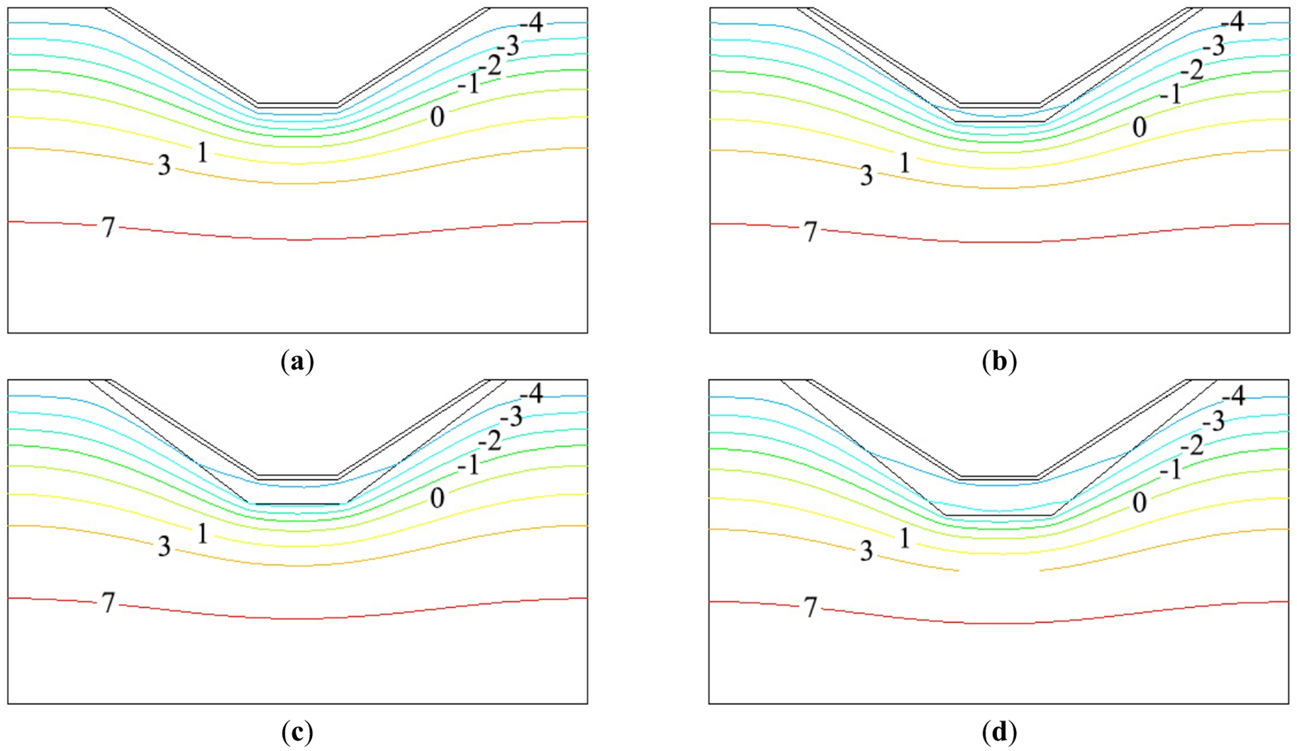
Fig. 8

Distribution characteristics of canal temperature field (numerical simulation results): (a) scheme 1; (b) scheme 3; (c) scheme 6; (d) scheme 8.

Distribution characteristics of canal temperature field (numerical simulation results): (a) scheme 1; (b) scheme 3; (c) scheme 6; (d) scheme 8.