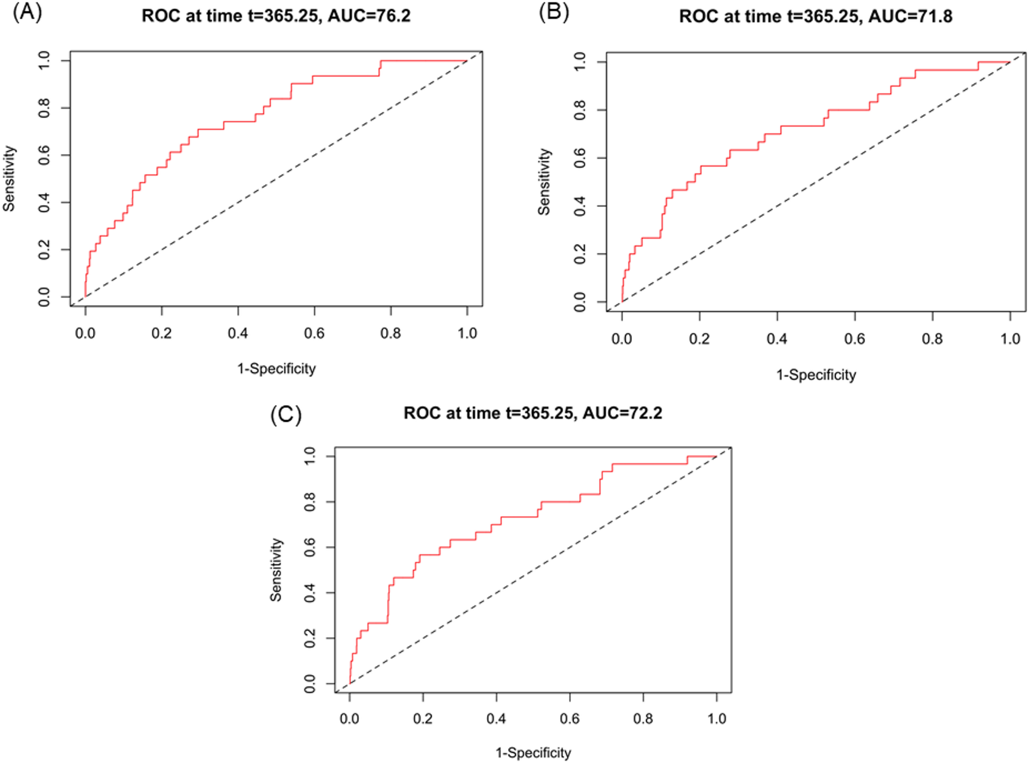
Fig. 3

ROC curve for predicting mortality using albumin (A), basophil (B), and albumin*basophil (C). ROC, receiver operating characteristic; AUC, area under curve.

ROC curve for predicting mortality using albumin (A), basophil (B), and albumin*basophil (C). ROC, receiver operating characteristic; AUC, area under curve.