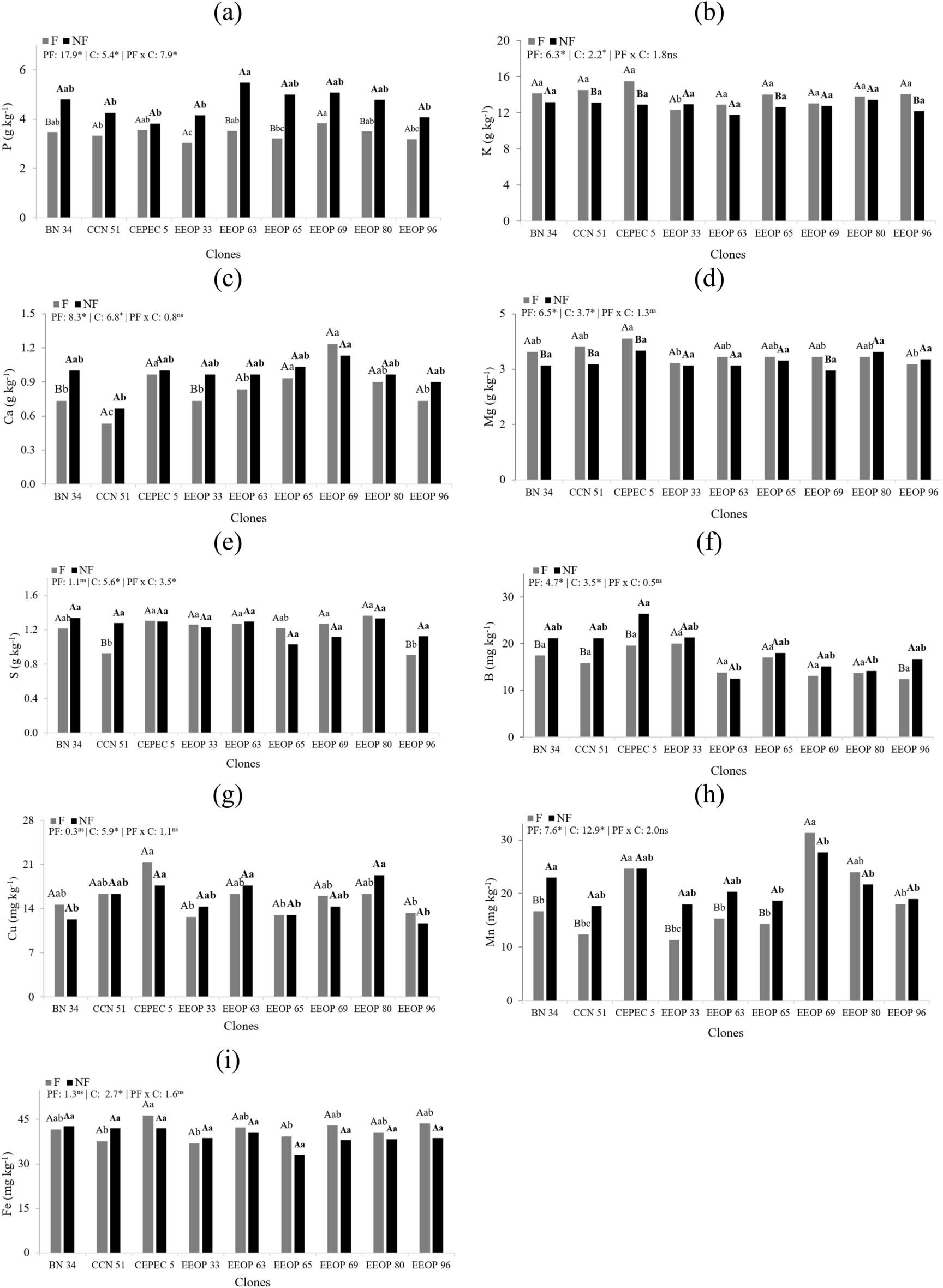
Fig. 3

Effects of nine cocoa clones (C) and the fermentation process (PF), fermented (F) and non-fermented (NF), on the mean contents of phosphorus (a), potassium (b), calcium (c), magnesium (d), sulfur (e), boron (f), copper (g), manganese (h), and iron (i) in cocoa beans. Uppercase letters compare fermentation levels (F vs. NF) within each clone; lowercase letters compare clones within each fermentation level, according to Tukey’s test (p < 0.05). * = significant, ns = not significant according to the F test (p < 0.05).