Abstract
The construction of new ponds is a widely used mitigation measure in wetland restoration. While fish colonization can compromise their ecological function, knowledge of how frequently, how rapidly, and by which mechanisms fish colonize these habitats is severely limited. In our study of 123 newly created, originally fishless ponds in the Central European agricultural landscape, 58.5% were found to host fish. Fish were already present in 40% of one-year-old ponds and the proportion of non-colonized ponds did not depend on their age. The most common species were the invasive topmouth gudgeon (Pseudorasbora parva) and Prussian carp (Carassius gibelio), along with the native rudd (Scardinius erythrophthalmus). The likelihood of fish colonisation increased with pond area and depth but decreased with the width of littoral vegetation and distance from the nearest settlement, the latter suggesting a strong effect of anthropogenic dispersal. Ponds hosting invasive or stocked fish assemblages exhibited significantly reduced water transparency and submerged macrophyte cover, indicating potential negative impact on their biodiversity. Overall, the study highlights that without effective control of fish dispersal, newly created ponds in agricultural landscape risk losing much of their conservation value and, in some cases, may even facilitate the persistence and spread of invasive species.
Similar content being viewed by others
Introduction
Wetlands are among the most vital and yet most threatened ecosystems on Earth, playing a crucial role in maintaining freshwater biodiversity and ecosystem functions1,2,3. Ponds, defined as small (typically ≤ 2 ha) shallow waterbodies, are especially important because of their large contribution to regional aquatic biodiversity, mainly due to their high beta diversity, and their role in sustaining diverse aquatic communities within intensively managed agricultural and urban areas4,5,6.
Wetlands, and especially ponds, have experienced dramatic losses globally, with some regions reporting over 50% and occasionally up to 90% reductions, primarily driven by land-use change, drainage for agriculture, river regulation and urban development7,8,9. Despite their ecological value, ponds have often been ignored by conservation policies and water management, which tend to focus on rivers, large lakes, or pollution control6,10,11. In recent years, research has intensified around pond conservation5,12, demonstrating their importance for amphibians, macroinvertebrates, and aquatic plants, especially in fragmented or degraded landscapes13,14,15,16.
Wetland restoration has become one of the prime goals of wetland protection17, with the creation of artificial wetlands being one of the possible means for wetland loss compensation18,19. While artificial ponds created for goals other than biodiversity support can provide suitable environment for many aquatic and terrestrial taxa20,21,22, their biodiversity rarely matches that of natural ones23,24,25. The construction of ponds focused directly on biodiversity support has thus become a promising tool for restoring wetland biodiversity21,26.
The ponds constructed for biodiversity enhancement are typically designed to support amphibians, invertebrates and aquatic plants21,27. The presence of fish in such ponds can compromise these conservation aims as fish, as top predators and biota determinants in these ecosystems28,29, can negatively affect amphibians30,31,32, invertebrates33,34,35 and other ecosystem components36,37,38. Therefore, these new ponds are created as fishless, and the introduction of fish is generally considered undesirable23,27,39. Despite that, several studies have detected fish presence in such ponds, often with negative consequences for their conservation function40,41,42.
To the best of our knowledge, the ways through which fish colonize newly created ponds have not been studied in complexity. This contrasts with the extensive research on factors affecting their colonization by amphibians18,43,44, macroinvertebrates45,46,47 or zooplankton48,49. Most knowledge of fish colonization stems from anecdotal reports41 or can be inferred from studies on similar systems and questions38,50,51,52.
In general, fish may colonize new ponds through three primary pathways: (i) natural dispersal from nearby water sources53,54, (ii) intentional stocking by humans38,51or, (iii) accidental dispersal of fish eggs by aquatic animals53. Among potential animal vectors, waterfowl are the most likely candidates. Birds may be theoretically capable of transporting fish eggs on their bodies (although solid scientific evidence for this way of transport is scarce so far55;) or in their bodies (recent studies have shown that some fish eggs can survive transport through the bird digestive system55,56;). In addition to the unclear colonization mechanisms, little is known about the speed and extent of fish colonization in newly constructed ponds.
To address these knowledge gaps, we sampled fish assemblages in 123 newly created ponds of variable age (1–14 years) in a Central European agricultural landscape. Specifically, we aimed to (i) determine the extent and pace of fish colonization, (ii) identify environmental factors affecting fish presence and assemblage structure, (iii) assess how fish assemblage structure influences two readily measurable ecological indicators sensitive to fish presence: water transparency and submerged macrophyte cover.
Results
Fish presence
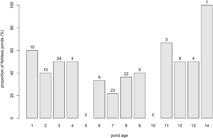
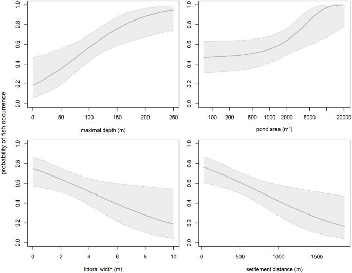
Fish were present in 72 out of 123 ponds surveyed (58.5%). Non-native Prussian carp (Carassius gibelio) and topmouth gudgeon (Presudorasbora parva), together with native rudd (Scardinius erythrophthalmus), were the most common fish species (each present in approximately 25% of the ponds, Table 1). Two other non-native species, black bullhead (Ameiurus melas) and pumpkinseed (Lepomis gibbosus), were observed in the ponds, although at low frequencies (2.4 and 1.6%). Overall, non-native fish were present in 58 ponds (47.2%, 80% of all ponds with fish). Fish were already present in 40% of the one-year-old ponds (Fig. 1). Neither the proportion of fishless ponds nor the number of fish species was related to the age of the ponds (GLMM, n = 123, P = 0.855 and 0.123, Fig. 1, Figure S1). The final model for determining the presence of fish in the ponds consisted of four predictors: the probability of fish occurring in a pond increased with pond area and maximal depth and decreased with littoral vegetation width and settlement distance (GLMM, all predictors P < 0.05; Table 2; Fig. 2, Table S1). Water-bird diversity had no effect on fish presence when tested on the reduced dataset (GLMM, P > 0.05; Table S2).
Proportion of fishless ponds (in %) in relation to pond age. The number of ponds sampled in each age category is shown above the bars.
Probability of fish occurrence as a function of the four predictors of the final GLMM. The predicted curves are represented by solid lines, and the 95% CIs are represented by the ribbons. Note that the pond area is shown on a log-scale.
Fish assemblage structure
The assemblage composition significantly differed among the three predetermined groups, which were distinguishable along the first two NMDS axes (Fig. 3; PERMANOVA, P = 0.001, with P = 0.001 in all partial tests, Table S4). The relative biomass was highest in stocked assemblages and lowest in invasive assemblages, with the difference between these two assemblages being the only significant (LMM, n = 72, P = 0.027; Tukey HSD, P = 0.387, 0.416 and 0.021 for comparison of native-invasive, native-stocked and invasive-stocked assemblages).
Vector fitting designated pond age, area and settlement distance as the factors significantly correlated with the fish assemblage structure (Fig. 3, Table S3). Pond age and settlement distance increased along the first NMDS axis and decreased along the second NMDS axis, being negatively associated with stocked assemblages (mainly common carp) and positively associated with native assemblages (mostly roach, rudd and tench; Fig. 3). Pond area was positively associated with the second NMDS axis and with stocked assemblages (Fig. 3).
When compared against each other, ponds with stocked assemblages were significantly larger than ponds with invasive fish (Fig. 4; LMM, n = 72, P = 0.015; Tukey HSD, P = 0.010), but did not differ significantly from ponds with native fish (Tukey HSD, P = 0.096). Ponds resided by native fish assemblages were older than those resided by other fish (Fig. 4, Figure S2), although the difference was significant only in comparison with the stocked assemblage (LMM, n = 72, P = 0.048; Tukey HSD, P = 0.030 and 0.374 for stocked and invasive, respectively). There was no significant difference in the settlement distance among the three assemblage types (LMM, n = 72, P = 0.116), although stocked assemblages tended to occur in ponds located closer to settlements (Fig. 4).
Water transparency was strongly dependent on the presence of fish and type of the fish assemblage (LMM, n = 114, P < 0.001), ponds with no fish and with native fish assemblages having significantly greater transparency than ponds hosting invasive or stocked assemblages (Tukey HSD, fishless ponds P < 0.001 and 0.001, and native fish ponds P = 0.011 and 0.002 compared to invasive and stocked ponds, respectively; Fig. 5). Presence of fish and fish assemblage also influenced the proportion of submerged macrophytes (GLMM, n = 114, P < 0.001, Fig. 5). While ponds with stocked assemblages had a significantly lower proportion of submerged macrophytes than all other pond types (Fig. 5, Tukey HSD, P < 0.001, P < 0.001 and P = 0.003 for comparison with fishless ponds and ponds with native and invasive fish), fishless ponds generally had the highest cover of submerged macrophytes, being significantly different from ponds with invasive fish assemblages but not from native fish assemblages, which were in turn not significantly different from the invasive fish assemblages (Tukey HSD, P < 0.001, P = 0.360, and P = 0.403, respectively, Fig. 5). We observed no effect of biomass or interaction between biomass and assemblage type on water transparency or the proportion of submerged macrophytes cover at ponds resided by fish (LMM and GLMM, all P > 0.05; Table S5).
Two-dimensional NMDS projection of Bray-Curtis dissimilarity between fish assemblages in newly built ponds. Blue circles = native assemblages, red squares = invasive assemblages, brown triangles = stocked assemblages. Large symbols stand for group centroids. The positions of the most common fish species (frequency > 3%) projected into the ordination are marked by the crosses near their names. Significant (P < 0.05) environmental predictors are projected to the ordination by grey arrows.
Pond area (A), pond age (B) and settlement distance (C) differences among the three types of predetermined fish assemblages (native, n = 19; invasive, n = 39; stocked, n = 14). Pond types that do not share the same letter are significantly different from each other (based on post-hoc Tukey HSD tests). Horizontal line = median, boxes = interquartile range, whiskers = non-outlier range, points = outliers. Note that the pond area is shown on a log-scale.
Water transparency (A) and proportion of submerged macrophytes (B) in newly built ponds that hosted no fish and with three types of predetermined fish assemblage types. Pond types that do not share the same letter are significantly different from each other (based on post-hoc Tukey HSD tests). Horizontal line = median, boxes = interquartile range, whiskers = non-outlier range.
Discussion
In this study we showed that a substantial proportion of newly created ponds is soon colonized by fish, that the proportion of fishless ponds is similar across ponds of various age and that they are inhabited mostly by non-native species. We identified four main factors related to the presence of fish in the constructed ponds: pond depth and size, width of littoral emergent vegetation, and distance from the nearest settlement.
Among the four predictors affecting fish presence, pond depth can be considered the only directly related to extinction risk. It is closely related to pond desiccation or low-water conditions that cause low oxygen concentrations and create, at least temporarily, a hostile environment for fish. Many studies have shown that, owing to the lack of these predators, naturally fishless temporary ponds benefit amphibians and other biota57,58,59. For this reason, it is recommended to construct shallow, seasonally desiccating ponds as biodiversity-supporting measure27,60,61. On the other hand, some amphibians and macroinvertebrates require permanent water bodies for successful development32,62. When permanent ponds are built for such organisms, it may be advisable to include built-in outlets that would allow water level manipulation if undesirable fish colonize the pond, as complete drying of ponds still appears to be the most effective method of eliminating fish from these habitats27,63.
Two of the significant predictors, pond size and width of littoral vegetation, can be attributed to fish colonization by either humans or waterfowl. Fish were less likely to occur in ponds with dense growths of littoral vegetation. The compact growths of reed (Phragmites australis and Typha spp. in our case) can act as physical barriers preventing humans from accessing the pond and introducing the fish. Similarly, dense reeds may make ponds less attractive for certain waterfowl guilds64,65,66, thereby lowering probability of fish egg transport by birds. The effect of pond size on the presence of fish can represent a manifestation of the species-area relationship67. Additionally, larger ponds can be more attractive to water birds68 and they may also attract local anglers to turn them into unofficial fishing grounds51. Indeed, these larger ponds were frequently inhabited by ‘stocked’ assemblages, particularly common carp.
The decreasing probability of fish occurrence with increasing settlement distance suggests the important role of human-mediated dispersal. Road distance, another anthropogenic factor, has previously been shown to co-affect the spread of non-native fish into various types of ponds51,52. Similarly, Thomas et al38. linked the occurrence of non-native fish in various small standing water bodies to the proximity to densely populated areas. In our study, the distance from settlement was important for occurrence of all fish species, not just non-natives. According to the analysis, there was no significant difference in settlement distance among ponds with native, invasive and stocked assemblages. This lack of significant difference, however, may be related to relatively low sample size and the presence of several outliers. The data nonetheless suggest a tendency for stocked assemblages to occur closer to settlements and native assemblages to be located further away, a pattern also supported by environmental fitting.
As our study did not explicitly investigate the motivation behind fish introduction, we can only hypothesise on the motives for fish introductions in our system. The release of aquarium and ornamental fish is a well-documented pathway for non-native fish introductions into the pondscape51,52,69. However, this likely plays limited role in our system, as none of the recorded fish is commonly held in aquaria and only pumpkinseed is kept as an ornamental fish. Another widespread motivation for fish introductions is mosquito control, which is responsible for multiple introductions of mosquitofish (Gambusia affinis)22. Topmouth gudgeon, which resembles mosquitofish both physiologically and ecologically, may be perceived as suitable alternative under colder climatic conditions70. If local citizens are afraid that new ponds may serve as mosquito breeding sites, they may have introduced topmouth gudgeon in attempts to prevent outbreaks. Additional motivations for fish introductions may encompass using new ponds as baitfish reservoirs, an effort to “revive” seemingly “lifeless” ponds, or converting them into unofficial fishing grounds. All these motives, including unofficial mosquito control efforts, emerged during conversations with local anglers (M. Janáč, pers. obs.). As such, these hypotheses remain speculative and need dedicated research. However, at least one motive – using ponds as fishing grounds – is supported by our observations. Ponds with ‘stocked’ assemblages mainly consisted of common carp, often lacked juveniles and bore visible signs of angling activity (e.g., bait remnants, lost lines and hooks, anglers sitting spots; M. Janáč, pers. obs.). This aligns with findings by Thomas et al38., who suggested angling and associated bait release as one of the main drivers of non-native fish spread in small water bodies of Czechia, where a substantial portion of the population is engaged in recreational angling71.
While human-mediated dispersal appeared to be the primary vector of fish introductions in our study, this does not preclude other pathways of colonization. For instance, fish could reach some ponds located near streams if a flood temporarily connected these habitats. Although this was not the main dispersal pathway, as distance from the nearest water source had no effect on fish occurrence, it may explain the presence of a few species not typical of standing waters, such as tubenose goby (Proterorhinus semilunaris), vimba (Vimba vimba) and gudgeon (Gobio gobio). Similarly, although waterbird presence per se did not directly influence fish occurrence, several factors prevent us from completely ruling it out as a vector of fish dispersal. First, the analysis that showed no effect of waterfowl was conducted on a restricted dataset. Second, the effects of littoral vegetation width and pond area on fish presence may reflect the lower attractiveness of small ponds and ponds with dense littoral vegetation to waterfowl (see above). Lastly, the most common fish species recorded in the ponds (topmouth gudgeon, Prussian carp and rudd) are all phytophilic species, i.e. species that lay their eggs on aquatic vegetation, which may increase their susceptibility to transport by water birds.
Fish were detected in newly created ponds very soon after their construction. 40% of one-year-old ponds were already inhabited and the proportion of fishless ponds did not decrease with pond age at sampling, as would be expected if colonization was a purely random process. Similarly, the number of fish species was independent of pond age. These patterns suggest that fish colonization is not a result of natural ecological succession, which typically involves a gradual increase in species richness over time, as observed in other taxa44,72,73. Interestingly, native fish (mainly roach and rudd) were more commonly found in older ponds. As these species also appeared to occur in ponds further from the settlement (see above), this may suggest a stronger tendency for native species to colonize ponds through natural spread. A slower colonization pace has previously been observed in native fish colonizing beaver-created peatland ponds53.
Our study reveals that a significant proportion of newly constructed ponds do not remain fishless, as was originally intended. Given the rapid colonization and well-documented negative impacts of fish on pond biota, the original purpose of supporting biodiversity will be severely limited in many of these habitats. Their conservation value is further compromised by the dominance of invasive species in numerous ponds, including three species listed as invasive alien species of Union concern under EU Regulation 1143/2014. Moreover, these small water bodies may serve as stepping stones facilitating the spread of invasive species across the landscape74. Once invaded, alterations in physicochemical conditions, local biodiversity and ecosystem functioning may promote further invasions75,76.
As expected, the presence of invasive and stocked fish assemblages had negative effects on water quality and submerged vegetation, most probably due to their feeding behaviour. The feeding habits of common carp and Prussian carp (benthic digging, “roiling”) disturb the roots of submerged macrophytes, directly impacting their growth77,78. Furthermore, this type of feeding also causes sediment disturbance, increasing water turbidity36,78,79. Water turbidity is also indirectly elevated by topmouth gudgeon via strong predation pressure on zooplankton and resulting boost of phytoplankton80,81. This phytoplankton proliferation, in turn, competes with macrophytes for light and nutrients. Reduced water transparency further limits light availability, compounding the negative effects on macrophyte growth36,38,82. The loss of submerged vegetation can then trigger cascading negative impacts on other pond biota83,84.
In contrast, the effects of native fish assemblages appeared less detrimental. Ponds with native assemblages showed water transparency and macrophyte cover levels that approached those of fishless ponds. Similarly, Pearl et al. 63 reported that native fish lacked the detrimental effect on amphibians observed with non-native species. The relatively benign impact of native fish, particularly rudd, may be related to their feeding strategies (a combination of grazing, partial herbivory, and planktivory). These patterns could have implications for management of the constructed ponds, such as the intentional stocking of native fish to reduce the likelihood of colonization by non-native fish and subsequent negative effects. Before that, however, the effects of native fish on other pond biota and water quality must be thoroughly evaluated. This is especially important considering that poor water transparency in some fishless ponds was probably caused by heavy organic pollution and low oxygen levels that prevent fish survival. As a result, any potential negative impact of native fish on water quality might have remained undetected when using water transparency alone as a proxy.
Surprisingly, we have found no effect of fish biomass on water transparency or submerged vegetation cover. Our preliminary findings suggest that while seine sampling provides a stable picture of fish species composition and assemblage structure in the ponds, biomass estimates are highly variable (E. Palupová, unpublished data). This variability may reflect actual fluctuations in fish density due to environmental stressors (e.g., low water levels) or be the result of methodological limitations – such as inconsistent capture of large individuals – leading to bias in biomass estimation. Our results regarding fish biomass thus should be interpreted with caution.
Overall, our study demonstrates that ponds constructed to support biodiversity in Central European agricultural landscape are frequently and rapidly colonized by fish and that humans appear to be the primary vector. Fish presence undermines the conservation value of these habitats, and, in some cases, the ponds may even act as reservoirs for invasive fish species. Future efforts should focus on restricting fish spread into these biotopes (mostly by raising public awareness and implementing stricter controls on unofficial stocking, combined with managing undesired fish assemblage) and/or exploring alternative strategies for wetland protection and restoration in the region.
Methods
A total of 123 artificial ponds were sampled during two sampling campaigns in summer (late July and early August) of 2022 and 2023 in South Moravian Region of the Czech Republic. The purpose for construction of each pond was to support biodiversity and they all originally lacked fish. Ponds were sampled 1–14 years after construction, and each pond was sampled once. For each pond, we measured the maximal depth, bank slope, conductivity and water transparency and estimated the percentage of the pond area covered with submerged macrophytes, the width of littoral vegetation cover (i.e., continuous reed growth on the pond bank) and the percentage of banks covered with littoral vegetation, trees and being ‘bare‘ (i.e., without continuous vegetation cover higher than 0.5 m). Further, for each pond we measured its area, distance from the nearest road and settlement and distance from the nearest water source (stream or lentic water body other than newly constructed ponds) from the maps, and recorded pond age (time from pond construction at the time of sampling).
Each pond was sampled using a seine net (5 m length, mesh size 1 mm), with 3–6 hauls conducted at each pond. Where eligible, sampling was supplemented by larger seine net hauls (15 m length, 4 mm mesh size; for larger ponds) and/or dipnetting (dipnet 35 cm in diameter, mesh size 2 mm; for pond parts with dense aquatic vegetation that prevented the use of hauls). The distance of each haul was measured, allowing quantification of the area of each haul and dipnet sample. Each fish was identified to the species and measured (0 + fish were only assigned to a size category). The overall biomass of each species was weighed, and the relative biomass per seined area (g.m− 2) was calculated (entering all analyses log-transformed).
Generalized linear mixed models (GLMMs, Bernoulli distribution of errors) were used to determine which of the predictors affected the presence of fish. In some cases, multiple ponds from the same location were sampled. The location, therefore, was included in the models as a random effect. Before the analysis, all continuous predictors were scaled (zero mean, unit standard deviation). The variance inflation factor (VIF) was calculated for each predictor to control for possible colinearity. Strongly correlated predictors were removed so that all the predictors in the null model had a VIF < 2. The null model contained following predictors: pond age, maximal depth, bank slope, conductivity, littoral vegetation width, percentage of bare bank (i.e., without littoral vegetation or trees), road distance, distance to nearest settlement and water source distance. Backward stepwise procedure was conducted to select the final model, with each two nested models being compared via both the likelihood-ratio test and AICc (models with difference of < 2 AICc were considered equal, and a more parsimonious model was preferred85,86;). The residuals of the final model were checked visually, and each model was controlled for possible overdispersion.
If pond colonization were a random process, the cumulative probability of introduction would be expected to increase over time. Therefore, we have also specifically tested whether the absence of fish and the number of fish species were related to the pond age using GLMM (Bernoulli and Poisson distribution of errors, respectively).
Additionally, we gathered data on the abundance and diversity of wetland birds at 28 ponds. From late April to late June in 2022 and 2023, two surveys were conducted at each pond, during which the occurrence of all wetland bird species was recorded visually and acoustically along a standardized linear route around all water bodies. The abundance of each bird species was determined as the highest value from the two surveys. We calculated the diversity and total abundance of four bird orders that can possibly transport fish eggs (Anseriformes, Gruiformes, Charadriiformes [only the Charadrii suborder] and Pelecaniformes). As these two parameters were strongly correlated (Pearson correlation coefficient, r = 0.882, P < 0.001), we used only water bird diversity for further analysis. The same procedure (backward stepwise logistic regression) was then repeated on the reduced dataset, with the water-bird diversity as one of the predictors (due to the limited number of observations, we have reduced the pool of predictors only to the predictors that were significant in the final model of the previous analysis with the addition of waterbird diversity).
Based on the assemblage structure, we classified the fish assemblages into three groups, depending on which species contributed more than 50% of the biomass (i.e., dominated the assemblage):
-
1)
‘stocked’ assemblage (14 ponds), dominated by large fish commonly stocked in fish farming ponds: common carp (Cyprinus carpio), European catfish (Silurus glanis), pike (Esox lucius), pikeperch (Sander lucioperca), common-bream (Abramis brama) and white bream (Blicca bjoerkna). Most of these assemblages were dominated simply by common carp and our samples often lacked younger age classes, suggesting that these fish do not reproduce in these ponds and were, therefore, likely stocked.
-
2)
‘native’ assemblage (19 ponds), dominated by small- to medium-sized native fish commonly found in natural ponds: rudd (Scardinius erythrophthalmus), roach (Rutilus rutilus), tench (Tinca tinca), sunbleak (Leucaspius delineatus), bleak (Alburnus alburnus), European bitterling (Rhodeus amarus), ruffe (Gymnocephalus cernua) and perch (Perca fluviatilis).
-
3)
‘invasive’ assemblage (39 ponds), dominated by non-native species that form invasive populations: topmouth gudgeon (Pseudorasbora parva), Prussian carp (Carassius gibelio), pumpkinseed (Lepomis gibbosus) and black bullhead (Ameiurus melas).
Non-metric multidimensional scaling (NMDS), based on quantitative Bray-Curtis dissimilarity matrix was used to visualize fish assemblage similarities among the ponds that hosted fish. Permutational multiple analysis of variance (PERMANOVA, based on the same dissimilarity matrix) was then used to confirm dissimilarities in assemblage structure among the predetermined fish assemblage groups. Vector fitting to the first two NMDS axes was used to determine the environmental variables that were significantly correlated with assemblage structure. Linear mixed models (LMMs) were then used to compare these significant environmental variables among the pre-determined fish assemblage groups. Tukey HSD approach was used to control for type II error in multiple post-hoc pairwise comparisons in all the models.
To detect the effects of the presence of fish and assemblage type on water transparency and the proportion of submerged macrophyte cover, we first compared these two variables among the three predetermined assemblage types and the fishless ponds. Furthermore, for the ponds that contained fish, we also tested whether including fish relative biomass would affect the differences among the three assemblage types (the models included assemblage type, biomass and their interaction). Their effects on water transparency and proportion of submerged macrophyte cover were tested using LMM and GLMM (binomial distribution of errors, with observation-level random effects added to avoid overdispersion), respectively, followed by the Tukey HSD approach for post-hoc testing. All analyses were conducted using R 4.3.187., using packages car88, lme489, lmtest90, MuMIn91, multcomp92 and vegan93.
Data availability
The datasets generated during and/or analysed during the current study are available from the corresponding author on reasonable request.
References
Arthington, A. H. Environmental Flows: Saving Rivers in the Third Millennium (University of California Press, 2012). https://doi.org/10.1525/california/9780520273696.001.0001.
Reid, A. J. et al. Emerging threats and persistent conservation challenges for freshwater biodiversity. Biol. Rev. 94, 849–873 (2019).
Tickner, D. et al. Bending the curve of global freshwater biodiversity loss: an emergency recovery plan. BioScience 70, 330–342 (2020).
Davies, B. et al. Comparative biodiversity of aquatic habitats in the European agricultural landscape. Agric. Ecosyst. Environ. 125, 1–8 (2008).
Céréghino, R., Boix, D., Cauchie, H. M., Martens, K. & Oertli, B. The ecological role of ponds in a changing world. Hydrobiologia 723, 1–6 (2014).
Biggs, J., Von Fumetti, S. & Kelly-Quinn, M. The importance of small waterbodies for biodiversity and ecosystem services: implications for policy makers. Hydrobiologia 793, 3–39 (2017).
Hull, A. Pond Life Project, Liverpool, UK,. The pond life project: a model for conservation and sustainability. in British Pond Landscapes: Actions for Protection and Enhancement, Proceedings of the UK Conference of the Pond Life Project 101–109 (1997).
Oertli, B. et al. Conservation and monitoring of pond biodiversity: introduction. Aquat. Conserv. Mar. Freshw. Ecosyst. 15, 535–540 (2005).
Fluet-Chouinard, E. et al. Extensive global wetland loss over the past three centuries. Nature 614, 281–286 (2023).
Hill, M. J. et al. Pond ecology and conservation: research priorities and knowledge gaps. Ecosphere 12, e03853 (2021).
Oertli, B., Céréghino, R., Hull, A. & Miracle, R. Pond conservation: from science to practice. Hydrobiologia 634, 1–9 (2009).
Hassall, C., Hill, M. J., Gledhill, D. & Biggs, J. The ecology and management of urban pondscapes. In Urban Landscape Ecology: science, Policy and Practice 129–147 (Routledge, 2016).
Hill, M. J. et al. Pond Conservation in Europe (Springer Netherlands, 2010). https://doi.org/10.1007/978-90-481-9088-1.
Akasaka, M. & Takamura, N. Hydrologic connection between ponds positively affects macrophyte α and γ diversity but negatively affects β diversity. Ecology 93, 967–973 (2012).
Arntzen, J. W., Abrahams, C., Meilink, W. R. M., Iosif, R. & Zuiderwijk, A. Amphibian decline, pond loss and reduced population connectivity under agricultural intensification over a 38 year period. Biodivers. Conserv. 26, 1411–1430 (2017).
Hill, M. J., Heino, J., White, J. C., Ryves, D. B. & Wood, P. J. Environmental factors are primary determinants of different facets of pond macroinvertebrate alpha and beta diversity in a human-modified landscape. Biol. Conserv. 237, 348–357 (2019).
Erwin, K. L. Wetlands and global climate change: the role of wetland restoration in a changing world. Wetl Ecol. Manag. 17, 71–84 (2009).
Drayer, A. N. & Richter, S. C. Physical wetland characteristics influence amphibian community composition differently in constructed wetlands and natural wetlands. Ecol. Eng. 93, 166–174 (2016).
Zhang, C. et al. Can constructed wetlands be wildlife refuges? A review of their potential biodiversity conservation value. Sustainability 12, 1442 (2020).
Hill, M. J. et al. New policy directions for global pond conservation. Conserv. Lett. 11, e12447 (2018).
Oertli, B. & Editorial Freshwater biodiversity conservation: the role of artificial ponds in the 21st century. Aquat. Conserv. Mar. Freshw. Ecosyst. 28, 264–269 (2018).
Oertli, B., Parris, K. M. & Review Toward management of urban ponds for freshwater biodiversity. Ecosphere 10, e02810 (2019).
Shulse, C. D., Semlitsch, R. D., Trauth, K. M. & Williams, A. D. Influences of design and landscape placement parameters on amphibian abundance in constructed wetlands. Wetlands 30, 915–928 (2010).
Zamora-Marín, J. M. et al. Contribution of artificial waterbodies to biodiversity: A glass half empty or half full? Sci. Total Environ. 753, 141987 (2021).
Denton, R. D. & Richter, S. C. Amphibian communities in natural and constructed ridge top wetlands with implications for wetland construction: amphibian communities in constructed wetlands. J. Wildl. Manag. 77, 886–896 (2013).
Moor, H. et al. Bending the curve: simple but massive conservation action leads to landscape-scale recovery of amphibians. Proc. Natl. Acad. Sci. 119, e2123070119 (2022).
Moor, H. et al. Building pondscapes for amphibian metapopulations. Conserv. Biol. 38, e14165 (2024).
Chase, J. M., Biro, E. G., Ryberg, W. A. & Smith, K. G. Predators temper the relative importance of stochastic processes in the assembly of prey metacommunities. Ecol. Lett. 12, 1210–1218 (2009).
Gobel, N. et al. Fish modulate how connectivity and local factors shape food webs of permanent ponds. Oikos 2025, e11062 (2025).
Braña, F., Frechilla, L. & Orizaola, G. Effect of introduced fish on amphibian assemblages in mountain lakes of Northern Spain. Herpetol J. 6, 145–148 (1996).
Denoël, M. & Lehmann, A. Multi-scale effect of landscape processes and habitat quality on Newt abundance: implications for conservation. Biol. Conserv. 130, 495–504 (2006).
Falaschi, M. et al. Long-term drivers of persistence and colonization dynamics in spatially structured amphibian populations. Conserv. Biol. 35, 1530–1539 (2021).
Knapp, R. A., Matthews, K. R. & Sarnelle, O. Resistance and resilience of alpine lake fauna to fish introductions. Ecol. Monogr. 71, 401–421 (2001).
Pyke, G. H. Plague minnow or mosquito fish? A review of the biology and impacts of introduced Gambusia species. Annu. Rev. Ecol. Evol. Syst. 39, 171–191 (2008).
Drenner, S. M., Dodson, S. I. & Drenner, R. W. Pinder Iii, J. E. Crustacean zooplankton community structure in temporary and permanent grassland ponds. Hydrobiologia 632, 225–233 (2009).
Scheffer, M., Hosper, S. H., Meijer, M. L., Moss, B. & Jeppesen, E. Alternative equilibria in shallow lakes. Trends Ecol. Evol. 8, 275–279 (1993).
Richardson, M. J., Whoriskey, F. G. & Roy, L. H. Turbidity generation and biological impacts of an exotic fish Carassius auratus, introduced into shallow seasonally anoxic ponds. J. Fish. Biol. 47, 576–585 (1995).
Thomas, K. et al. Anthropogenic induced drivers of fish assemblages in small water bodies and conservation implications. Ecohydrol Hydrobiol. https://doi.org/10.1016/j.ecohyd.2024.11.003 (2024).
Knutson, M. G. et al. Agricultural ponds support amphibian populations. Ecol. Appl. 14, 669–684 (2004).
Sexton, O. J. & Phillips, C. A qualitative study of fish-amphibian interactions in 3 Missouri ponds. Trans. Mo Acad. Sci. 20, 25–35 (1986).
Petranka, J. W. & Holbrook, C. T. Wetland restoration for amphibians: should local sites be designed to support metapopulations or patchy populations? Restor. Ecol. 14, 404–411 (2006).
Smith, R. K., Meredith, H. & Sutherland, W. J. Amphibian Conservation. in What Works in Conservation 9–64Open Book Publishers, Cambridge, UK, (2020).
Stumpel, A. H. P. & van der Voet, H. Characterizing the suitability of new ponds for amphibians. Amphib -Reptil. 19, 125–142 (1998).
Baker, J. & Halliday, T. Amphibian colonization of new ponds in an agricultural landscape. Herpetol J. 9, 55–63 (1999).
Becerra Jurado, G., Matson, R., Harrington, R., Baars, J. R. & Kelly-Quinn, M. Macroinvertebrate diversity in constructed ponds: community structure and driving environmental factors. SIL Proc. 1922–2010. 30, 489–492 (2008).
Briggs, A., Pryke, J. S., Samways, M. J. & Conlong, D. E. Macrophytes promote aquatic insect conservation in artificial ponds. Aquat. Conserv. Mar. Freshw. Ecosyst. 29, 1190–1201 (2019).
Garrett-Walker, J. & Collier, K. J. Characterisation of constructed ponds and factors influencing their macroinvertebrate communities on the lower Waikato river floodplain, new Zealand. N Z. J. Mar. Freshw. Res. 55, 550–564 (2021).
Woods, L. M., Biro, E. G., Yang, M. & Smith, K. G. Does regional diversity recover after disturbance? A field experiment in constructed ponds. PeerJ 4, e2455 (2016).
Juračka, P. J. et al. Spatial context strongly affects community composition of both passively and actively dispersing pool invertebrates in a highly heterogeneous landscape. Freshw. Biol. 64, 2093–2106 (2019).
Snodgrass, J. W., Bryan, A. L. Jr., Lide, R. F. & Smith, G. M. Factors affecting the occurrence and structure of fish assemblages in isolated wetlands of the upper coastal plain, U.S.A. Can. J. Fish. Aquat. Sci. 53, 443–454 (1996).
Copp, G. H., Wesley, K. J. & Vilizzi, L. Pathways of ornamental and aquarium fish introductions into urban ponds of Epping forest (London, England): the human vector*. J. Appl. Ichthyol. 21, 263–274 (2005).
Kizuka, T., Akasaka, M., Kadoya, T. & Takamura, N. Visibility from roads predict the distribution of invasive fishes in agricultural ponds. PLoS ONE. 9, e99709 (2014).
Ray, H. L., Ray, A. M. & Rebertus, A. J. Rapid establishment of fish in isolated peatland beaver ponds. Wetlands 24, 399–405 (2004).
Gould, J., Callen, A., Beranek, C. & McHenry, C. The only way is down: placing amphibian ponds on plateaux protects against Gambusia colonization. Restor. Ecol. 32, e14159 (2024).
Silva, G. G. et al. Killifish eggs can disperse via gut passage through waterfowl. Ecol. 100, 1–4 (2019).
Lovas-Kiss, Á. et al. Experimental evidence of dispersal of invasive cyprinid eggs inside migratory waterfowl. Proc. Natl. Acad. Sci. 117, 15397–15399 (2020).
Wellborn, G. A., Skelly, D. K. & Werner, E. E. Mechanisms creating community structure across a freshwater habitat gradient. Annu. Rev. Ecol. Syst. 27, 337–363 (1996).
Hamer, A. J. & Parris, K. M. Predation modifies larval amphibian communities in urban wetlands. Wetlands 33, 641–652 (2013).
Kloskowski, J. Better desiccated than eaten by fish: distribution of anurans among habitats with different risks to offspring. Freshw. Biol. 65, 2124–2134 (2020).
Scott, D. E., Metts, B. S. & Whitfield Gibbons, J. Enhancing amphibian biodiversity on golf courses with seasonal wetlands. In Urban Herpetology 285–292 (SSAR, Salt Lake City, 2008).
Calhoun, A. J. K., Arrigoni, J., Brooks, R. P., Hunter, M. L. & Richter, S. C. Creating successful vernal pools: A literature review and advice for practitioners. Wetlands 34, 1027–1038 (2014).
Collinson, N. H. et al. Temporary and permanent ponds: an assessment of the effects of drying out on the conservation value of aquatic macroinvertebrate communities. Biol. Conserv. 74, 125–133 (1995).
Pearl, C. A., Adams, M. J., Leuthold, N. & Bury, R. B. Amphibian occurrence and aquatic invaders in a changing landscape: implications for wetland mitigation in the willamette valley, Oregon, USA. Wetl. 25, 76–88 (2005).
Suter, W. Overwintering waterfowl on Swiss lakes: how are abundance and species richness influenced by trophic status and lake morphology? Hydrobiologia 279–280, 1–14 (1994).
Broyer, J. & Calenge, C. Influence of fish-farming management on Duck breeding in French fish pond systems. Hydrobiologia 637, 173–185 (2010).
Vulink, J. T., Van Eerden, M. R. & Drent, R. H. Abundance of migratory and wintering geese in relation to vegetation succession in Man-Made wetlands: the effects of grazing regimes. Ardea 98, 319–327 (2010).
Drakare, S., Lennon, J. J. & Hillebrand, H. The imprint of the geographical, evolutionary and ecological context on species–area relationships. Ecol. Lett. 9, 215–227 (2006).
Sebastián-González, E. & Green, A. J. Habitat use by waterbirds in relation to pond size, water depth, and isolation: lessons from a restoration in Southern Spain. Restor. Ecol. 22, 311–318 (2014).
Novák, J. et al. Ornamental aquaculture significantly affected by the Czech aquarium phenomenon. Aquaculture 555, 738259 (2022).
Zhao, T. Y. & Xue, R. D. Integrated mosquito management in rice field in China. Wetl Ecol. Manag. 30, 963–973 (2022).
Boukal, D. S., Jankovský, M., Kubečka, J. & Heino, M. Stock–catch analysis of carp recreational fisheries in Czech reservoirs: insights into fish survival, water body productivity and impact of extreme events. Fish. Res. 119–120, 23–32 (2012).
Laan, R. & Verboom, B. Effects of pool size and isolation on amphibian communities. Biol. Conserv. 54, 251–262 (1990).
Miguel-Chinchilla, L., Boix, D., Gascón, S. & Comín, F. A. Macroinvertebrate biodiversity patterns during primary succession in manmade ponds in north-eastern Spain. J Limnol 73, (2014).
Vander Zanden, M. J. & Olden, J. D. A management framework for preventing the secondary spread of aquatic invasive species. Can. J. Fish. Aquat. Sci. 65, 1512–1522 (2008).
Strayer, D. L. Alien species in fresh waters: ecological effects, interactions with other stressors, and prospects for the future. Freshw. Biol. 55, 152–174 (2010).
Gallardo, B., Clavero, M., Sánchez, M. I. & Vilà, M. Global ecological impacts of invasive species in aquatic ecosystems. Glob Change Biol. 22, 151–163 (2016).
Roberts, J., Chick, A., Oswald, L. & Thompson, P. Effect of carp, Cyprinus Carpio L., an exotic benthivorous fish, on aquatic plants and water quality in experimental ponds. Mar. Freshw. Res. 46, 1171 (1995).
Saqira, S., Chariton, A. & Hose, G. C. Multiple stressors unpredictably affect primary producers and decomposition in a model freshwater ecosystem. Environ. Pollut. 347, 123680 (2024).
Ruppert, J. L. W. et al. Native freshwater species get out of the way: Prussian carp (Carassius gibelio) impacts both fish and benthic invertebrate communities in North America. R Soc. Open. Sci. 4, 170400 (2017).
Kajgrová, L. et al. Negative effects of undesirable fish on common carp production and overall structure and functioning of fishpond ecosystems. Aquaculture 549, 737811 (2022).
Adámek, Z., Všetičková, L., Mikl, L. & Šlapanský, L. Habitat preferences and Limnological impact of Topmouth gudgeon (Pseudorasbora parva) population in a small pond. Biol. (Bratisl). 79, 3107–3117 (2024).
Britton, J. R., Davies, G. D. & Harrod, C. Trophic interactions and consequent impacts of the invasive fish Pseudorasbora Parva in a native aquatic foodweb: a field investigation in the UK. Biol. Invasions. 12, 1533–1542 (2010).
Purrenhage, J. L. & Boone, M. D. Amphibian community response to variation in habitat structure and competitor density. Herpetologica 65, 14–30 (2009).
Germ, M., Tertinek, Ž. & Zelnik, I. Diversity of macrophytes and macroinvertebrates in different types of standing waters in the Drava field. Water 16, 1130 (2024).
Burnham, K. P. & Anderson, D. R. Model Selection and Multimodel Inference (Springer New York, 2004). https://doi.org/10.1007/b97636.
Zuur, A. F., Ieno, E. N., Walker, N., Saveliev, A. A. & Smith, G. M. Mixed Effects Models and Extensions in Ecology with R (Springer New York, 2009). https://doi.org/10.1007/978-0-387-87458-6.
R Core Team. R: A Language and Environment for Statistical Computing (R Foundation for Statistical Computing, 2023).
Fox, J. & Weisberg, S. An R Companion to Applied Regression (Sage, 2019).
Bates, D., Mächler, M., Bolker, B. & Walker, S. Fitting linear mixed-effects models using lme4. J. Stat. Softw. 67, 1–48 (2015).
Zeileis, A. & Hothorn, T. Diagnostic checking in regression relationships. R News. 2, 7–10 (2002).
Bartoń, K. MuMIn: Multi-Model Inference. (2023).
Hothorn, T., Bretz, F. & Westfall, P. Simultaneous inference in general parametric models. Biom J. 50, 346–363 (2008).
Oksanen, J. et al. Vegan: Community Ecology Package. (2022).
Acknowledgements
We thank R. Formánek, A. Šindelářová, K. Pospíšil, Z. Jurajdová and J. Urbásek for their help with fish sampling, and G. Štětková, G. Čamlík, K. Horák, O. Hofer and P. Berka for their help with water bird surveys. We are much indebted to representatives of the Nature Conservation Agency of the Czech Republic for their cooperation. This study was supported by the Technology Agency of the Czech Republic (TA ČR), Grant No. SS06010189.
Funding
This study was supported by the Technology Agency of the Czech Republic (TA ČR), Grant No. SS06010189.
Author information
Authors and Affiliations
Contributions
Author contributions (in accordance with the CRediT): Conceptualization: M. Janáč, P. Jurajda, H. Sychra; Methodology: M. Janáč; Investigation: all authors; Formal analysis: M. Janáč; Writing – original draft: M. Janáč; Writing – Review & Editing: all authors; Visualization: M. Janáč; Funding acquisition: J. Bojková, M. Janáč.
Corresponding author
Ethics declarations
Competing interests
The authors declare no competing interests.
Ethics
All procedures were carried out in accordance with permission from the national and regional environmental protection authorities (national: MZE-56505/2021–13114, regional: MUBR 173371/2023 and MUMI23052958). Fish were caught and handled according to national laws, guidelines, and policies, based on the permissions of local water rights holders. All methods are reported in accordance with ARRIVE guidelines.
Additional information
Publisher’s note
Springer Nature remains neutral with regard to jurisdictional claims in published maps and institutional affiliations.
Supplementary Information
Below is the link to the electronic supplementary material.
Rights and permissions
Open Access This article is licensed under a Creative Commons Attribution-NonCommercial-NoDerivatives 4.0 International License, which permits any non-commercial use, sharing, distribution and reproduction in any medium or format, as long as you give appropriate credit to the original author(s) and the source, provide a link to the Creative Commons licence, and indicate if you modified the licensed material. You do not have permission under this licence to share adapted material derived from this article or parts of it. The images or other third party material in this article are included in the article’s Creative Commons licence, unless indicated otherwise in a credit line to the material. If material is not included in the article’s Creative Commons licence and your intended use is not permitted by statutory regulation or exceeds the permitted use, you will need to obtain permission directly from the copyright holder. To view a copy of this licence, visit http://creativecommons.org/licenses/by-nc-nd/4.0/.
About this article
Cite this article
Janáč, M., Bojková, J., Hnilička, M. et al. Factors affecting colonization and assemblage structure of fish in newly created ponds. Sci Rep 15, 43146 (2025). https://doi.org/10.1038/s41598-025-27349-3
Received:
Accepted:
Published:
Version of record:
DOI: https://doi.org/10.1038/s41598-025-27349-3







