Fig. 5
From: Impact of collateral flow on recanalization in different thrombectomy techniques

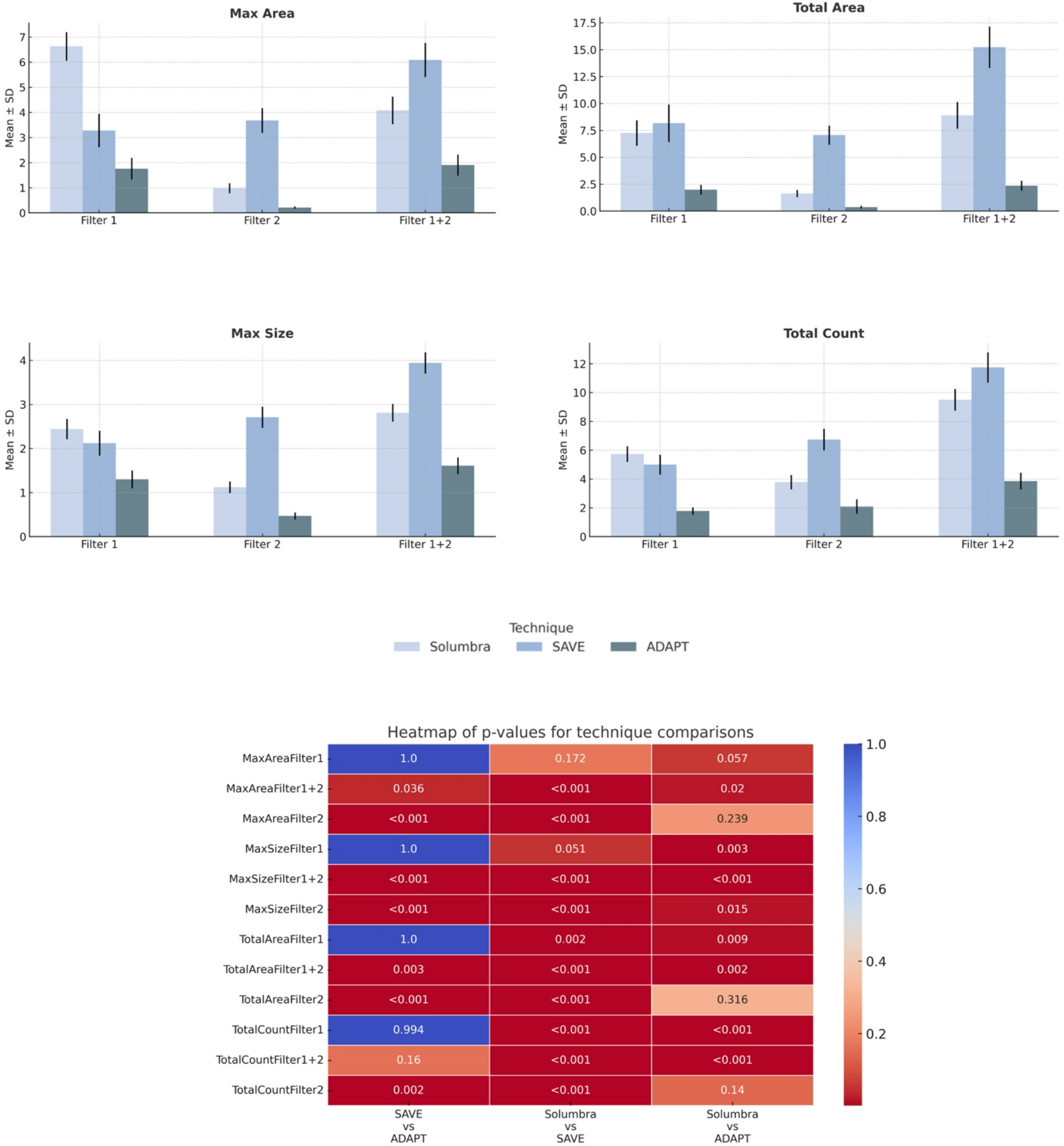
Distal emboli parameters (Max Area, Total Area, Max Size, Total Count) for filter 1, filter 2, and both filters combined (filter 1 + 2) grouped by technique (complete and partial SR retraction and direct aspiration techniques) with p-value heatmap.