydrostatic pressure, as comprehensively characterized in the seminal work of Weiss110.
Moreover, the normalized dimensionless Schmidt number (K600) was computationally transformed to the CO2-specific gas transfer velocity (KT) using the functional relationship expressed in Eq. (7). This transformation incorporates the well-established functional dependence between the Schmidt number (Sc) and gas exchange kinetics, thereby facilitating the precise estimation of KT across a range of environmental conditions, as originally demonstrated in the foundational work of Jahne et al.111
where the exponent of the Schmidt number, denoted as n, exhibits variability contingent upon wind speed conditions. The exponent n adopts a value of 0.5 for wind speeds > 3.7 m s− 1, decreasing to 0.75 for calmer conditions (< 3.7 m s− 1), as established by Guérin et al.112 For the Schmidt number parameterization, we applied the widely accepted value of 0.67 following Cole and Caraco’s experimental determinations under reference conditions107. Furthermore, the computational algorithm for K600, as expressed in Eq. (8), accompanied by its comprehensive methodological elucidation, is presented in Method S9. In this study, U10 denotes wind speed values corrected to the conventional 10-m reference height over the water body at sampling time.
Statistical analysis
In the present study, the statistical framework employed the IBM-SPSS Statistics 22 (IBM Corp., USA) for comprehensive data analysis, adopting a 95% confidence level (α = 0.05) to ensure analytical robustness. High-quality data visualization was achieved using SigmaPlot 14.0 (Systat Software Inc., USA), enabling precise graphical interpretation. This dual-platform approach complies with contemporary standards for quantitative research methodology, guaranteeing both statistical validity and visual clarity.
Data availability
All data generated or analysed during this study are included in this published article and its supplementary information files.
References
Saunois, M. et al. The global methane budget 2000–2017. Earth Syst. Sci. Data. 12, 1561–1623 (2020).
Li, X., Shi, F., Ma, Y., Zhao, S. & Wei, J. Significant winter CO2 uptake by saline lakes on the Qinghai–Tibet plateau. Glob. Change Biol. 28, 2041–2052 (2022).
Sun, H. et al. Drivers of Spatial and seasonal variations of CO2 and CH4 fluxes at the sediment water interface in a shallow eutrophic lake. Water Res. 222, 118916 (2022).
Yang, R. et al. Significant daily CO2 source–sink interchange in an urbanizing lake in Southwest China. Water 15, 3365 (2023).
Yang, R. et al. Assessing the landscape ecological health (LEH) of wetlands: research content and evaluation methods (2000–2022). Water 15, 2410 (2023).
Yang, R. et al. The shifting pattern of CO2 source sink in a subtropical urbanizing lightly eutrophic lake. Sci. Total Environ. 946, 174376 (2024).
Verpoorter, C., Kutser, T., Seekell, D. A. & Tranvik, L. J. A global inventory of lakes based on high–resolution satellite imagery. Geophys. Res. Lett. 41, 6396–6402 (2014).
Tranvik, L. J. et al. Lakes and reservoirs as regulators of carbon cycling and climate. Limnol. Oceanogr. 54, 2298–2314 (2009).
Yang, R., Xu, Z., Liu, S. & Xu, Y. J. Daily pCO2 and CO2 flux variations in a subtropical mesotrophic shallow lake. Water Res. 153, 29–38 (2019).
Yang, R. et al. Daily variations in pCO2 and fCO2 in a subtropical urbanizing lake. Front. Earth Sci. 9, 805276 (2022).
Cole, J. J., Caraco, N. F., Kling, G. W. & Kratz, T. K. Carbon dioxide supersaturation in the surface waters of lakes. Science 265, 1568–1570 (1994).
Wen, Z. et al. Re-estimating china’s lake CO2 flux considering Spatiotemporal variability. Environ. Sci. Ecotech. 19, 100337 (2024).
Holgerson, M. A. & Raymond, P. A. Large contribution to inland water CO2 and CH4 emissions from very small ponds. Nat. Geosci. 9, 222–226 (2016).
Cole, J. J. et al. Plumbing the global carbon cycle: integrating inland waters into the terrestrial carbon Budge. Ecosystems 10, 171–184 (2007).
Zhang, L., Xu, Y. J. & Li, S. Changes in CO2 concentration and degassing of eutrophic urban lakes associated with algal growth and decline. Environ. Res. 237, 117031 (2023).
Li, S. et al. Large greenhouse gases emissions from china’s lakes and reservoirs. Water Res. 147, 13–24 (2018).
Ran, L. et al. Substantial decrease in CO2 emissions from Chinese inland waters due to global change. Nat. Commun. 12, 1730 (2021).
Zhang, L., Xu, Y. J. & Li, S. Source and quality of dissolved organic matter in streams are reflective to land use/land cover, climate seasonality and pCO2. Environ Res. 216, 114608 (2023).
Downing, J. A. et al. The global abundance and size distribution of lakes, ponds, and impoundments. Limnol. Oceanogr. 51, 2388–2397 (2006).
Lin, P. et al. Hotspots of riverine greenhouse gas (CH4, CO2, N2O) emissions from Qinghai Lake Basin on the northeast Tibetan Plateau. Sci. Total Environ. 857, 159373 (2023).
Karim, A., Dubois, K. & Veize, J. Carbon and oxygen dynamics in the Laurentian great lakes: implications for the CO2 flux from terrestrial aquatic systems to the atmosphere. Chem. Geol. 281, 133–141 (2011).
Raymond, P. A. et al. Global carbon dioxide emissions from inland waters. Nature 503, 355–359 (2013).
Abril, G. et al. Amazon river carbon dioxide outgassing fuelled by wetlands. Nature 505, 395–398 (2014).
Wang, G., Liu, S., Sun, S. & Xia, X. Unexpected low CO2 emission from highly disturbed urban inland waters. Environ. Res. 235, 116689 (2023).
Foley, E. & Steinman, A. D. Urban lake water quality responses to elevated road salt concentrations. Sci. Total Environ. 905, 167139 (2023).
Xiao, Q. et al. Management actions mitigate the risk of carbon dioxide emissions from urban lakes. J. Environ. Manag. 344, 118626 (2023).
Li, S., Luo, J., Xu, Y. J., Zhang, L. & Ye, C. Hydrological seasonality and nutrient stoichiometry control dissolved organic matter characterization in a headwater stream. Sci. Total Environ. 807, 150843 (2022).
Zhu, Z. et al. Land–water transport and sources of nitrogen pollution affecting the structure and function of riverine microbial communities. Environ. Sci. Technol. 57, 2726–2738 (2023).
Pacheco, F. S., Roland, F. & Downing, J. A. Eutrophication reverses whole-lake carbon budgets. Inland. Waters. 4, 41–48 (2013).
Finlay, K. et al. Decrease in CO2 efflux from Northern Hardwater lakes with increasing atmospheric warming. Nature 519, 215–218 (2015).
Tao, Y. et al. Evolution of CO2 flux over 60 years: identifying source and sink changes caused by eutrophication of Hulun Lake. Sci. Total Environ. 953, 176052 (2024).
Xiao, Q. et al. Lakes shifted from a carbon dioxide source to a sink over past two decades in China. Sci. Bull. 69, 1857–1861 (2024).
Tang, W., Xu, X. J. & Li, S. Rapid urbanization effects on partial pressure and emission of CO2 in three rivers with different urban intensities. Ecol. Indic. 125, 107515 (2021).
Wang, J. et al. pCO2 and CO2 evasion from two small suburban rivers: implications of the watershed urbanization process. Sci. Total Environ. 788, 147787 (2021).
Zhou, T. et al. Characteristics and influencing factors of CO2 emission from inland waters in China. Sci. China Earth Sci. 67, 2034–2055 (2024).
Zhou, C. et al. Cyanobacteria decay alters CH4 and CO2 produced hotspots along vertical sediment profiles in eutrophic lakes. Water Res. 265, 122319 (2024).
van Bergen, T. J. H. M. et al. Seasonal and daytime variation in greenhouse gas emissions from an urban pond and its major drivers. Limnol. Oceanogr. 64, 2129–2139 (2019).
Rentschler, J. et al. Global evidence of rapid urban growth in flood zones since 1985. Nature 622, 87–92 (2023).
Waajen, G., van Oosterhout, F., Douglas, G. & Lurling, M. Geo-engineering experiments in two urban ponds to control eutrophication. Water Res. 97, 69–82 (2016).
Xiao, Q. et al. Eutrophic lake Taihu as a significant CO2 source during 2000–2015. Water Res. 170, 115331 (2020).
Xiao, Q. T. et al. Environmental investments decreased partial pressure of CO2 in a small eutrophic urban lake: evidence from long-term measurements. Environ. Pollut. 263, 114433 (2020).
Pickard, A. et al. Greenhouse gas budgets of severely polluted urban lakes in India. Sci. Total Environ. 798, 149019 (2021).
Ran, L. et al. Seasonal and diel variability of CO2 emissions from a semiarid hard-water reservoir. J. Hydrol. 608, 127652 (2022).
Zhao, F. et al. Seasonal pattern of diel variability of CO2 efflux from a large eutrophic lake. J. Hydrol. 645, 132259 (2024).
Sobek, S. et al. The catchment and climate regulation of pCO2 in boreal lakes. Glob. Change Biol. 9, 630–641 (2003).
Marotta, H. et al. Long-term CO2 variability in two shallow tropical lakes experiencing episodic eutrophication and acidification events. Ecosystems 13, 382–392 (2010).
Kosten, S. et al. Climate–dependent CO2 emissions from lakes. Glob. Biogeochem. Cycles. 24, GB2007 (2010).
Xu, Y. J., Xu, Z. & Yang, R. Rapid daily change in surface water pCO2 and CO2 evasion: a case study in a subtropical eutrophic lake in Southern USA. J. Hydrol. 570, 486–494 (2019).
Katkov, E. & Fussmann, G. F. The effect of increasing temperature and pCO2 on experimental pelagic freshwater communities. Limnol. Oceanogr. 68, S202–S216 (2023).
Pu, J. et al. Varying thermal structure controls the dynamics of CO2 emissions from a subtropical reservoir, South China. Water Res. 178, 115831 (2020).
Attermeyer, K. et al. Carbon dioxide fluxes increase from day to night across European streams. Commun. Earth Environ. 2, 118 (2021).
Couturier, M. et al. Long–term trends in pCO2 in lake surface water following rebrowning. Geophys. Res. Lett. 49, e2022GL097973 (2022).
Jiang, B. et al. Wetland CH4 and CO2 emissions show opposite temperature dependencies along global climate gradients. Catena. 248, 108557 (2025).
MacIntyre, S. et al. Buoyancy flux, turbulence, and the gas transfer coefficient in a stratified lake. Geophys. Res. Lett. 37, L24604 (2010).
Wang, X. et al. Spatial dynamics of pCO2 and CO2 emissions from eutrophic lakes. Ecol. Indic. 166, 112529 (2024).
Wang, Y. et al. Diel variability of carbon dioxide concentrations and emissions in a largest urban lake, central china: insights from continuous measurements. Sci. Total Environ. 912, 168987 (2024).
Sun, H. et al. Eutrophication decreased CO2 but increased CH4 emissions from lake: a case study of a shallow lake Ulansuhai. Water Res. 201, 117363 (2021).
Potter, L. & Xu, Y. J. Can a eutrophic lake function as a carbon sink? Case study of a subtropical eutrophic lake in Southern USA. J. Hydrol. 625, 130071 (2023).
Yang, P. et al. Variation characteristics and influencing mechanism of CO2 flux from lakes in the Badain Jaran desert: a case study of Yindeer lake. Ecol. Indic. 127, 107731 (2021).
Li, S. Y., Bush, R. T., Ward, N. J., Sullivan, L. A. & Dong, F. Y. Air–water CO2 outgassing in the lower lakes (Alexandrina and Albert, Australia) following a millennium drought. Sci. Total Environ. 542, 453–468 (2016).
Ritchie, H., Samborska, V., Roser, M. & Urbanization Our world in data. https://ourworldindata.org/urbanization?source=content_type:react|first_level_url:article|section:main_content|button:body_link (2024).
Peacock, M. et al. Small artificial waterbodies are widespread and persistent emitters of methane and carbon dioxide. Glob. Change Biol. 27, 5109–5123 (2021).
Fan, L. et al. Spatiotemporal patterns and drivers of CH4 and CO2 fluxes from rivers and lakes in highly urbanized areas. Sci. Total Environ. 918, 170689 (2024).
Wang, L. et al. Utilization patterns strongly dominated the dynamics of CO2 and CH4 emissions from small artificial lakes. J. Environ. Manag. 373, 123613 (2025).
Nimick, D. A., Gammons, C. H. & Parker, S. R. Diel biogeochemical processes andtheir effect on the aqueous chemistry of streams: a review. Chem. Geol. 283, 3–17 (2011).
Shao, C. L. et al. Diurnal to annual changes in latent, sensible heat, and CO2 fluxes over a Laurentian great lake: a case study in Western lake Erie. J. Geophys. Res. Biogeosci. 120, 1587–1604 (2015).
Jia, J. et al. Determining whether Qinghai–Tibet plateau waterbodies have acted like carbon sinks or sources over the past 20 years. Sci. Bull. 67, 2345–2357 (2022).
Li, S., Luo, J., Wu, D. & Xu, Y. J. Carbon and nutrients as indictors of daily fluctuations of pCO2 and CO2 flux in a river draining a rapidly urbanizing area. Ecol. Indic. 109, 105821 (2020).
Cole, J. J. & Caraco, N. F. Carbon in catchments: connecting terrestrial carbon losses with aquatic metabolism. Mar. Freshw. Res. 52, 101–110 (2001).
Cole, J. J. et al. Plumbing the global carbon cycle: integrating inland waters into the terrestrial carbon budget. Ecosystems 10, 172–185 (2007).
Spafford, L. & Risk, D. Spatiotemporal variability in lake-atmosphere net CO2 exchange in the Littoral zone of an oligotrophic lake. J. Geophys. Res. Biogeosci. 123, 1260–1276 (2018).
Rõõm, E. et al. Years are not brothers: Two-year comparison of greenhouse gas fluxes in large shallow lake Võrtsjärv, Estonia. J. Hydrol. 519, 1594–1606 (2015).
Cole, J. J., Pace, M. L., Carpenter, S. R. & Kitchell, J. F. Persistence of net heterotrophy in lakes during nutrient addition and food web manipulations. Limnol. Oceanogr. 45, 1718–1730 (2000).
Morales-Pineda, M. et al. Daily, biweekly, and seasonal temporal scales of pCO2 variability in two stratified Mediterranean reservoirs. J. Geophys. Res. Biogeosci. 119, 509–520 (2014).
Sabine, C. L. et al. The oceanic sink for anthropogenic CO2. Science 305, 367–371 (2004).
Lai, C. et al. Control of carbon dioxide exchange fluxes by rainfall and biological carbon pump in karst river–lake systems. Sci. Total Environ. 937, 173486 (2024).
Zavoruev, V. V. et al. Daily course of CO2 fluxes in the atmosphere-water system and variable fluorescence of phytoplankton during the open–water period for lake Baikal according to long-term measurements. Dokl. Earth Sci. 479, 507–510 (2018).
Du, Q. et al. Factors controlling evaporation and the CO2 flux over an open water lake in Southwest of China on multiple Temporal scales. Int. J. Climatol. 38, 4723–4739 (2018).
Ni, M., Li, S., Luo, J. & Lu, X. CO2 partial pressure and CO2 degassing in the Daning river of the upper Yangtze river. China J. Hydrol. 569, 483–494 (2019).
Wilson-McNeal, A. et al. Fluctuating seawater pCO2/pH induces opposing interactions with copper toxicity for two intertidal invertebrates. Sci. Total Environ. 748, 141370 (2020).
Minor, E. C. & Brinkley, G. Alkalinity, pH, and pCO2 in the Laurentian great lakes: an initial view of seasonal and inter-annual trends. J. Great Lakes Res. 48, 502–511 (2022).
Schrier-Uijl, A. P. et al. Release of CO2 and CH4 from lakes and drainage ditches in temperate wetlands. Biogeochemistry 102, 265–279 (2011).
Wu, Y. et al. Ocean acidification enhances the growth rate of larger diatoms. Limnol. Oceanogr. 59, 1027–1034 (2014).
Duarte, C. M. et al. CO2 emissions from saline lakes: A global estimate of a surprisingly large flux. J. Geophys. Res. Biogeosci. 113, 7 (2008).
Finlay, K., Leavitt, P. R., Wissel, B. & Prairie, Y. T. Regulation of Spatial and Temporal variability of carbon flux in six hard–water lakes of the Northern great plains. Limnol. Oceanogr. 54, 2553–2564 (2009).
Carvalho, A. C. O. et al. Phytoplankton strengthen CO2 uptake in the South Atlantic ocean. Prog. Oceanogr. 190, 102476 (2021).
Li, D. et al. Metal-algae interaction contributes to the water environment heterogeneity in an urbanized river. Ecol. Indic. 139, e108875 (2022).
Wang, P., Ma, J., Wang, X. & Tan, Q. Rising atmospheric CO2 levels result in an earlier cyanobacterial bloom-maintenance phase with higher algal biomass. Water Res. 185, 116267 (2020).
Xu, Z. & Xu, Y. J. Rapid field Estimation of biochemical oxygen demand in a subtropical eutrophic urban lake with chlorophyll a fluorescence. Environ. Monit. Assess. 187, 4171 (2015).
Ngochera, M. J. & Bootsma, H. A. Spatial and Temporal dynamics of pCO2 and CO2 flux in tropical lake Malawi. Limnol. Oceanogr. 65, 1594–1607 (2020).
Weyhenmeyer, G. A. et al. Significant fraction of CO2 emissions from boreal lakes derived from hydrologic inorganic carbon inputs. Nat. Geosci. 8, 933–936 (2015).
Zagarese, H. E. et al. Patterns of CO2 concentration and inorganic carbon limitation of phytoplankton biomass in agriculturally eutrophic lakes. Water Res. 190, 116715 (2021).
He, H. et al. Lake metabolic processes and their effects on the carbonate weathering CO2 sink: insights from diel variations in the hydrochemistry of a typical karst lake in SW China. Water Res. 222, 118907 (2022).
Rantakari, M. & Kortelainen, P. Interannual variation and Climatic regulation of the CO2 emission from large boreal lakes. Glob. Change Biol. 11, 1368–1380 (2005).
Benassi, R. F. et al. Eutrophication effects on CH4 and CO2 fluxes in a highly urbanized tropical reservoir (Southeast, Brazil). Environ. Sci. Pollut. Res. 28, 42261–42274 (2021).
Engel, F., Attermeyer, K. & Weyhenmeyer, G. A. A simplified approach to detect a significant carbon dioxide reduction by phytoplankton in lakes and rivers on a regional and global scale. Sci. Nat. 107, 29 (2020).
Zhou, M. et al. Space-for-time substitution leads to carbon emission overestimation in eutrophic lakes. Environ. Res. 219, 115175 (2023).
Shi, W., Du, M., Ye, C. & Zhang, Q. Divergent effects of hydrological alteration and nutrient addition on greenhouse gas emissions in the water level fluctuation zone of the three Gorges Reservoir, China. Water Res. 201, 117308 (2021).
Kortelainen, P. et al. Sediment respiration and lake trophic state are important predictors of large CO2 evasion from small boreal lakes. Glob. Change Biol. 12, 1554–1567 (2006).
Loken, L. C. et al. Large spatial and temporal variability of carbon dioxide and methane in a eutrophic lake. J. Geophys. Res. Biogeosci. 124, 2248–2266 (2019).
Natchimuthu, S., Sundgren, I., Gålfalk, M., Klemedtsson, L. & Bastviken, D. Spatiotemporal variability of lake pCO2 and CO2 fluxes in a hemiboreal catchment. J. Geophys. Res. Biogeo. 122, 30–49 (2017).
Gu, B., Schelske, C. L. & Coveney, M. F. Low carbon dioxide partial pressure in a productive subtropical lake. Aquat. Sci. 73, 317–330 (2011).
Reis, P. C. J. & Barbosa, F. A. R. Diurnal sampling reveals significant variation in CO2 emission from a tropical productive lake. Braz. J. Biol. 74, 113–119 (2014).
Reiman, J. H. & Xu, Y. J. Daytime variability of pCO2 and CO2 outgassing fromthe lower Mississippi river: implications for riverine CO2 outgassing Estimation. Water 11, 43 (2019).
Liu, S. et al. Spatiotemporal dynamics of constructed wetland landscape patterns during rapid urbanization in Chengdu, China. Land 13, 806 (2024).
The National Environmental Protection Agency (NEPA) & The Editorial Board of Water and Wastewater Monitoring/Analysis Methods. The Monitoring and Analysis Methods of Water and Wastewater, 4th edn (China Environmental Science, 2002).
Cole, J. J. & Caraco, N. F. Atmospheric exchange of carbon dioxide in a low-wind oligotrophic lake measured by the addition of SF6. Limnol. Oceanogr 43, 647–656 (1998).
Abril, G. et al. Technical note: large overestimation of pCO2 calculated from pH and alkalinity in acidic, organic-rich freshwaters. Biogeosciences 12, 67–78 (2015).
Cai, W. J. & Wang, Y. The chemistry, flux, and sources of carbon dioxide in the estuarine waters of the Satilla and Altamaha rivers. Ga. Limnol. Oceanogr. 43, 657–668 (1998).
Weiss, R. F. The solubility of nitrogen, oxygen and argon in water and seawater. Deep Sea Res. Oceanogr. Abstr. 17, 721–735 (1970).
Jahne, B., Heinz, G. & Dietrich, W. Measurement of the diffusion coefficients of sparingly soluble gases in water. J. Geophys. Res. Oceans. 92, 10767–10776 (1987).
Guérin, F. et al. Gas transfer velocities of CO2 and CH4 in a tropical reservoir and its river downstream. J. Mar. Syst. 66, 161–172 (2007).
Acknowledgements
We sincerely thank all of assistants at Sichuan Agricultural University for their assistance, and Dr. Yijun Xu at Louisiana State University, LA, U.S.A., for their guidance in early experimental design. Sincere thanks to all of institutions for their supports in testing, and to the Management Center of Bailuwan Lake for their permission and facilitation.
Funding
This work was partially supported by the Hai-Ju Program for the Introduction of High-end Talents in Sichuan Provincial Science and Technology Programs (Grant no., 2024JDHJ0017), the Project Supported by Sichuan Landscape and Recreation Research Center (Grant no., JGYQ2024011), the Provincial Innovation Training Program of Sichuan College Students (Grant no., S202510626056), and the Undergraduate Scientific Research Interest Cultivation and Entrepreneurship Training Program Projects at Sichuan Agricultural University (Grant no., 20252046).
Author information
Authors and Affiliations
Contributions
S.L.: Conceptualization, data curation, formal analysis, funding acquisition, investigation, methodology, resources, software, validation, visualization, writing–original draft, writing–review and editing. Y.C.: Data curation, formal analysis, investigation, software, validation, visualization. R.Y.: Conceptualization, data curation, formal analysis, investigation. Y.Q.: Data curation, formal analysis, investigation. A.M.S.: Writing-review and editing. K.L.: Data curation, Formal analysis, investigation. X.W.: Data curation. D.L.: Data curation, investigation. W.M.: Data curation, writing-review and editing. X.C.: Data curation. Q.C.: Conceptualization, funding acquisition, project administration, resources, supervision, validation.
Corresponding authors
Ethics declarations
Competing interests
The authors declare no competing interests.
Additional information
Publisher’s note
Springer Nature remains neutral with regard to jurisdictional claims in published maps and institutional affiliations.
Supplementary Information
Below is the link to the electronic supplementary material.
Rights and permissions
Open Access This article is licensed under a Creative Commons Attribution-NonCommercial-NoDerivatives 4.0 International License, which permits any non-commercial use, sharing, distribution and reproduction in any medium or format, as long as you give appropriate credit to the original author(s) and the source, provide a link to the Creative Commons licence, and indicate if you modified the licensed material. You do not have permission under this licence to share adapted material derived from this article or parts of it. The images or other third party material in this article are included in the article’s Creative Commons licence, unless indicated otherwise in a credit line to the material. If material is not included in the article’s Creative Commons licence and your intended use is not permitted by statutory regulation or exceeds the permitted use, you will need to obtain permission directly from the copyright holder. To view a copy of this licence, visit http://creativecommons.org/licenses/by-nc-nd/4.0/.
About this article
Cite this article
Liu, S., Chen, Y., Yang, R. et al. High-frequency monitoring reveals a CO2 source-sink shift in a subtropical eutrophic urban lake. Sci Rep 15, 43212 (2025). https://doi.org/10.1038/s41598-025-27331-z
Received:
Accepted:
Published:
Version of record:
DOI: https://doi.org/10.1038/s41598-025-27331-z












