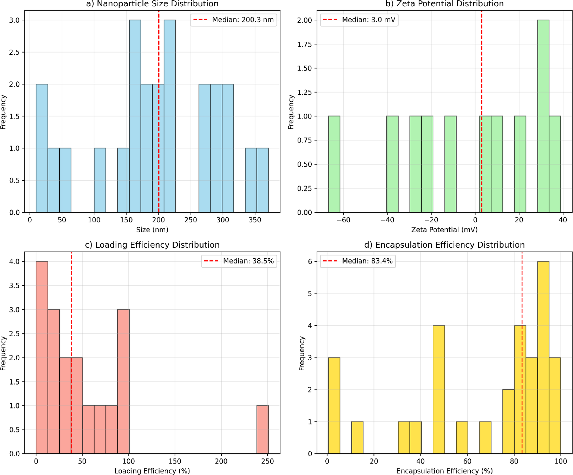
Fig. 1

Distribution of key variables in the curated nanocomposite dataset. (a) Nanoparticle size distribution showing predominance of particles in the 100–300 nm range. (b) Zeta potential distribution with bipolar characteristics. (c) Loading Efficiency distribution. (d) Encapsulation Efficiency distribution.