Fig. 10
From: Heavy metal removal by hydrogel synthesized from rice bran/acrylic acid/sodium alginate

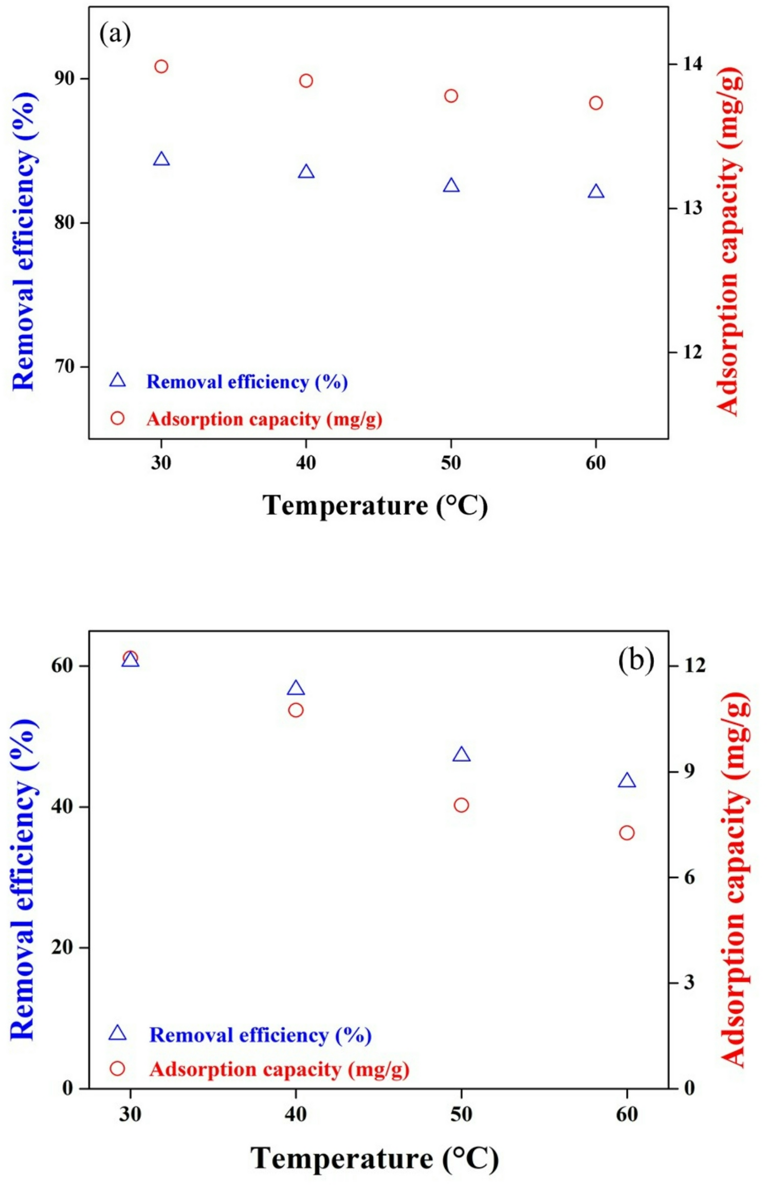
The influence of temperature on the adsorption performance for metal ions removal (a) Cu2+, (b) Ni2+.
From: Heavy metal removal by hydrogel synthesized from rice bran/acrylic acid/sodium alginate

The influence of temperature on the adsorption performance for metal ions removal (a) Cu2+, (b) Ni2+.