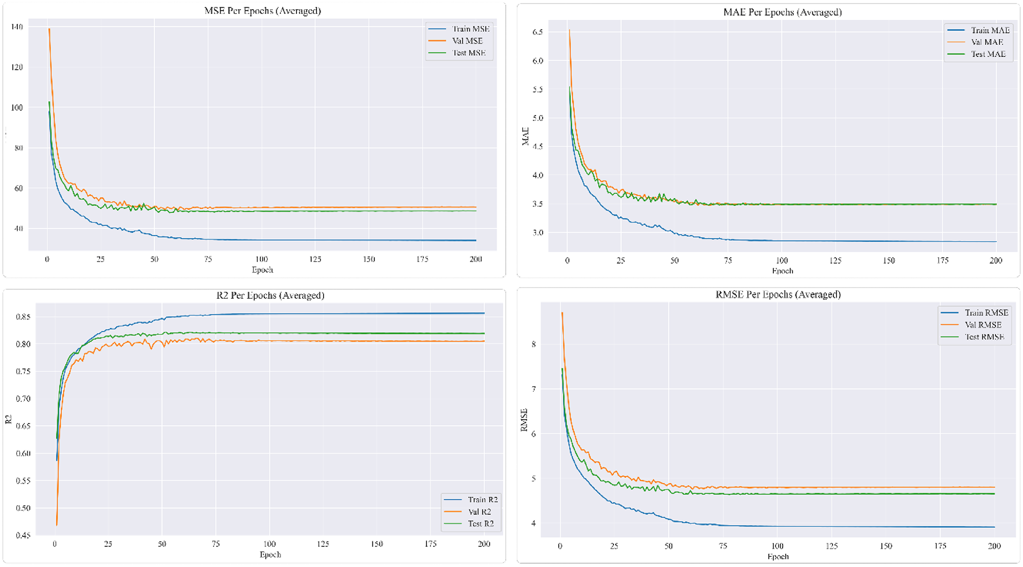
Fig. 5

Convergence Analysis of MA-NODE Across 200 Epochs, Depicting MSE, MAE, R², and RMSE Metrics for Training, Validation, and Test Sets, Averaged Over All Pollutants.

Convergence Analysis of MA-NODE Across 200 Epochs, Depicting MSE, MAE, R², and RMSE Metrics for Training, Validation, and Test Sets, Averaged Over All Pollutants.