Fig. 5

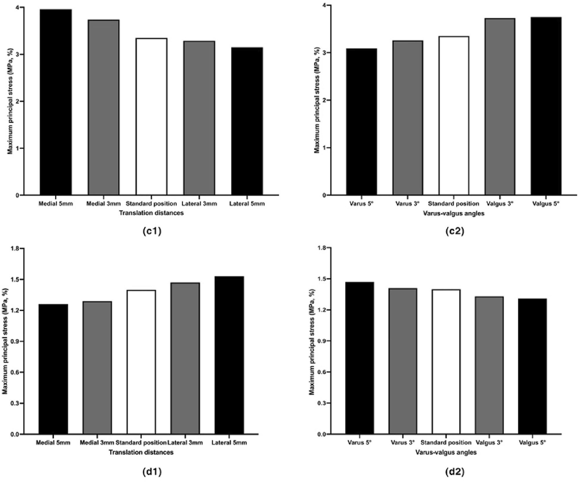
Maximum principle stress distributions on medial and lateral collateral ligaments (MCL and LCL) with respect to medial and lateral translations, as well as varus and valgus. c1-c2: MCL; d1-d2: LCL.

Maximum principle stress distributions on medial and lateral collateral ligaments (MCL and LCL) with respect to medial and lateral translations, as well as varus and valgus. c1-c2: MCL; d1-d2: LCL.