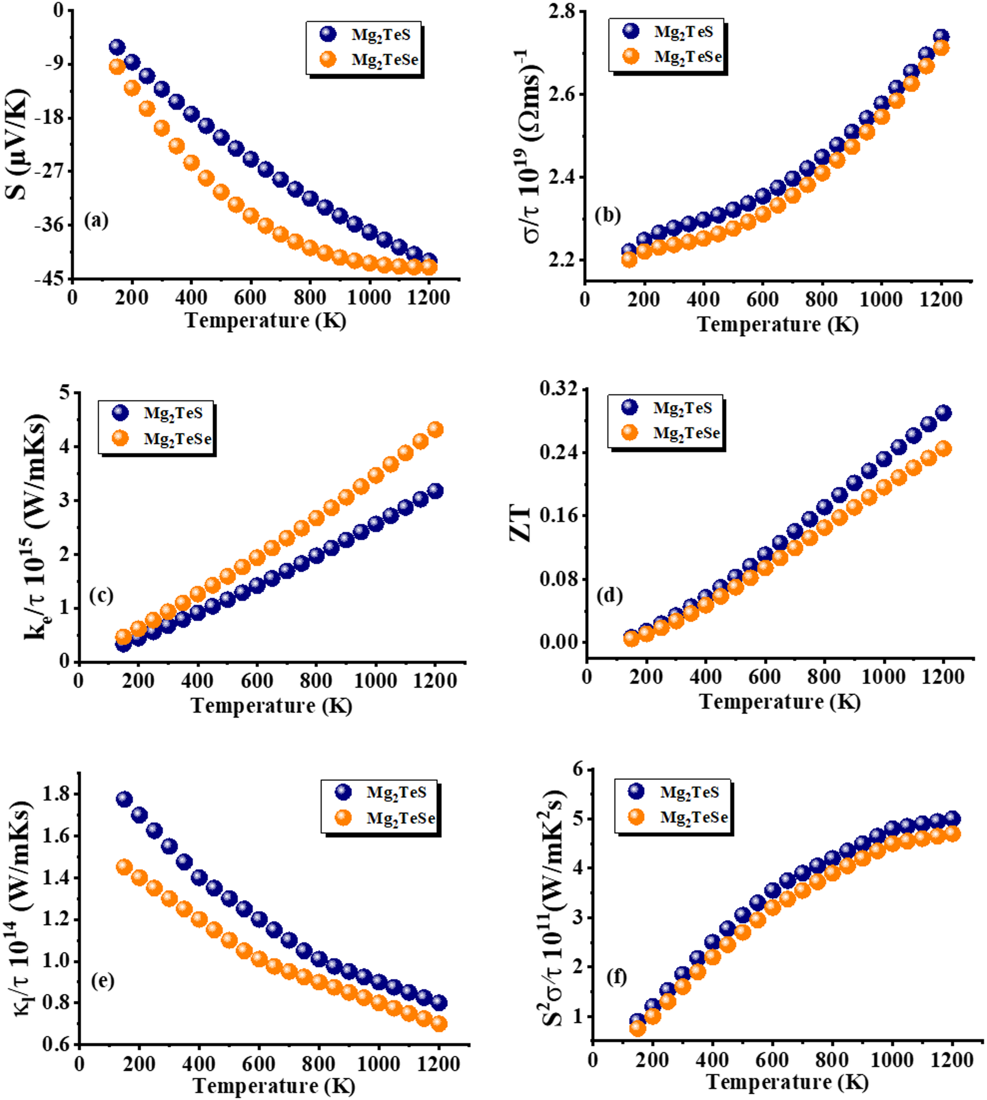
Fig. 6
From: Exploring multifunctional properties of ternary chalcogenides for advanced energy applications

The computed (a) Seebeck coefficient, (b) Electrical Conductivity, (c) Electronic thermal conductivity, (d) Figure of Merit, (e) Lattice thermal conductivity, and (f) Power factor for Mg2TeX (X = S, Se) materials.