Abstract
This paper investigates the spatiotemporal patterns of aerosol optical depth (AOD) over 25 wetlands and lakes in Iran during the period 2000–2024. Monthly AOD values were integrated with climate and terrestrial variables. Trend analysis was performed using the Hamed-Rao Mann-Kendall test and Sen’s slope estimator. The results indicated that AOD increased by 8 and 12% over Iran’s water bodies in winter and autumn, respectively, while no significant increasing trends were observed in spring and summer. Annually, 8% of Iranian wetlands faced a significant increasing trend in AOD, which mostly occurred over the Jazmourian and Sheedvar wetlands (Z > 2.5). Seasonally, a notable increasing trend occurred over the Amirkelayeh, Parishan, and Mighan wetlands, as well as Lake Urmia (Z > 3). Using Random Forest and XGBoost models combined with SHAP analysis, it was determined that AOD changes were primarily associated with wind speed and vegetation cover in Jazmourian, and with salinity and soil moisture in the Parishan wetland. Terrestrial factors (80.3%) had a greater contribution to the degradation of air quality in both wetlands compared to climatic factors (19.7%). These findings are useful for understanding the synergy between natural and anthropogenic factors governing air quality in aquatic ecosystems in Iran.
Similar content being viewed by others
Introduction
Wetland ecosystems consist of estuaries, lakes, floodplains, marshes, rivers, fens, peatlands, mangroves, and coral reefs1, and are also referred to as transitional lands between aquatic and terrestrial ecosystems2. Wetlands provide 40% of the world’s ecosystem services, but cover only around 6% of the Earth’s surface3. Due to the well-known ecosystem services of wetlands, including greenhouse gas reduction, water purification, carbon sequestration, shoreline protection, regulation of the hydrological cycle, flood mitigation, drought mitigation, and protection of habitats from nutrient erosion, they are referred to as the kidneys of nature4. Wetlands are equally important in the mitigation of dust storms in arid and semi-arid environments, through trapping of dust particles and increasing the soil moisture and vegetation cover of the surrounding regions5,6. In the Ramsar Convention’s foundation, one of the first modern multilateral environmental conventions to promote worldwide cooperation and effective wetlands management for wetland conservation, 27 Iranian wetlands covering around 1.5 million hectares are of worldwide importance (https://rsis.ramsar.org/). The total average adjusted ecosystem service value per hectare of Iran’s inland wetland ecosystems and coastal mangrove wetland ecosystems is estimated to be 67,665 and 42,171 USD, respectively7.
Currently, due to climate change and human intervention, wetlands in most parts of the world are at high risk of destruction or conversion to different uses8. Among the threatening factors that affect the life of wetlands are population growth and urban development, industrialization, agriculture, waste incineration, global warming, drought, and dam construction9,10,11. Iran is one of the most susceptible countries in the world in terms of climate change and its consequences12,13. This is due to the reason that approximately 76.4% and 19.6% of its land surface lie in arid and semi-arid regions, respectively2,14. On the other hand, wetlands in arid regions have become a source of dust due to their dry beds and increased susceptibility to wind erosion15. Most wetlands of arid regions of the world, including Iran, are currently transitioning from a wet to a completely dry condition under climatic and anthropogenic conditions such as increasing temperature, decreasing rain, and prolonged dryness16,17,18,19. These changes cause wetland soil to be more exposed to direct sunlight and wind, thus getting dry and susceptible to dust emissions. During strong winds and gales, these areas become active sources of dust storms, since alluvial silt and fine dust particles are easily lifted into the atmosphere and transported over long distances20. Drought and water shortage in Iran during the recent years have resulted in devastating effects on various ecosystems21,22, including wetlands23, and have caused serious environmental problems such as dust storms24. Despite many efforts to restore and protect wetlands, all of Iran’s inland wetlands are in the final stages of their life and are drying up rapidly during the last decades25. Therefore, targeted environmental monitoring in these vital ecosystems is essential.
Atmospheric aerosols and dust particles directly and indirectly affect global climate, through absorbing and scattering of solar and terrestrial radiations26. Furthermore, aerosols carrying toxic elements may become important atmospheric pollutants through physical and chemical interactions in the presence of sunlight and negatively affect public health27, as well as economic activities28. For this reason, the World Health Organization (WHO) set strict limits on the concentration of particulate matter (PM) in atmospheric air. Aerosols are widely used as an uncertain but important indicator in research on climate change and atmospheric radiative balance29.
Aerosol optical depth (AOD) is one of the most important optical parameters that considers the amount of aerosols and the level of local air pollution to some extent. Therefore, AOD has a great impact on regional and even global climate, atmospheric radiation budget, and atmospheric circulation30. Nowadays, Moderate Resolution Imaging Spectroradiometer (MODIS) provides daily satellite AOD dataset with high spatial resolution27,31. Wang, et al.29 studied the spatiotemporal characteristics of dust content in Central Asia. Their findings indicated an increasing trend of dust in Kazakhstan, Uzbekistan, and Turkmenistan. In this regard, Dadashi-Roudbari and Ahmadi32 showed that the southern parts of Iran are among the major aerosol hotspots in Southwest Asia and have witnessed an increase in MODIS AOD values in recent years. Sharma, et al.33 explored the effect of land use land cover (LULC) on AOD across India and identified that LULC characteristics are a major determining factor on aerosol concentration in the air, while similar findings were obtained over Iran through exploration of the LULC changes versus aerosols and air pollution policy34. Solanki and Pathak35 investigated the spatial and temporal variability of AOD over major Indian urban agglomerations using satellite data. In addition, sadat Afzalizadeh, et al.16 investigated the relationship between MODIS AOD and land surface properties in a dried watershed in Iran as a source of dust dispersion.
In recent decades, machine learning (ML) algorithms have gained significant popularity for predicting AOD and PM2.5 concentrations in various regions of the world, including west Asia36, Middle East and North Africa Regions37, and Iran38. AOD variations are influenced by several atmospheric, topographic and meteorological factors, which, especially over water bodies, may have complex relationships with AOD. Therefore, the use of ML algorithms is a valuable approach to understanding the factors affecting AOD changes.
Although several studies have analyzed the AOD trends in various regions of Iran39,40,41, a comprehensive study focusing on the trend analysis of AOD over Iran’s inland wetlands and lakes, and the identification of driving factors using ML algorithms combined with SHapley Additive exPlanations (SHAP), has not yet been performed. Therefore, the present study seeks to fill these research gaps, aiming to analyze the trend of temporal changes in AOD over Iran’s inland wetlands and lakes using the Hamed-Rao Mann-Kendall test and Sen’s slope estimator. Another important goal is to identify the main driving factors influencing AOD over the water bodies that have experienced the greatest decline and adverse effects on air quality during the past 25 years (2000–2024). It is worth noting that the increase in aerosol levels may be due to natural phenomena such as wave breaking and wind interaction and not due to adverse environmental consequences. Present findings may assist policy managers and decision-makers in implementing effective measures to reduce aerosol pollution and improve air quality in residential areas surrounding these valuable aquatic ecosystems.
Study area
Iran is a country with a population of about 87 million and an area of 1.648 million km2 located in Southwest Asia and the Middle East. Most of its land is located in the arid region of the world14. There are 84 important wetlands in Iran, covering a total area of over 20 million hectares42, of which 32%, with an area of about 1.5 million hectares, are registered in the Ramsar Convention (https://rsis.ramsar.org/). To investigate the objectives of the present study, 20 inland lakes and wetlands of international importance and 7 other significant water bodies were selected. The geographical distribution of the studied wetlands, which are mostly spread in the northern and western regions of Iran, is shown in Fig. 1. Based on the Shuttle Radar Topography Mission (SRTM) imagery, the elevation above sea level in the studied wetlands ranges from − 31 m in Anzali Wetland to 2271 m asl in Choghakhor Wetland. The long-term average rainfall over the past 25 years (2000–2024) varied from approximately 80 mm in the Hamun Wetlands located in southeastern Iran to over 1200 mm in the Bujagh and Anzali Wetlands in the north. During the same period, the variation of the land surface temperature (LST) of the wetlands and lakes was from about 15 °C in Lake Urmia in northwestern Iran to over 40 °C in the Hamun Wetland, Delta-Rud-e-Shur-Shirin, and Khuran Wetland in the southern half of Iran (Table 1).
Materials and methods
Figure 2 shows the key steps followed in the present research methodology, which are as follows:
-
Daily Aerosol Optical Depth (AOD) data acquisition.
-
Trend analysis of AOD variations at monthly, seasonal, and annual scales over the lakes and wetlands in Iran.
-
Identification of the key aerosol driving factors and their relationship with AOD in the lakes and wetlands exhibiting AOD rising trends.
A detailed description of each methodology step is provided below.
Data acquisition
Target factor (AOD data sets)
In the present study, AOD has been considered as the target variable. The MCD19A2 product, provided by the Moderate Resolution Imaging Spectroradiometer (MODIS) at a daily temporal scale and with a spatial resolution of 1 km, was used to extract AOD over 27 lakes and wetlands in Iran. This product, which extracts the concentration of atmospheric aerosols in two (blue and green) bands (0.47 and 0.55 μm) based on the Multi-Angle Implementation of Atmospheric Correction (MAIAC) algorithm, was downloaded over the studied lakes and wetlands from 2000 to 2024 through the Google Earth Engine (GEE) system (https://earthengine.google.com).
In the present study, in order to ensure the quality of the data, quality control filters were performed using the AOD_QA band. In this step, pixels were selected that had the conditions of “clear air” (bits 0 to 2 = 1), “highest retrieval quality” (bits 8 to 11 = 0), no surface gloss or glint effect (bit 12 = 0), and located on the water surface (bits 3 to 4 = 0 or 1). After applying quality control filters, the Gomishan and Alagol wetlands were excluded from the analysis due to numerous statistical deficiencies in most months. Therefore, the final analysis included 25 wetlands.
In Iran, there is one Aerosol Robotic Network (AERONET) station established in the northwest of Iran (IASBS: 48.5°E; 36.7°N) and several stations (i.e. Kuwait University, Kandahar, and Solar Village) around Iran with continuous AOD datasets, which were used for inter-comparison with MODIS-AODs.
Given that the MODIS data are at a wavelength of 550 nm and the corresponding values are not recorded in the AERONET sites, the following equation was used to calculate the AERONET-AOD 550 nm43,44:
Here, \(\:{a}_{1}\), \(\:{a}_{2}\), and \(\:{a}_{3}\) indicate the fitting coefficients that are calculated based on ground-based observations of aerosol optical depth at various wavelengths (440, 500, 675, 875). Mean absolute error (MAE), root mean square error (RMSE), and spearman correlation coefficient (p) were used to evaluate the performance of MODIS data in this study, as has been done in previous works41,31,45.
The inter-comparison referred to collocated data over the mentioned stations, during the MODIS overpass time (± 30 min), revealing a strong correlation between satellite and ground-based AOD datasets (r = 0.61 to 0.79; p-value < 0.05). The scatter plots between MODIS and AERONET AODS are shown in the Supplementary Material (Figure S1).
Considering the limited number of AERONET stations in Iran and the diverse climatic and topographic conditions of the wetlands, comparison of daily MODIS AOD data was also performed against daily MERRA-2 (Modern-Era Retrospective analysis for Research and Applications, Version 2) AOD data. Out of 27 water bodies, the correlation coefficient ranged from 0.61 to 0.81 in 20 wetlands, from 0.40 to 0.56 in 4 wetlands, and from 0.19 to 0.29 in 2 wetlands, all statistically significant at the 95% confidence level. However, in Sheedvar wetland, a weak negative correlation (-0.04) was observed (Fig. 3; Figure S2). Therefore, based on the satisfactory correlations against AERONET and MERRA-2 AOD data the MCD19A2 MODIS dataset was used to analyze the AOD trends over the Iranian water bodies.
Aerosol optical depth driving factors
Several climatic, meteorological and terrestrial factors may affect the variations in aerosol concentration and their optical properties34. Based on research background, literature overview and data availability, the following 8 driving factors were considered here to identify the most significant factors affecting AOD changes over Iranian wetlands and lakes. These factors include precipitation (Pre), actual evaporation (ET), normalized difference water index (NDWI), normalized difference salinity index (NDSI), enhanced vegetation index (EVI), precipitation, Palmer Drought Severity Index (PDSI), lakes-wetlands area (LWA), and wind speed (WS).
The Climatology Hazards Group InfraRed Precipitation with Station data (CHIRPS) daily precipitation product, which exhibits a high correlation with ground station data46,47, was used in this study to extract precipitation over the selected wetlands and lakes. The spatial resolution of this product is 5566 m. The MOD13Q1, with spatial resolution of 250 m, was used to extract EVI values for the selected wetlands and lakes during the study period. In addition, the ET and WS values were extracted over Iran from the TerraClimate dataset with a spatial resolution of 4638 m48.
The normalized difference of salinity index (NDSI) and the normalized difference of water index (NDWI) were calculated using Eq. (2)49, and Eq. (3)50, respectively, based on MODIS sensor imagery with a spatial resolution of 500 m (https://doi.org/10.5067/MODIS/MOD09A1.061).
Here, NIR, Red, and Green refer to near-infrared, red, and green bands, respectively. Furthermore, water bodies were identified based on positive NDWI values, and their covered areas were calculated on a monthly scale for each wetland.
It is noteworthy that all required datasets were acquired through coding within the Google Earth Engine platform at a monthly scale from 2000 to 2024. After analyzing the trends of AOD variations and identifying wetlands with significant increasing trends, other acquired data were used to identify the most important controlling factors of AOD, which will be further explained in detail in the subsequent research methodology section.
Trend analysis
Various statistical methods have been proposed for time series analysis. Among these, non-parametric methods are widely used in time series of qualitative meteorological and hydrological variables. These methods are suitable for time series that exhibit skewness or kurtosis and are far from the normal distribution of the time series. The purpose of trend testing is to investigate the presence or absence of a statistically significant upward or downward trend in the data series51. The Mann-Kendall test is one of the most widely used tests in the non-parametric method, presented by Mann52 and developed by Kendall53. To examine serial correlation in AOD time series and adjust the variance of the Mann-Kendall statistic to correct the effect of serial correlation, the Hamed-Rao method54 was used before the Mann-Kendall trend test.
This test is based on two hypotheses, null and alternative. The null hypothesis states that the data series is random and has no trend, while the alternative hypothesis indicates the presence of a trend. The S statistic of the Mann-Kendall test represents the difference between each observation and all subsequent observations, calculated based on Eq. (4):
In this equation, n is the number of observations in the time series, and xj and xk are the j-th and k-th data points of the series, respectively. Then, the variance of S is calculated and the standardized Z statistics are calculated using the following equations:
Where S is the Mann-Kendall test statistic, xi and xj are yearly values in years i and j (j > i), n is the length of the data series, and sgn refers to the sign (+ or -) of (xj - xk). Also, Z is the standard test statistic. Positive values of Z show increasing trend and Z negative values show decreasing trend in time series. The null hypothesis of no trend is rejected if |Z| > Zα. where |Z| and α are the absolute value of the Mann-Kendall statistic and the level of statistical significance, respectively.
To estimate the trend slope in a time series, the Sen’s Slope estimator is one of the most suitable methods. This method was first introduced by Theil55 and then expanded by Sen56. Like many other non-parametric methods such as Mann-Kendall, this method is based on analyzing the difference between observations in the time series. This method can be used when the trend in the time series is a linear trend. This means that Ft is equal to:
Where Q is the slope of the trend line and B is the constant value (intercept).
In the analysis, the slope Q is calculated using the Hamed-Rao modified Mann-Kendall outcomes, and only those slopes, which are statistically significant following Benjamini-Hochberg FDR correction, are noted.
Data standardization
Standardization is a preprocessing step that should be performed before collinearity analysis and modeling, especially when the data is multidimensional. This method improves the performance of ML models by removing the effect of variable scales57. In this study, all variables were standardized using the Eq. (8) as follows:
In the formula above, Zi is the standard score for data Xi, µ is the mean and σ is the standard deviation of the data. By doing this, the Zi’s will have a mean of 0 and a variance of 1.
Multicollinearity and mutual information analysis
Collinearity refers to a situation where an explanatory variable in multiple regression has a linear relationship with one or more other variables, such that it can be considered a linear combination of the other variables58. Similarly, multicollinearity indicates a situation where there is a linear relationship between several explanatory variables, and they can be written as a linear combination of each other59.
When collinearity or multicollinearity exists in a multiple regression model, the resulting model coefficients are not valid, as the effect of each explanatory variable on the response variable includes the effect of other variables in the model as well. Therefore, the variance of the regression coefficient estimators increases, and in practice, prediction by the regression model will be associated with a large bias. Thus, with a small change in the data used in the model, the regression coefficients will change drastically. The Variance Inflation Factor (VIF) serves as a metric indicating the degree to which prediction coefficient variance is inflated, and is calculated via the Eq. (9)60.
Here, Ri2 denotes the unadjusted coefficient of determination for the ith independent variable regressed against the remaining variables. The tolerance coefficient (TC) is the inverse of the VIF, with a low TC (TC < 0.2) indicating a strong correlation between independent variables. In other words, TC values greater than 0.2 indicate a low effect of multicollinearity between the independent variables under consideration. One approach to address multicollinearity is to eliminate a variable strongly linked to other variable(s), a method employed in this study.
Mutual Information (MI) is a filter-based method for selecting features that are effective on the target variable. In addition, it is a method for quantifying the dependency between two variables61. If the strength of the dependency between two variables is high, the MI between them will have a larger value, and if their dependency is low or they are completely independent, it will approach zero. Unlike the correlation method, which is only capable of detecting linear relationships, this method can also identify non-linear dependencies. MI is calculated based on the following equation62:
Where, MI(C; F) refers to the mutual information between variables C and F. The joint probability mass function for C and F is represented by P(c, f), and the marginal probability mass functions for C and F are given by P(c) and P(f).
Modeling
After excluding the optimal variables, modeling was performed with multiple linear regression (MLR) model, Random Forest (RF) model63, and Extreme Gradient Boosting (XGB)64. Reduction of overfitting, identification of the importance of influential variables on the target variable, high accuracy, high flexibility and resistance to outliers are among the most important advantages of RF algorithm65,66. The XGB algorithm is based on the concept of boosting, which combines all predictions of weak learners to create a strong learner through training strategies. Avoiding overfitting and optimization of computing resources is one of the main features of this algorithm, which is achieved by simplifying the objective functions. This makes it possible to combine prediction and regularization conditions while maintaining optimal computing speed64.
The hyperparameters of RF and XGB models were adjusted using a grid search approach implemented using the GridSearchCV class of the scikit-learn library in Python63,67,68. For RF model, the grid parameter included the trees’ quantity (n_estimators = 200, 500, 1000), a tree’s depth (max_depth = 10, 20, None), the minimum number of samples required to split an internal node (min_samples_split = 2, 5, 10), and the features used for splitting (max_features = ‘sqrt’, ‘log2’, 0.5). In the XGB model, the parameter grid included the number of boosting rounds (n_estimators = 100, 300, 500), tree depth (max_depth = 3, 6, 10), learning rate (learning_rate = 0.01, 0.05, 0.1), and subsampling ratio (subsample = 0.7, 0.9, 1.0).
The models were trained with the average driving factors and AOD dataset of 2000–2016 (70% of the data) and verified with those of 2017–2024 (30% of the data). During hyperparameter tuning, TimeSeriesSplit cross-validation with 5 splits was used to ensure temporal consistency. The performance of the models was evaluated using the coefficient of determination (R²; Eq. 11), root mean square error (RMSE; Eq. 12), and mean absolute error (MAE; Eq. 13) to ensure the robustness and generalization after hyperparameter optimization69,70.
where n is the total number of variables in a given dataset. The Xi and Yi are measured and predicted values of AOD, respectively.
Driving factors importance and interpreting their relationships with AOD
While identifying and prioritizing aerosol driving factors over water bodies is of great importance, uncovering the nature of their relationship enhances our understanding of how these factors influence the increased AODs over water bodies in Iran. SHAP method was used to explain how each feature (or input) influences the predictions of the best model71. In general, variables with larger absolute SHAP values are identified as the most influential factors on the target variable. SHAP value is computed as follows:
\(\:\text{H}\text{e}\text{r}\text{e},\:{\phi\:}_{i}\) is the importance of variable i in estimating AOD. N is the entire set of predictor variables and f(S) denotes the model’s AOD prediction given only the variables in set S. Also, \(\:f\left(S\bigcup\:\left\{i\right\}\right)\) refers to model output when variable i is added to set S. Finally, partial dependence plots (PDPs) were used to visualize the marginal effect of each predictor on AOD, revealing potential nonlinear and threshold relationships between AOD and its driving factors58,72.
Results
Monthly AOD trends in Iranian wetlands
The results of the Hamed-Rao Mann-Kendall test performed on the monthly average AOD values over 25 Iranian wetlands are summarized in Fig. 4. Based on the results presented in this statistical matrix and Table 2, regardless of significance level, the trend of AOD changes over most of Iran’s water bodies was positive during the study period. Overall, 8% of the water bodies experienced an increasing trend in March, October and November, and 4% in January, April, August and December.
Significant decreasing trends in AOD occurred over the Gavkhouni wetland in February (Z = − 3.5), March (Z= -3.3) and November (Z= -3.1). In Lake Urmia, statistically significant increasing trends were observed in January, October, November and December (Z > 3), indicating a large increase in AOD and dust activity during the last two decades, associated with the desiccation of the lake73,74,75,76,77. In the Jazmourian wetland, significant increasing changes in AOD were in April and October (Z > 3.5). The Delta-Rud-e-shur-Shirin (Z = 3.5) and Fereydoon Kenar (Z = 3.7) wetlands experienced a significant increase in aerosol concentrations in November and August, respectively. Furthermore, a significant increasing trend of AOD occurred in the Amirkelayeh and Shurgol wetlands in March (Z > 3.2). In synopsis, despite the large variability of the AOD trend values over the studied wetlands, attributed to different land use characteristics, contrasting meteorological patterns, prevailing wind regimes, etc., most of the wetlands exhibited the largest increases of AOD during the period with enhanced dust activity over Iran and the Middle East (May to September). This indicates that the increasing AODs are associated with enhanced dust emissions over the wetlands and surrounding areas, attributed to their desiccation and the transformance of significant dust sources due to alluvial silt material left in the topsoil after their part or complete dryness15,78,79,80,81,82. The main finding of the research is a general increasing tendency in AOD over the Iranian lakes and wetlands, which is attributed to enhanced dust concentrations after the lake’s desiccation due to climate change and human intervention (increasing needs for irrigation, construction of dams upstream, shrinkage of the water bodies, etc.).
Seasonal variation and trend of AOD in Iranian lakes and wetlands
The seasonal trends in AOD over Iranian lakes and wetlands are shown in Fig. 5, indicating that during the past 25 winter seasons, the AOD over 11 water bodies exhibited an increasing trend (Z > 0), which was statistically significant in Mighan and Urmia Lake (Z > 3). In 14 water bodies, the AOD change trend showed a decreasing pattern in winter, which however, was not statistically significant in any of them (Fig. 5; Table 3).
In spring, the trend of AOD changes has been increasing in 14 water bodies and decreasing in 11 water bodies. In one of the wetlands, the aerosol changes showed no trend. In this season, the decreasing or increasing trends of AOD were insignificant in all areas (1.96 > Z> -1.96) (Fig. 5; Table 3).
In summer, when the dust activity over Iran and the Middle East maximizes39,83, the concentrations of aerosols showed an increasing trend over 13 water bodies, which, like the spring season, was insignificant in all study water bodies. Nevertheless, the autumn season exhibits the highest fraction (12%) of increased AOD over the examined wetlands (Table 3), implying larger desiccation rates of the wetlands and enhanced dust emissions. Out of the 15 water bodies, where an increase in aerosol concentration occurred in autumn, three bodies — Lake Urmia (Z = 3.5), Amirkelayeh (Z = 5.5), and Parishan (Z = 3.1) — have experienced a statistically significant increase. This suggests positive feedback between shrinkage of water bodies and dust-aerosol emissions that affect the nearby areas. This increase in AOD, which practically corresponds to increased dust activity in areas surrounding wetlands and lakes in Iran, is especially important for regional atmospheric composition, degradation of air quality and negative effects in the aquatic ecosystems76,84. Over other wetlands, aerosol changes have been increasing or decreasing, but without significant trends (Fig. 5). Over SW and western part of Iran, including Urmia Lake, the dust activity has increased significantly during the 2000s due to drought regime shift in the Mesopotamian plains that enhanced dust activity over Iran and the Middle East76. More specifically, the large increase in AOD over Urmia, is associated not only with local factors (i.e. desiccation of the lake, construction of dams, etc.), but also with an increase in transported dust events over the region from distant dust sources in Iraq or SW Iran75,76. Therefore, apart from local topographic conditions, LULC changes and climatic parameters related with wetlands and dust emissions from the dried lakebeds, changes in synoptic meteorology may also play an important role in this trend analysis over specific wetlands.
Mutli-decadal trends of AOD over Iranian lakes and wetlands
The annual-averaged AODs and their trends over the 25 studied lakes and wetlands are shown in Fig. 6, while the AOD values during the study period are displayed using box-whisker plots in Fig. 7. Based on the current analysis, during the past 25 years, high median AOD values (exceeding 1.25) were observed in Gavkhouni wetland. The first quartile of the AOD values for this wetland is 0.95 and the third one is 1.5. The first quartile, median, and third quartile AOD values for Khuran, Delta-Rud-e-Shur-Shirin, Sheedvar, Maharloo, and Bakhtegan range from 0.28 to 0.40, 0.25 to 0.35, and 0.30 to 0.42, respectively, indicating presence of high aerosol loading over the studied lakes.
The Hamed-Rao Mann-Kendall statistic and Sen’s slope estimator were respectively used to investigate the trend and slope of changes in the annual AOD time series, while the outcomes are shown in Fig. 8. The results indicated that over the past two decades, AOD has increased over 12 of the studied wetlands, while decreased in 13 water bodies. The increasing trends in Jazmourian (Z = 3.6) and Sheedvar (Z = 3) wetlands were significantly higher than those in other water areas and were statistically significant at 95% confidence level. Based on Sen’s slope, the average annual changes in AOD over the mentioned water bodies were 0.002 and 0.005, respectively. Conversely, the decreasing changes in Gavkhouni (Z = -2.2), Hamun (Z = -1.9), Maharloo (Z= -1.3), and Shadegan (Z = -1.1) wetlands were more pronounced than those in other wetlands but were not statistically significant at the 95% level. Based on Sen’s slope, the average AOD decreased by 0.018 in Shadegan, 0.0009 in Hamun, 0.002 in Maharloo, and by approximately 0.001 per year in Shadegan wetland. The contrasting AOD trends over the various wetlands and lakes in Iran are likely attributed to different topographic and climatic characteristics that prevailed during the 25 years study period. Recently, Abadi, et al.83 indicated very different trends in suspended and blowing dust events across the various regions in Iran, that control the AOD values over the wetlands. Especially for Hamun (Sistan Basin, east Iran), the large decreasing trend in AOD during the last decades has been attributed to the extreme drought and abnormal dust activity during 2000–2003 (at the beginning of the studied period)39,41,85. After this period, high but mostly normal for this region dusty conditions prevailed, thus contributed to a declining dust-aerosol trend during 2000–2025.
Identification of the main aerosol driving factors across iran’s lakes and wetlands
The results of the multicollinearity analysis among the factors influencing AOD over the studied wetlands indicated that the TC values for LWA and NDWI in Jazmourian and Sheedvar Wetlands were less than 0.2 in annual scale (Table 4), which suggests problematic multicollinearity among these driving factors. After a stepwise elimination86, the parameters with lower TC values in these wetlands (NDWI) were removed, and the collinearity effect among the remaining variables increased to more than 0.2.
Multicollinearity analysis among the aerosol driving factors was also performed for the autumn and winter seasons. Based on this analysis, the LWA for the Mighan, Amirkalayeh wetlands, and Lake Urmia was identified as the factor exhibiting the highest collinearity with the other potential drivers (TC < 0.2). Consequently, this factor was initially removed, and the multicollinearity analysis was repeated. In the second step, it was observed that the remaining factors did not have a multicollinearity issue.
For Parishan wetland, EVI was identified as the problematic factor. After its removal, the TC value for the remaining variables reached greater than 0.2. The variables identified in the third step for Jazmourian wetland and the variables identified in the second step for the other water bodies were then selected to investigate the Mutual Information (MI) analysis. The monthly-mean values of the selected factors from TC analysis for a 25-year study period are shown in the Supplementary Material (Figure S3 to S8).
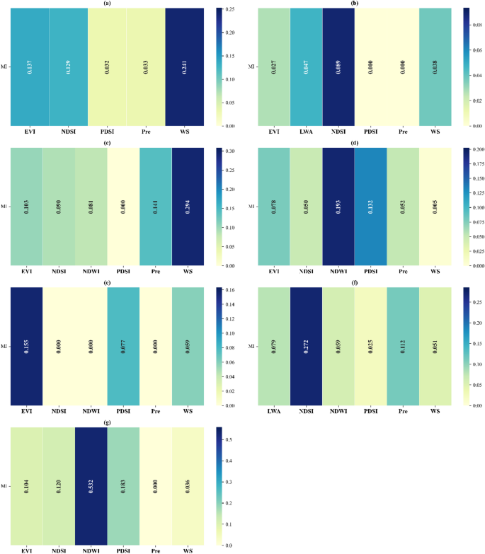
The results of the MI analysis showed that AOD and ET in the Jazmourian wetland (Fig. 9a), as well as AOD and the two factors precipitation and drought in the Sheedvar wetland (Fig. 9b), were completely independent of each other (TC = 0). A similar result was observed regarding the relationship of the target variable with PDSI and ET for the Mighan wetland (Fig. 9c) and Lake Urmia (Figure 9d), respectively, in the winter season. In the autumn season, a lack of dependency was observed between AOD and the three factors NDSI, NDWI, and precipitation in the Amirkelayeh wetland (Fig. 9e), ET in the Parishan wetland (Fig. 9f), and precipitation in Lake Urmia (Fig. 9g). Therefore, these driving factors were removed, and the remaining factors were used for modeling.
Table 5 shows how the trained models performed in predicting the AOD over lakes and wetlands in Iran.
For the training dataset, the Multiple Linear Regression (MLR) model yielded R2 values between 0.06 and 0.66, RMSE between 0.03 and 0.12, and MAE between 0.02 and 0.08. Based on the test dataset, the same statistics were estimated to be 0.001 to 0.40 for R2, 0.04 to 0.12 for RMSE, and 0.03 to 0.10 for MAE, respectively.
The results of modeling the AOD training dataset with the RF model showed that the R2, RMSE and MAE values in the training dataset ranged between 0.67 and 0.95, 0.01 to 0.08, and 0.01 to 0.05, respectively. Using the test dataset, these same statistics were obtained as 0.04 to 0.60, 0.04 to 0.13, and 0.04 to 0.09, respectively.
The results obtained from XGB modeling of the target variable showed that the R2, RMSE and MAE values for the training data ranged from 0.49 to 0.99, 0.002 to 0.04, and 0.001 to 0.07, respectively, while they varied between 0.06 and 0.64, 0.04 to 0.13, and 0.02 to 0.07 for the testing data.
The results also indicated poor performance of all three models for AOD estimation in all study areas, with the exceptions of the Jazmourian Wetland on an annual scale and the Parishan Wetland in autumn. The XGB model (R2 = 0.64, RMSE = 0.11, MAE = 0.07) showed higher performance compared to RF (R2 = 0.60, RMSE = 0.12, MAE = 0.07) and MLR (R2 = 0.54, RMSE = 0.12, MAE = 0.08) in predicting the AOD test dataset for the Jazmourian Wetland. Conversely, the RF model (R2 = 0.60, RMSE = 0.05, MAE = 0.04) performed better than the other two models for AOD prediction in the Parishan Wetland (Table 5). Ultimately, based on the best-trained models, the relative importance of AOD driving forces was determined across the two aforementioned water bodies.
The relative importance of factors influencing monthly changes in AOD over the Jazmourian and Parishan wetlands is shown in Fig. 10(a–d). The results indicate that over the past 25 years, wind speed (WS) (0.05) has been the most influential factor in predicting aerosol concentration changes over the Jazmourian wetland. Following WS, EVI (0.04), NDSI (0.037), Pre (0.02), and PDSI (0.015) also exhibited notable contributions to AOD variations in this wetland (Fig. 10a). These results indicate that several factors related to drought, vegetation cover and meteorology influence AOD variations and trends over the Jazmourian wetland in southeastern Iran.
The results of the SHAP analysis for the driving factors influencing aerosol concentrations over the Parishan Wetland showed that NDSI (0.028) was identified as the most influential factor in predicting AOD changes. NDWI and PDSI, with mean SHAP values of approximately 0.007, ranked second and third, respectively. This indicates that indices related with dryness of the lakes and wetlands are the most influencing factors for AOD changes, suggesting increased dust emissions from the wetland beds after partial or complete drying. In contrast, Pre, LWA, and WS, with SHAP values below 0.005, posed relatively lower contributions to the target variable in this region (Fig. 10b).
The results presented in Fig. 10 also demonstrate the percentage contributions between climatic and terrestrial driving factors influencing the increase in aerosol concentration over the selected wetlands in Iran. In the Jazmourian Wetland (Fig. 10c), the contribution of terrestrial drivers (NDSI, PDSI, EVI) to the increase in aerosol concentration was more (78.6%) than that of climatic (precipitation, wind speed) drivers (21.4%).
In the Parishan Wetland (Fig. 10d), the contribution of terrestrial drivers (81.9%) in increasing aerosol emissions was significantly greater than that of climatic drivers (18.1%), indicating that terrestrial factors related to topographic characteristics and drought had a more prominent contribution to the predicted increase in aerosol concentrations. Therefore, topographic control policies and water management strategies should be considered for the restoration of these wetland ecosystems and prevention of complete dryness, as shown in last years in Jazmourian.
Relationship between key driving factors and AOD
Furthermore, the relationship between key driving factors and AOD was investigated using partial dependence plots (PDPs). The results show distinct non-linear behaviors between the examined factors and the target variable in Jazmourian wetland (Fig. 11a). Within the range of negative EVI values, AOD remains nearly constant, while in positive EVI values, an inverse linear pattern with an AOD decreasing slope is evident. In addition, as NDSI increases up to approximately 0.12, AOD values rise, after which the slope gradually flattens, suggesting a saturation effect. For precipitation values below 10 mm, AOD fluctuates considerably; as precipitation rises to around 20 mm, AOD decreases, and beyond 40 mm it stabilizes. The PDSI–AOD relationship follows a U-shaped pattern, indicating a nonlinear interaction. The wind speed plot exhibits an overall increasing trend with substantial fluctuations, reflecting a complex and non-monotonic association.
In the Parishan wetland (Fig. 11b), AOD remains almost constant at NDSI values below 0.1, then it sharply decreases, rises again, and subsequently decreases once more. For rainfall amounts below 10 mm, AOD is relatively high, decreasing sharply up to about 25 mm of rainfall, and becoming nearly stable above 50 mm. The PDSI–AOD plot reveals alternating increases and decreases, showing a mild nonlinear trend.
Irregular patterns are also observed between LWA and AOD, suggesting the absence of a clear linear relationship. At low NDWI values, AOD remains nearly constant, then rises sharply after a ~ 0.1-unit increase and finally decreases to a stable state. Wind speed also shows irregular fluctuations with AOD, confirming a nonlinear association.
Partial dependence plots (PDPs) of AOD responses to key environmental factors. (a) XGB–predicted AOD responses to EVI (Enhanced vegetation index), NDSI (Normalized difference salinity index), precipitation (Pre), Palmer drought severity index (PDSI), and WS (wind speed) in the Jazmourian Wetland. (b) Random Forest–predicted AOD responses to NDSI (Normalized difference salinity index), precipitation (Pre), Palmer drought severity index (PDSI), LWA (lake wetland area), NDWI (Normalized difference water index), and WS (wind speed) in the Parishan Wetland.
Discussion
Trend of AOD changes over Iranian lakes and wetlands
AOD trend analysis and monitoring is an important step towards determining air pollution status over various ecosystems, particularly wetlands and lakes, some of which have experienced dramatic changes over the last few decades due to human activities and climate change16. Over the past 25 years (2000–2024), there has been a decreasing trend in AOD over some important Iranian international wetlands: Hamun, Shadegan, Gavkhuni, and Maharloo, while a substantial increase has been observed over Jazmourian and Sheedvar in the annual scale and the Amirkelayeh, Parishan, Mighan wetlands, and Urmia Lake in the seasonal scale.
The annual trend of AOD changes in the Jazmourian region during the period 2000 to 2022 has been reported to be increasing87, which supports the findings of the present study. In addition, the results of this study are consistent with the findings of Ebrahimi-Khusfi, et al.81, who pointed to an increasing trend of atmospheric dust pollution over Parishan during the autumn season.
In Lake Urmia, statistically significant increasing trends were observed in January and during the autumn months (Z > 1.96), indicating a large increase in AOD and dust activity during the last two decades, associated with the desiccation of the lake74,75,76,77. Climate change and anthropogenic activities, particularly the expansion of agricultural activities and land-use change within the Lake Urmia basin, have been among the main causes of the lake’s receding water level in recent years88,89.
AOD data from 2000 to 2020 was previously used to validate a predicted dust source map in Shadegan wetland, reporting a non-significant increasing trend in aerosols90. These findings did not align with current results. Given that these researchers did not specify on the temporal scale or extent of the wetland area examined for the trend analysis, it appears that one reason for the discrepancy is that the AOD trend in their study was solely based on barren lands within the wetland area. In another study, dust event frequency around this wetland over a period overlapping with the current one (2000–2017) showed no significant trend91. Recently, another study reported an increase in Shadegan wetland’s water level in 2020 compared to 20003. Therefore, considering these findings, the primary cause for the decreasing aerosol concentration trend in recent decades can be attributed to the increased water level in this international wetland, which is a positive feedback for increased soil moisture and greenery of the area that prevent dust emissions.
In the Hamun wetland, located in the Sistan Basin, the aerosol trend showed an increase from 2001 to 2009 and a decrease from 2010 to 201992, consistent with the findings of the present study in that time frame, while the general decrease in AOD during the 2010s in east Iran was mostly attributed to changes in meteorological factors41.
Previous work indicated that the water area of Khuran wetland decreased by approximately 2% in 2020 compared to 20003, while according to the present study, the AOD over this region was 0.28 in 2000 and about 0.35 in 2020, indicating a 20% increase. Comparing the findings of these two studies shows an inverse relationship between AOD changes and water coverage in Khuran wetland.
In the period 2000–2010, the trend of winter AODs and warm-season aerosol concentrations in Iran showed a significant increase, followed by a decrease during 2010–2018, which largely aligns with the aerosol concentration trend over many water bodies in Iran during those periods41,93. In general, the decreasing changes in aerosols in dust-prone regions could be due to severe precipitation anomalies in recent years, which have particularly affected the frequency of dust events in high-rainfall years83. Given that the primary focus of this study is on lakes and wetlands that exhibited an increasing trend in aerosols during the past 25 years, the main drivers of these changes in the Jazmourian and Parishan wetlands have been analyzed in detail and discussed below.
Main drivers of AOD in Iranian wetlands using the optimized models and SHAP analysis
In recent years, several climatic, terrestrial factors and human interventions have influenced the aerosol concentration trends in Iran16,83,94. Changes in various climatic factors, including rainfall, temperature, wind speed and drought, as well as terrestrial factors such as soil moisture content, vegetation cover, and soil salinity, affect the multi-decadal variations and trends of atmospheric aerosols77,95,96. However, the impact of each factor varies among the different ecosystems97, especially on the wetlands.
Based on the SHAP analysis, WS and EVI contributed the most to AOD predictions over the Jazmourian Wetland and were identified as the primary factors influencing AOD in this region. NDSI, Pre, and PDSI exhibited moderate contributions. PDPs revealed that WS generally exhibited an increasing trend during the study period; however, its relationship with AOD was not strictly linear, as it was accompanied by fluctuations likely resulting from local factors and episodic dust emissions39,98. Previous studies have reported a positive correlation between these two parameters99, which partially supports the present findings that both factors showed an overall increasing tendency.
Furthermore, an inverse relationship between EVI and AOD was observed in the PDP, consistent with earlier studies33,92,100. Increased vegetation cover can reduce dust and aerosol emissions by stabilizing the soil particles and reducing wind erosion101,102. In this region, higher soil salinity and lower precipitation up to a certain threshold were associated with increased atmospheric aerosols. In soils with higher salinity, the mobility of anions and cations is greater103, while lower precipitation reduces soil moisture104, both of which promote dust emission; however, this relationship was not always consistent in the Jazmourian Wetland. These results reflect the complexity of factors affecting aerosol concentrations, which were effectively revealed by the XGBoost model.
For Parishan Wetland, NDSI and NDWI were identified as the most influential factors contributing to the increase in aerosol concentration during the autumn season. Using the PDPs, it was found that over the past 25 years, complex and nonlinear relationships have existed between these three key factors and AOD in this region. This is likely indicative of the limited local dust emission dynamics from the dried beds of this water body, changes in wind patterns and the transport of dust masses from other regions76, or the deposition of regionally emitted particles, an issue that requires further information and more comprehensive analysis, which is beyond the scope of this study. In Parishan Wetland, lower PDSI values have been mainly associated with higher AOD concentrations, which is consistent with the findings of previous studies about the effect of drought on increasing dust aerosol emissions105,106.
The main causes of increased aerosol emissions over northern China’s wetlands in the period 2001–2023 were reported to be the population density and humidity changes97, which are partly consistent with the current results that refer to the role of soil moisture content in increasing aerosol emissions, but not with the population density parameter. The reasons for this discrepancy are the difference in the selection of factors affecting AOD, and the type of model used to identify the factors influencing its changes, while local topography factors and regional meteorology play an important role in AOD variations, which may highly affect the relations.
Overall, the combination of SHAP and PDP analyses showed that AOD responses to environmental drivers are nonlinear and highly dependent on local conditions. This approach enabled effective interpretation of “black-box” models such as XGBoost and Random Forest in the two important wetlands, Jazmourian and Parishan, providing valuable insights into the processes influencing aerosol variations, which can be useful for designing water management and air quality control policies.
Conclusions
The increase in aerosols over aquatic ecosystems is a warning sign of disruption in the functioning of these valuable ecosystems and intensification of sand and dust storms. Understanding the trend of changes in Aerosol Optical Depth (AOD) in these areas and identifying their main drivers is of great importance. This issue has not received much attention, and therefore, this study focused on AOD changes over Iranian wetlands and lakes, aiming to assess their interrelations. According to current findings, 8%, 12%, and 8% of Iran’s inland wetlands and lakes have experienced an increasing trend in AOD in winter, autumn, and in annual basis, respectively. In spring and summer, despite an increasing trend in aerosol concentrations in more than half of the studied wetlands, the changes were not statistically significant, while a significant increasing trend was observed in six international wetlands: Jazmourian, Sheedvar, Amirkelayeh, Parishan, Urmia Lake, and Mighan.
Based on SHAP analysis, WS and EVI were identified as the main contributors to higher predicted aerosol concentrations in Jazmourian International Wetland, whereas NDSI and NDWI were identified as the main contributors to aerosols over Parishan International Wetland. Furthermore, this study indicated that the influence of terrestrial factors on the predicted increasing trend of aerosols was approximately four times greater than that of climatic factors.
Implementation of three models (MLR, RF, and XGB) showed poor performance in predicting AOD over all studied water bodies, except for Jazmourian (on an annual scale) and Parishan (in winter), where they demonstrated acceptable performance (R² > 0.5). This finding indicates that the selected environmental variables in this study were not absolutely sufficient to fully explain the variations in AOD over these aquatic ecosystems. The omission of potentially influential factors such as land-use/land-cover (LULC) changes, regional wind patterns, and anthropogenic emissions represents one of the limitations of the current approach and could explain the relatively weak performance of the machine learning models in these regions. Therefore, it is recommended that future studies perform modeling using an expanded set of environmental drivers, including the aforementioned factors. In addition, sensitivity analyses should be conducted to enhance model robustness and accuracy.
Although the main goal of this study was to analyze the overall trend of AOD changes over 25 years and assess the contribution of climatic and terrestrial drivers in Iranian wetlands with significant increasing trends, it is recommended that future studies use statistical tests to more comprehensive analysis. Accordingly, it’s suggested that a breakpoint analysis be performed for each wetland, and that influential factors in the pre- and post-change periods be considered as a key step for future studies. This would allow a better understanding of the dynamics of influential factors and help identify which factors have been strengthened or weakened during periods of faster desiccation of specific Iranian wetlands.
In general, current findings highlighted the variety of factors affecting Iranian wetlands, and as a result, any action to reduce air pollution should be tailored to each wetland at risk, considering its specific environmental conditions. The results of this research can be useful for controlling air pollution and reducing its adverse environmental effects in Iran. Considering that the driving forces affecting AOD, especially climatic factors, have significant fluctuations, accurate prediction of their future trend is associated with uncertainty. Therefore, continuous monitoring of air quality over aquatic ecosystems, especially wetlands that have experienced an increasing trend of aerosols and water shrinkage, is essential. Also, considering that the mentioned water bodies are of international importance, cooperation with international organizations is necessary to prevent further degradation of these ecosystems.
Data availability
The data sets used in the current study, including the MODIS MCD19A2 aerosol optical depth (AOD) product, CHIRPS precipitation, MOD13Q1 enhanced vegetation index (EVI), and TerraClimate variables, are publicly available through the following repositories: MODIS MCD19A2: https://earthengine.google.com, CHIRPS: https://www.chc.ucsb.edu/data/chirps, MOD13Q1: https://lpdaac.usgs.gov/products/mod13q1v006/, TerraClimate: http://www.climatologylab.org/terraclimate.htm., MERRA 2 Data Access: https://gmao.gsfc.nasa.gov/gmao-products/merra-2.
References
Imdad, K. et al. Wetland health, water quality, and resident perceptions of declining ecosystem services: a case study of Mount Abu, Rajasthan, India. Environ. Sci. Pollut. Res. 30, 116617–116643 (2023).
Amindin, A. et al. Long term analysis of international wetlands in iran: monitoring surface water area and water balance. Int. J. Appl. Earth Obs. Geoinf. 126, 103637 (2024).
Rahimi, E., Jahandideh, M., Dong, P. & Ahmadzadeh, F. Potential anthropogenic and Climatic factors affecting iran’s international wetlands. J. Environ. Stud. Sci. 13, 557–574 (2023).
Kool, J., Lhermitte, S., Hrachowitz, M., Bregoli, F. & McClain, M. E. Seasonal inundation dynamics and water balance of the Mara Wetland, Tanzania based on multi-temporal Sentinel-2 image classification. Int. J. Appl. Earth Obs. Geoinf. 109, 102766 (2022).
Belyaev, A. I., Pugacheva, A. M. & Korneeva, E. A. Assessment of ecosystem services of wetlands of the volga–akhtuba floodplain. Sustainability 14, 11240 (2022).
Nasab, S. E. et al. Waterless wetlands, as a new source of wind erosion: developing remediation strategies for the Hamoon wetland in Iran. Ecol. Inf. 78, 102368 (2023).
Badamfirooz, J., Mousazadeh, R. & Sarkheil, H. A proposed framework for economic valuation and assessment of damages cost to National wetlands ecosystem services using the benefit-transfer approach. Environ. Challenges. 5, 100303 (2021).
Zekarias, T., Govindu, V., Kebede, Y. & Gelaw, A. Geospatial analysis of wetland dynamics on lake Abaya-Chamo, the main rift Valley of Ethiopia. Heliyon 7 (2021).
Li, T. et al. Contributions of various driving factors to air pollution events: interpretability analysis from machine learning perspective. Environ. Int. 173, 107861 (2023).
Mumuni, A. S., Mensah, H., Asamoah, S. & Simpeh, E. K. A systematic review on the causes and effects of urbanization on wetlands in Sub-Saharan Africa. Urbanization Sustain. Soc. 2, 153–177 (2025).
Elegbede, I. O. et al. Wetland Ecosystems in Nigeria. Wetlands of Tropical and Subtropical Asia and Africa: Biodiversity, Livelihoods and Conservation, 317 (2025).
Neira, M. et al. Climate change and human health in the Eastern mediterranean and middle east: literature review, research priorities and policy suggestions. Environ. Res. 216, 114537 (2023).
Zittis, G. et al. Climate change and weather extremes in the Eastern mediterranean and middle East. Rev. Geophys. 60, e2021RG000762 (2022).
Sadeghi, S. H. & Hazbavi, Z. In Global Degradation of Soil and Water Resources: Regional Assessment and Strategies 287–314 (Springer, 2022).
Khashi, K., Azhdary Moghaddam, M. & Hashemi Monfared, S. Effects of wetlands and wind velocity on dust propagation in arid areas: a critical case study in south-east of Iran. Int. J. Environ. Sci. Technol. 19, 12169–12180 (2022).
sadat Afzalizadeh, M., Nadoushan, M. A., Jalalian, A. & Chamani, A. Dust source dynamics in arid iran: examining the relationship between MODIS AOD and land surface characteristics in a dried catchment. Adv. Space Res. 75, 3326–3334 (2025).
Stirling, E., Fitzpatrick, R. & Mosley, L. Drought effects on wet soils in inland wetlands and peatlands. Earth Sci. Rev. 210, 103387 (2020).
Khelifa, R., Mahdjoub, H. & Samways, M. J. Combined Climatic and anthropogenic stress threaten resilience of important wetland sites in an arid region. Sci. Total Environ. 806, 150806 (2022).
Wang, M. et al. Interannual changes of urban wetlands in china’s major cities from 1985 to 2022. ISPRS J. Photogrammetry Remote Sens. 209, 383–397 (2024).
Zarrinabadi, E. Soil erosion and fluxes of sediment within landscapes of the Canadian Prairies. (2023).
Shayeghi, A. et al. Assessing drought impacts on groundwater and agriculture in Iran using high-resolution precipitation and evapotranspiration products. J. Hydrol. 631, 130828 (2024).
Foroumandi, E., Nourani, V., Huang, J. J. & Moradkhani, H. Drought monitoring by downscaling GRACE-derived terrestrial water storage anomalies: A deep learning approach. J. Hydrol. 616, 128838 (2023).
Melendez-Pastor, I., Navarro-Pedreno, J., Gómez, I. & Koch, M. Detecting drought induced environmental changes in a mediterranean wetland by remote sensing. Appl. Geogr. 30, 254–262 (2010).
Rahdari, M. R., Kharazmi, R. & Caballero-Calvo, A. In Google Earth Engine and Artificial Intelligence for Earth Observation 195–212 (Elsevier, 2025).
Abou Zaki, N. et al. Evaluating impacts of irrigation and drought on river, groundwater and a terminal wetland in the Zayanderud Basin, Iran. Water 12, 1302 (2020).
Mehta, M., Singh, R., Singh, A. & Singh, N. Recent global aerosol optical depth variations and trends—A comparative study using MODIS and MISR level 3 datasets. Remote Sens. Environ. 181, 137–150 (2016).
Filonchyk, M., Yan, H. & Zhang, Z. Analysis of Spatial and Temporal variability of aerosol optical depth over China using MODIS combined dark target and deep blue product. Theoret. Appl. Climatol. 137, 2271–2288 (2019).
MalAmiri, N., Rashki, A., Al-Dousari, A. & Kaskaoutis, D. G. Socioeconomic and health impacts of dust storms in Southwest Iran. Atmosphere 16, 159 (2025).
Wang, D., Zhang, F., Yang, S., Xia, N. & Ariken, M. Exploring the spatial-temporal characteristics of the aerosol optical depth (AOD) in central Asia based on the moderate resolution imaging spectroradiometer (MODIS). Environ. Monit. Assess. 192, 1–15 (2020).
Lin, C., Cohen, J. B., Wang, S. & Lan, R. Application of a combined standard deviation and mean based approach to MOPITT CO column data, and resulting improved representation of biomass burning and urban air pollution sources. Remote Sens. Environ. 241, 111720 (2020).
Yousefi, R., Wang, F., Ge, Q. & Shaheen, A. Long-term aerosol optical depth trend over Iran and identification of dominant aerosol types. Sci. Total Environ. 722, 137906 (2020).
Dadashi-Roudbari, A. & Ahmadi, M. Evaluating Temporal and Spatial variability and trend of aerosol optical depth (550 nm) over Iran using data from MODIS on board the Terra and aqua satellites. Arab. J. Geosci. 13, 1–23 (2020).
Sharma, V. et al. Spatial variation and relation of aerosol optical depth with LULC and spectral indices. Atmosphere 13, 1992 (2022).
Yousefi, R. et al. Long-term perspectives on land-use changes and air pollution policies in iran: A comparative analysis of regional and global patterns in atmospheric PM2. 5. J. Environ. Manage. 375, 124346 (2025).
Solanki, R. & Pathak, K. Aerosol optical depth Spatial and Temporal variability using satellite data over Indian major cities. J. Environ. Health Sustain. Dev. (2022).
Nabavi, S. O., Haimberger, L., Abbasi, R. & Samimi, C. Prediction of aerosol optical depth in West Asia using deterministic models and machine learning algorithms. Aeolian Res. 35, 69–84 (2018).
Berhane, S. A., Althaf, P., Kumar, K. R., Bu, L. & Yao, M. A. Comprehensive analysis of AOD and its species from reanalysis data over the middle East and North Africa regions: evaluation of model performance using machine learning techniques. Earth Syst. Environ. 1–26 (2024).
Pashayi, M., Satari, M., Shahraki, M. M. & Amini, S. MAIAC AOD profiling over the Persian gulf: A seasonal-independent machine learning approach. Atmospheric Pollution Res. 15, 102128 (2024).
Rashki, A. et al. Spatio-temporal variability of dust aerosols over the Sistan region in Iran based on satellite observations. Nat. Hazards. 71, 563–585 (2014).
Sabetghadam, S., Alizadeh, O., Khoshsima, M. & Pierleoni, A. Aerosol properties, trends and classification of key types over the middle East from satellite-derived atmospheric optical data. Atmos. Environ. 246, 118100 (2021).
Yousefi, R., Wang, F., Ge, Q., Shaheen, A. & Kaskaoutis, D. G. Analysis of the winter AOD trends over Iran from 2000 to 2020 and associated meteorological effects. Remote Sens. 15, 905 (2023).
Aazami, J. & Joorabian Shooshtari, S. Update data of the Iranian wetlands (2023). J. Appl. Res. Water Wastewater. 10, 156–160 (2023).
Eck, T. F. et al. Wavelength dependence of the optical depth of biomass burning, urban, and desert dust aerosols. J. Geophys. Research: Atmos. 104, 31333–31349 (1999).
Li, W. et al. Comprehensive validation and comparison of three VIIRS aerosol products over the ocean on a global scale. Remote Sens. 14, 2544 (2022).
Li, X., Zhang, C., Li, W., Anyah, R. O. & Tian, J. Exploring the trend, prediction and driving forces of aerosols using satellite and ground data, and implications for climate change mitigation. J. Clean. Prod. 223, 238–251 (2019).
Aksu, H. et al. Spatiotemporal analysis of drought by CHIRPS precipitation estimates. Theoret. Appl. Climatol. 148, 517–529 (2022).
López-Bermeo, C., Montoya, R. D., Caro-Lopera, F. J. & Díaz-García, J. A. Validation of the accuracy of the CHIRPS precipitation dataset at representing climate variability in a tropical mountainous region of South America. Phys. Chem. Earth Parts A/B/C. 127, 103184 (2022).
Abatzoglou, J. T., Dobrowski, S. Z., Parks, S. A. & Hegewisch, K. C. TerraClimate, a high-resolution global dataset of monthly climate and Climatic water balance from 1958–2015. Sci. Data. 5, 1–12 (2018).
Haq, Y. U., Shahbaz, M., Asif, S., Ouahada, K. & Hamam, H. Identification of soil types and salinity using MODIS Terra data and machine learning techniques in multiple regions of Pakistan. Sensors 23, 8121 (2023).
McFeeters, S. K. The use of the normalized difference water index (NDWI) in the delineation of open water features. Int. J. Remote Sens. 17, 1425–1432 (1996).
Azhar, S. C., Aris, A. Z., Yusoff, M. K., Ramli, M. F. & Juahir, H. Classification of river water quality using multivariate analysis. Procedia Environ. Sci. 30, 79–84 (2015).
Mann, H. B. Nonparametric tests against trend. Economet. J. Economet. Soc. 245–259 (1945).
Kendall, M. G. Rank correlation methods. 1st Edn edn, (Charles Griffin & Co Ltd, 1948).
Hamed, K. H. & Rao, A. R. A modified Mann-Kendall trend test for autocorrelated data. J. Hydrol. 204, 182–196 (1998).
Theil, H. A rank-invariant method of linear and polynomial regression analysis. Indagationes Math. 12, 173 (1950).
Sen, P. K. Asymptotically efficient tests by the method of n rankings. J. Royal Stat. Soc. Ser. B: Stat. Methodol. 30, 312–317 (1968).
Gal, M. S. & Rubinfeld, D. L. Data standardization. NYUL Rev. 94, 737 (2019).
Chen, Q., Shao, K., Zhang, S. & Enhanced PM2. 5 Estimation across china: an AOD-independent two-stage approach incorporating improved Spatiotemporal heterogeneity representations. J. Environ. Manage. 368, 122107 (2024).
Ebrahimi-Khusfi, Z., Nafarzadegan, A., Ebrahimi-Khusfi, M. & Mosavai, A. Machine learning approaches for identifying factors influencing dust sensitivity in the Gavkhouni Basin, central Iran. Int. J. Environ. Sci. Technol., 1–20 (2024).
Daoud, J. I. Journal of Physics: Conference Series. 012009 (IOP Publishing).
Sun, X., Xue, Y. & Sun, L. Enhancing global aerosol retrieval from satellite data via deep learning with mutual information Estimation. Int. J. Appl. Earth Obs. Geoinf. 139, 104534 (2025).
Battiti, R. et al. Supervised learning. Reactive Search. Intell. Optimization, 1–33 (2009).
Breiman, L. Random forests. Mach. Learn. 45, 5–32 (2001).
Ester, M., Kriegel, H., Xu, X. & XGBoost A scalable tree boosting system. In Proceedings of the 22Nd ACM SIGKDD International Conference on Knowledge Discovery and Data Mining pg 785, Geograph. Anal. (2022).
Ali, J., Khan, R., Ahmad, N. & Maqsood, I. Random forests and decision trees. Int. J. Comput. Sci. Issues (IJCSI). 9, 272 (2012).
Ao, Y., Li, H., Zhu, L., Ali, S. & Yang, Z. The linear random forest algorithm and its advantages in machine learning assisted logging regression modeling. J. Petrol. Sci. Eng. 174, 776–789 (2019).
Kuhn, M. Building predictive models in R using the caret package. J. Stat. Softw. 28, 1–26 (2008).
Pedregosa, F. et al. Scikit-learn: machine learning in python. J. Mach. Learn. Res. 12 (2011).
James, G., Witten, D., Hastie, T. & Tibshirani, R. An Introduction To Statistical Learning: with Applications in R Vol. 103 (Springer, 2013).
Kuhn, M. & Johnson, K. Applied Predictive Modeling Vol. 26 (Springer, 2013).
Lundberg, S. M. & Lee, S. I. A unified approach to interpreting model predictions. Adv. Neural Inform. Process. Syst. 30 (2017).
Apley, D. W. & Zhu, J. Visualizing the effects of predictor variables in black box supervised learning models. J. Royal Stat. Soc. Ser. B: Stat. Methodol. 82, 1059–1086 (2020).
Motaghi, F. A., Hamzehpour, N., Abasiyan, S. M. A. & Rahmati, M. The wind erodibility in the newly emerged surfaces of urmia Playa lake and adjacent agricultural lands and its determining factors. Catena 194, 104675 (2020).
Harati, H., Kiadaliri, M., Tavana, A., Rahnavard, A. & Amirnezhad, R. Urmia lake dust storms occurrences: investigating the relationships with changes in water zone and land cover in the Eastern part using remote sensing and GIS. Environ. Monit. Assess. 193, 70 (2021).
Abadi, A. R. S., Hamzeh, N. H., Shukurov, K., Opp, C. & Dumka, U. C. Long-term investigation of aerosols in the urmia lake region in the middle East by ground-based and satellite data in 2000–2021. Remote Sens. 14, 3827 (2022).
Hamzeh, N. H. et al. A comprehensive investigation of the causes of drying and increasing saline dust in the urmia Lake, Northwest Iran, via ground and satellite observations, synoptic analysis and machine learning models. Ecol. Inf. 78, 102355 (2023).
Ghasempour, R., Aalami, M. T., Saghebian, S. M. & Kirca, V. O. Analysis of Spatiotemporal variations of drought and soil salinity via integrated multiscale and remote sensing-based techniques (Case study: urmia lake basin). Ecol. Inf. 81, 102560 (2024).
Behrooz, R. D., Esmaili-Sari, A. & Bahramifara, N. Effect wind speed and dehydration Hamoun wetland on characterization of ionic composition of Tsp and Pmduring the 120 day winds of Sistan, Iran. Adv. Appl. Sci. Res. 7, 8–18 (2016).
Rashki, A., Kaskaoutis, D., Goudie, A. S. & Kahn, R. Dryness of ephemeral lakes and consequences for dust activity: the case of the Hamoun drainage basin, southeastern Iran. Sci. Total Environ. 463, 552–564 (2013).
Ebrahimi-Khusfi, Z., Nafarzadegan, A. R. & Dargahian, F. Predicting the number of dusty days around the desert wetlands in southeastern Iran using feature selection and machine learning techniques. Ecol. Ind. 125, 107499 (2021).
Ebrahimi-Khusfi, Z., Nafarzadegan, A. R., Ebrahimi-Khusfi, M. & Zandifar, S. Monitoring the water surface of wetlands in Iran and their relationship with air pollution in nearby cities. Environ. Monit. Assess. 194, 488 (2022).
Kharazmi, R. et al. Monitoring and assessment of seasonal land cover changes using remote sensing: A 30-year (1987–2016) case study of Hamoun Wetland, Iran. Environ. Monit. Assess. 190, 356 (2018).
Abadi, A. R. S., Hamzeh, N. H., Kaskaoutis, D. G., Opp, C. & Kazemi, A. F. Long-Term Spatio-Temporal Analysis, Distribution, and trends of dust events over Iran. Atmosphere 16, 334 (2025).
Zandifar, S., Jamalian, A. & Naemi, M. Analyzing the sedimentological parameters and size distribution pattern in Hamoun Hirmand sediments. Desert Manage. 12, 1–18 (2024).
Shaheen, A. et al. Spatio-temporal changes of spring-summer dust AOD over the Eastern mediterranean and the middle east: reversal of dust trends and associated meteorological effects. Atmos. Res. 281, 106509 (2023).
Ebrahimi-Khusfi, Z. et al. Determining the contribution of environmental factors in controlling dust pollution during cold and warm months of Western Iran using different data mining algorithms and game theory. Ecol. Ind. 132, 108287 (2021).
Ebrahimi-Khusfi, Z., Jalali, G., Abbasi, M. & Zavari, S. Analysis of dust aerosol optical depth changes and their frequency in different areas of Jazmourian basin using remote sensing technology. Desert Ecosyst. Eng. 14, 17–34 (2025).
Hadipour, M. et al. Evaluation of water resource balance in the urmia lake basin: integrating carrying capacity and water footprint model for sustainable management. Ecol. Ind. 166, 112464 (2024).
Foroumandi, E., Nourani, V. & Kantoush, S. A. Investigating the main reasons for the tragedy of large saline lakes: Drought, climate change, or anthropogenic activities? A call to action. J. Arid Environ. 196, 104652 (2022).
Khanfari, V., Asgari, H. M. & Dadollahi-Sohrab, A. Forecasting wetland transformation to dust source by employing CA-Markov model and remote sensing: A case study of Shadgan international wetland. Wetlands 44, 96 (2024).
Ebrahimi-Khusfi, Z., Dargahian, F. & Nafarzadegan, A. R. Predicting the dust events frequency around a degraded ecosystem and determining the contribution of their controlling factors using gradient boosting-based approaches and game theory. Environ. Sci. Pollut. Res. 29, 36655–36673 (2022).
Namdari, S., Valizadeh Kamran, K. & Sorooshian, A. Analysis of some factors related to dust storms occurrence in the Sistan region. Environ. Sci. Pollut. Res. 28, 45450–45458 (2021).
Yousefi, R., Wang, F., Ge, Q., Lelieveld, J. & Shaheen, A. Aerosol trends during the dusty season over Iran. Remote Sens. 13, 1045 (2021).
Bashirian, F., Rahimi, D. & Movahedi, S. Effects of land use changes on local dust event in urmia lake basin. Land. Use Policy. 148, 107416 (2025).
Mousavi, H., Panahi, D. M. & Kalantari, Z. Dust and climate interactions in the middle east: Spatio-temporal analysis of aerosol optical depth and Climatic variables. Sci. Total Environ. 927, 172176 (2024).
Khachak, S. H. et al. Application of remote sensing and Spatial fuzzy Multi-criteria decision analysis to identify potential dust sources in lake urmia Basin, Northwest Iran. J. Indian Soc. Remote Sens. 52, 2057–2071 (2024).
Xiang, Z. et al. Spatiotemporal variations and driving factor analysis of aerosol optical depth in terrestrial ecosystems in Northern Xinjiang from 2001 to 2023. Atmosphere 15 (2024).
Kim, H. & Choi, M. Impact of soil moisture on dust outbreaks in East asia: using satellite and assimilation data. Geophys. Res. Lett. 42, 2789–2796 (2015).
Meng, H., Bai, G. & Wang, L. Analysis of the Spatial and Temporal distribution characteristics of AOD in typical industrial cities in Northwest China and the influence of meteorological factors. Atmospheric Pollution Res. 15, 101957 (2024).
Tariq, S., Qayyum, F., Ul-Haq, Z. & Mehmood, U. Long-term Spatiotemporal trends in aerosol optical depth and its relationship with enhanced vegetation index and meteorological parameters over South Asia. Environ. Sci. Pollut. Res. 29, 30638–30655 (2022).
Liu, X. et al. An improvement of the revised wind erosion equation by considering the effect of non-photosynthetic vegetation. Geoderma 445, 116880 (2024).
Luo, Q., Zhen, L., Xiao, Y. & Wang, H. The effects of different types of vegetation restoration on wind erosion prevention: a case study in Yanchi. Environ. Res. Lett. 15, 115001 (2020).
Batukaev, A. M. A. et al. Ion association in water solution of soil and vadose zone of chestnut saline Solonetz as a driver of terrestrial carbon sink. Solid Earth. 7, 415–423 (2016).
Liu, J., Ding, J., Li, X., Zhang, J. & Liu, B. Identification of dust aerosols, their sources, and the effect of soil moisture in central Asia. Sci. Total Environ. 868, 161575 (2023).
Al-Taei, A. I., Alesheikh, A. A. & Boloorani, A. D. Evaluating the effects of land use/land cover change on the emergence of hazardous dust sources in the Tigris-Euphrates basin. Spat. Inform. Res. 32, 569–582 (2024).
Boloorani, A. D. et al. Assessing the role of drought in dust storm formation in the Tigris and euphrates basin. Sci. Total Environ. 921, 171193 (2024).
Acknowledgements
The authors thank the efforts of the MODIS and Terra Climate product teams in producing and distributing these worthwhile datasets. The authors also thank the AERONET network and the diligent people working towards gathering and processing the aerosol data used in this research. DGK acknowledges support by the project ARIADNE (grant agreement no. 856612) received funding from the European Union’s Horizon 2020 Research and Innovation Programme and the Cyprus Government.
Author information
Authors and Affiliations
Contributions
Zohre Ebrahimi-Khusfi: writing—original draft, visualization, resources, project administration, methodology, investigation, formal analysis, data curation, conceptualization, writing—review & editing. Seyed Arman Samadi-Todar: software, methodology, formal analysis, data curation, conceptualization, writing—review & editing. Narjes Okati: writing—original draft, investigation, formal analysis. Dimitris Kaskaoutis: writing—review & editing.
Corresponding author
Ethics declarations
Competing interests
The authors declare no competing interests.
Consent to publish
All authors have read and agreed to the published version of the manuscript.
Additional information
Publisher’s note
Springer Nature remains neutral with regard to jurisdictional claims in published maps and institutional affiliations.
Supplementary Information
Below is the link to the electronic supplementary material.
Rights and permissions
Open Access This article is licensed under a Creative Commons Attribution-NonCommercial-NoDerivatives 4.0 International License, which permits any non-commercial use, sharing, distribution and reproduction in any medium or format, as long as you give appropriate credit to the original author(s) and the source, provide a link to the Creative Commons licence, and indicate if you modified the licensed material. You do not have permission under this licence to share adapted material derived from this article or parts of it. The images or other third party material in this article are included in the article’s Creative Commons licence, unless indicated otherwise in a credit line to the material. If material is not included in the article’s Creative Commons licence and your intended use is not permitted by statutory regulation or exceeds the permitted use, you will need to obtain permission directly from the copyright holder. To view a copy of this licence, visit http://creativecommons.org/licenses/by-nc-nd/4.0/.
About this article
Cite this article
Ebrahimi-Khusfi, Z., Samadi-Todar, S.A., Okati, N. et al. A 25-year assessment of aerosol dynamics and environmental drivers in Iran’s Lakes and wetlands. Sci Rep 15, 43916 (2025). https://doi.org/10.1038/s41598-025-27607-4
Received:
Accepted:
Published:
Version of record:
DOI: https://doi.org/10.1038/s41598-025-27607-4













