Fig. 6

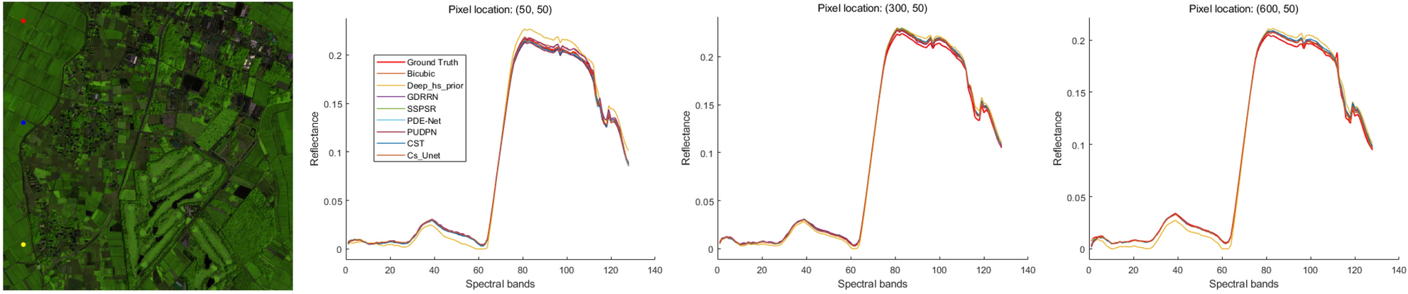
The visual comparison of the spectral curves at the pixel positions (50, 50), (300, 50), and (600, 50) in the Chikusei dataset.

The visual comparison of the spectral curves at the pixel positions (50, 50), (300, 50), and (600, 50) in the Chikusei dataset.