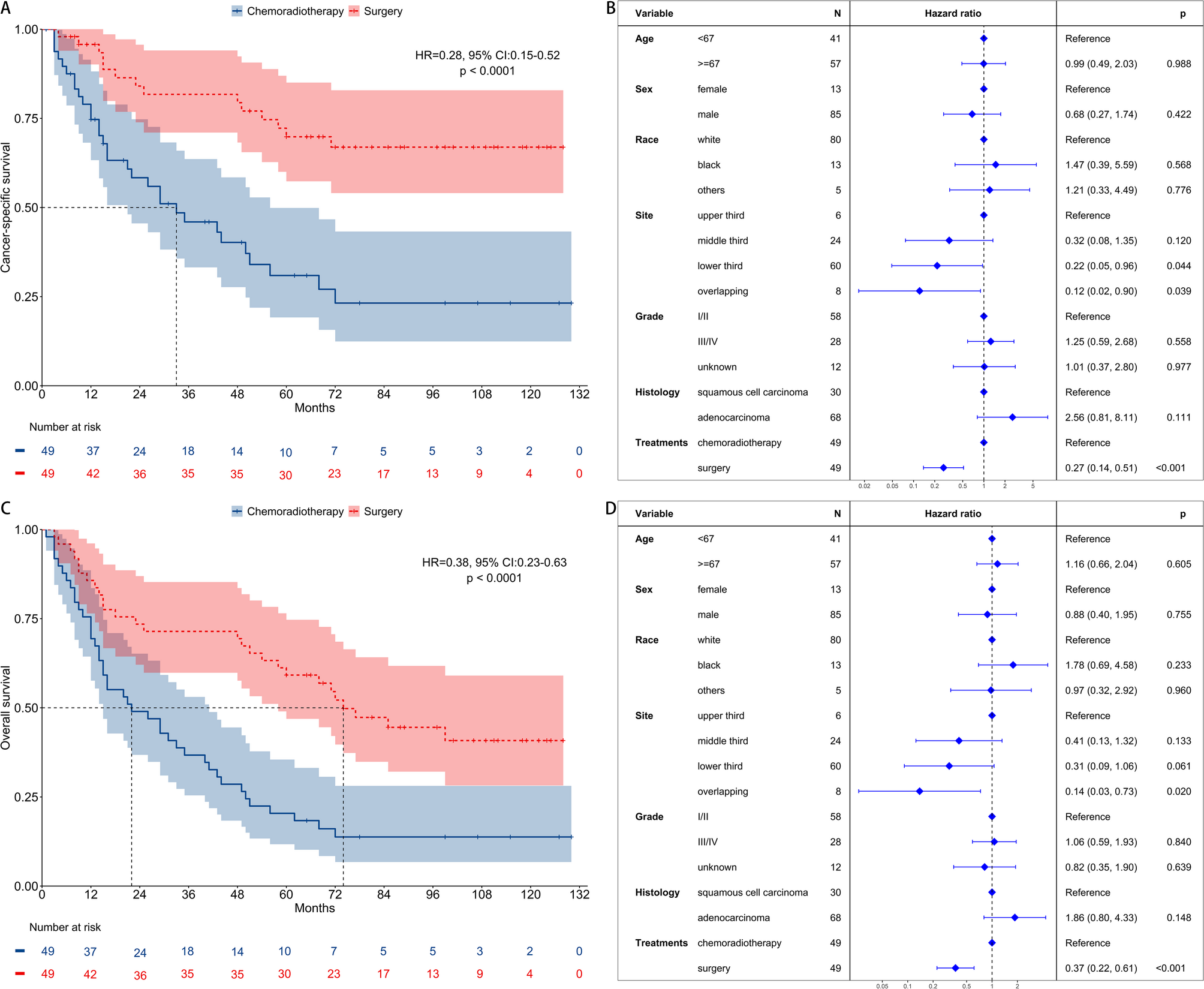
Fig. 4

Survival outcomes in the propensity-matched cohort of patients. (A) Comparison of cancer-specific survival between chemoradiotherapy and surgery. (B) Multivariable proportional hazards regression analysis of cancer-specific survival. (C) Comparison of overall survival between chemoradiotherapy and surgery. (D) Multivariable proportional hazards regression analysis of overall survival.