Fig. 4
From: Smart system for forecasting financial outcomes and supporting strategic choices

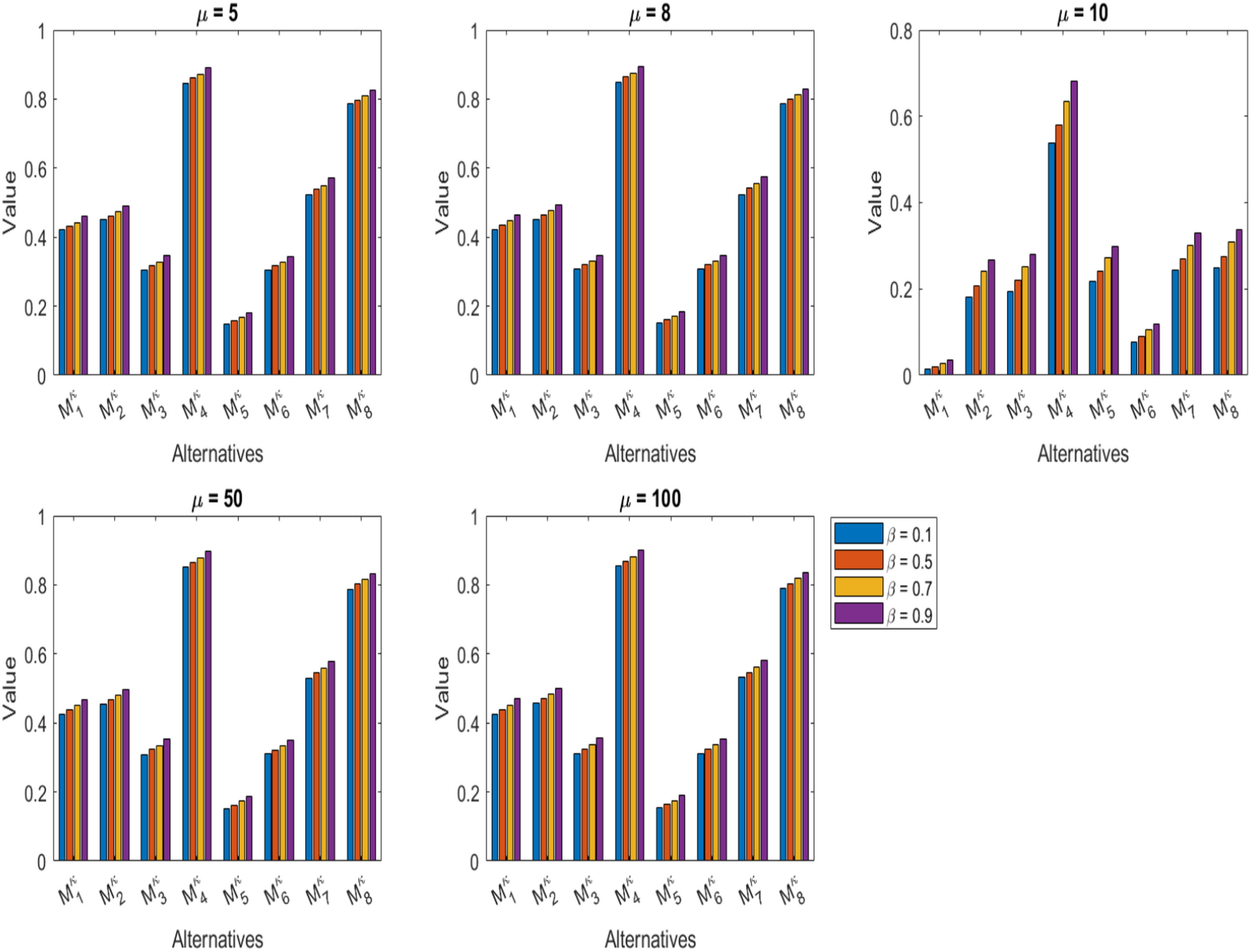
Effect of varying \(\mu\) and \(\beta\) on performance scores \(M^\kappa _i\) of alternatives by the WASPAS method.
From: Smart system for forecasting financial outcomes and supporting strategic choices

Effect of varying \(\mu\) and \(\beta\) on performance scores \(M^\kappa _i\) of alternatives by the WASPAS method.