Abstract
This study reports the synthesis of a novel hydrogel adsorbent prepared from rice bran (RB), acrylic acid (AA), and sodium alginate (SA) for the removal of Cu²⁺ and Ni²⁺ from aqueous solutions. RB, an abundant agricultural by-product rich in cellulose and functional groups, was combined with SA and polymerized with AA to produce a cost-effective, eco-friendly, and reusable adsorbent. Adsorption performance was systematically evaluated under varying pH values, temperatures, metal ion concentrations, and adsorbent dosages. The optimum conditions for Cu²⁺ removal were pH 5.5, 30 °C, and an adsorbent dosage of 1 pcs, yielding a maximum adsorption capacity of 26.5 mg g⁻¹ with 88% removal efficiency. For Ni²⁺, the best performance was achieved at pH 8 and 30 °C, with a capacity of 41.81 mg g⁻¹ and 62% removal efficiency. Isotherm analysis showed that adsorption followed the Langmuir model, while kinetics were best described by the pseudo-second-order model. The adsorbent retained over 85% of its initial capacity after five adsorption–desorption cycles, confirming good reusability.
Similar content being viewed by others
Introduction
The World Water Council has estimated that by 2030, as many as 3.9 billion individuals will be living in water scarce areas1. One of the primary causes is water pollution resulting from the discharge of industrial effluent. Organic compounds and heavy metal ions in industrial wastewater tend to accumulate in the human body through the food chain, posing a serious threat to both the environment and human health.
Effluent associated with the fabrication of circuit boards typically contains high concentrations of metals and/or metalloids with atomic densities exceeding 4 g·cm− 32, such as cobalt, nickel, tin, arsenic, chromium, zinc, mercury, lead, cadmium, copper, boron, and titanium3. The most common heavy metal ions in this effluent are Cu2+ and Ni2+4, with emission concentrations ranging from 10 to 150,000 mg·L− 1. Although Cu and Ni are essential to human health, excess Cu concentrations can have adverse health effects (e.g., nausea, vomiting and kidney failure) and long-term exposure to Ni can cause chronic bronchitis and lung disease5,6. Note that this type of pollution is particularly severe in Taiwan—a major producer of circuit boards within a relatively small geographic area.
Numerous methods have been developed for treating heavy metal wastewater, include ion exchange7, chemical precipitation8,9, flocculation10, coagulation11, membrane separation12, reverse osmosis13, and adsorption14,15,16. Among these, adsorption is the most widely used method due to its simplicity, efficiency, low-cost, ease of manufacture, and minimal secondary pollution17,18,19. Many research teams are developing low-cost adsorbents from agricultural and household waste, sludge generated in industrial processes, marine materials, or ore20,21,22. Agricultural waste—such as agave, rice bran, bagasse, barley straw and fruit peel—has attracted particular attention due to its availability and affordability23,24. This is because such wastes are abundantly generated as by-products of agricultural activities, are renewable in nature. Moreover, they often contain cellulose, hemicellulose, lignin, and various functional groups capable of interacting with heavy metal ions, making them promising candidates for adsorption. However, its relatively poor adsorption performance has thus far limited its practical applicability in heavy metal removal25.
RB is a low-cost by-product of white rice production with an estimated annual production of 100,000 tons in Taiwan. Several researchers have explored the use of RB as an adsorbent, focusing on functional group modification to enhance adsorption efficiency26. In the current study, RB was combined with SA to form an efficient adsorbent using a straightforward method that is economical, highly efficient, and environmentally friendly.
Materials and methods
Reagents and materials
N, N’-Methylenebisacrylamide (C7H10N2O2), hydrochloric acid (HCl) and nickel(II) chloride (NiCl2) were purchased from Acros Organics (Geel, Belgium). SA ((C6H8O6)n) was purchased from Sigma–Aldrich Co. Ltd. (USA). Sodium hydroxide (NaOH) was purchased from Fisher chemical company. AA (C3H4O2), copper(II) chloride (CuCl2) and ammonium persulfate ((NH4)2S2O8) were purchased from Alfa Aesar chemicals Co., Ltd. All materials were prepared and applied without further purification. Water was deionized using a Milli-Q water purification system (Millipore Corp.).
Adsorbent Preparation
RB (Tainan No. 11 rice) was purchased from a commercial vendor in Taichung, Taiwan. The RB was first sun-dried for two to three days and then passed through a 100-mesh sieve (< 0.149 m·m− 1).
As shown in Fig. 1, the reaction solution was prepared by heating 60 mL of deionized water to 70 ° C in a square mold (8 × 8 × 1.5 cm), to which was added 8 ml of AA containing 300 mg of a cross-linking agent (N, N’ – Methylenebisacrylamide; MBA) under stirring for 20 min. To this solution was added 500 mg of RB with 1200 mg of SA, and 240 mg of ammonium persulfate (APS), followed by vigorous stirring for 2 h.
Preparation flowchart of RASH adsorbent.
The resulting hydrogel was molded into 1 cm x 1 cm cubic blocks and dried in an oven at 50 ° C over a period of 24 h. Hereafter, the RB/AA/SA Hydrogel samples are referred to as RASH.
Adsorbent characterization
The micro-structure and morphology of as-prepared RASH samples were characterized using a Scanning Electron Microscope (SEM) (JEOL JSM-7800 F, Japan). The elemental composition of as-prepared samples was analyzed using an Energy Dispersive X-ray Spectroscopy (EDS).
The chemical composition of the samples was confirmed using an X-ray photoelectron Spectroscope (ULVAC-PHI 5000 VersaProbe Scanning ESCA Microprobe) equipped with Al Kα radiation. Fourier-transform Infrared (FTIR) spectra were acquired over a wavelength range of 500–4000 cm− 1. The thermal decomposition of as-prepared samples was assessed using thermogravimetric analysis. The swelling of samples was calculated as follows:
where Wt indicates the weight of the swollen sample, and Wd indicates the weight of the dried sample.
Batch adsorption experiments
Batch experiments were conducted to assess the individual and simultaneous adsorption of Cu(II) and Ni(II) onto as-prepared adsorbent in aqueous solutions. Stock solutions containing unitary (Cu, Ni) and binary (Cu–Ni) metal contaminants were prepared by dissolving NiCl2 and CuCl2 into deionized water at a concentration of 1000 ppm. Working solutions of various concentrations were subsequently obtained by diluting the stock solutions with deionized water.
Experiments were performed in a temperature-controlled water bath shaker at a mixing speed of 100 rpm for set durations. Adsorption performance was assessed under various adsorption conditions by varying key parameters, including contact time, initial concentration, pH, and temperature. The pH values of the contaminant solutions were controlled through the drop-wise addition of HCl/NaOH solutions, as follows: Cu (pH 2–6), Ni (pH 2–8).
Upon the completion of the adsorption process, the adsorbent was filtered and washed using deionized water. The initial and final metal concentrations in the solutions were measured using an ultraviolet/visible light spectrometer.
The regeneration ability of the adsorbent was also investigated by performing five Cu(II) and Ni(II) adsorption/desorption (A/D) cycles using 0.1 M AA aqueous solution. Metal ion adsorption and adsorption capacity were respectively calculated using the following equations:
where Qe refers to the amount (mg·g− 1) of metal ions adsorbed by the adsorbent, C0 and Ce respectively indicate the metal concentrations (mg·L− 1) in the solution before and after adsorption, V is the volume (L) of the solution, and m is the mass (g) of adsorbent used in the experiments.
The adsorption process was analyzed in terms of its similarity to pseudo-first-order and pseudo-second-order rate expressions, which were used to describe the adsorption kinetics:
Pseudo first-order rate expression:
Pseudo second-order rate expression:
where Q0 is the equilibrium adsorption capacity (mg·g− 1), Qt is the adsorption capacity over time, k1 is the pseudo-first-order rate constant (min–1), k2 is the pseudo-second-order rate constant (g (mg min)–1).
The Langmuir, Freundlich, and Dubinin–Radushkevich (D–R) models were selected to describe the adsorption isotherm more scientifically. These models represent the adsorption modes and interactions between adsorbed molecules or ions. The Langmuir isotherm model assumes that adsorption involves a saturated monolayer of solute molecules on a homogeneous surface, and that adsorption energy remains constant without lateral interactions or the migration of adsorbate particles. The model is typically represented using the following equation:
where Qe refers to the equilibrium adsorption capacity of the adsorbate on the adsorbent (mg·g− 1), Ce indicates the equilibrium concentration of the adsorbate in the contaminant solution (mg·L− 1), Q0 represents the maximum monolayer capacity of adsorbent (mg·g− 1), and KL is the Langmuir adsorption constant (L·mg− 1), related to the free energy of adsorption.
The Freundlich model assumes a heterogenous energetic distribution of sites due to the diverse nature of adsorption sites or the varied forms of adsorbed metal ions, whether free or hydrolyzed. Unlike the Langmuir model, the Freundlich model is an empirical isotherm describing multilayer adsorption on a heterogeneous surface. It accounts for the non-uniform distribution of adsorption energies through the heterogeneity factor (n− 1). It describes reversible adsorption and is not restricted to the formation of a monolayer, which makes it useful for analyzing adsorption data. The model is expressed as follows:
where KF (mg·g− 1 (L·mg− 1)1/n) and n− 1 represent the Freundlich constants corresponding to adsorption capacity and adsorption intensity, respectively.
The Dubinin–Radushkevich equation is widely used to describe adsorption in microporous materials, as follows:
where Ce represents the equilibrium concentration in solution (mg·L− 1).
Kinetic data can also be analyzed using the intraparticle diffusion kinetics model
where ki (mg·g–1 ·h–1/2) is the intraparticle diffusion rate constant and C (mg·g− 1) is a constant.
Results and discussion
Figure 2a presents SEM images of as-prepared adsorbent illustrating the morphology and microstructure. In its raw form, the RB presented a distinct shape with a rough surface27. When combined with AA to form RB/AA, the surface of the bran became smoother (Fig. 2b) with a hydrogel coating that hid individual particles and pores. When combined with AA and alginate to form RASH, the surface tightened and wrinkled (Fig. 2c). The appearance of a few surface pores was likely caused by the loss of water molecules during drying. The porous structure with surface folds increased the surface area, resulting in a larger number of adsorption sites, thereby enhancing adsorption performance.
(a) SEM image of RB, (b) SEM image of RB / AA, (c) SEM image of RASH.
As shown in Fig. 3, EDS analysis was used to identify the elements in RASH samples. The as-prepared adsorbent presented mainly carbon and oxygen atoms (Fig. 3a), however, peaks indicative of Cu and Ni appeared after the adsorption process (Fig. 3b and c, and 3d).
EDS spectrum of the as-obtained samples. (a) Element mapping pattern of RASH, (b) Element mapping pattern of RASH (after adsorption of copper ions), (c) Element mapping pattern of RASH (after adsorption of nickel ions), (d) Element mapping pattern of RASH (after adsorption of copper and nickel ions).
Fourier-transform infrared spectroscopy were used to study functional groups on the as-prepared adsorbents. As shown in Fig. 4a, the RB exhibited a wide absorption peak at 3200–3600 cm− 1, indicating the presence of O-H and N-H groups from glutin, ferulic acid, and vitamins in the RB28. Peaks detected at 2933 cm− 1 and 2855 cm− 1 corresponded to the stretching vibration of C-H, and an obvious peak at 1712 cm− 1 corresponded to C = O groups from glutaminol and ferulic acid. A peak detected at 1595 cm− 1 corresponded to the OH stretching vibration of silanol groups29.
FTIR spectra of the as-prepared adsorbents.
Absorption bands at 1350–1480 cm− 1 indicated the stretching vibrations of O–H, while a peak at 1014 cm− 1 corresponded to the stretching vibrations of C-O. In RB/AA, a peak at 1718 cm− 1 was associated with overlapping stretching vibrations of carboxylamine and NH bending vibrations of an amide group. The peaks at 1539 cm− 1 and 1450 cm− 1 indicated the asymmetric and symmetric vibrations of carboxylic acid30. A broad peak observed at 3400–3600 cm− 1 can be attributed to O-H and N-H stretching vibrations.
In RASH samples, characteristic peaks detected at 1031 cm− 1 and 1161 cm− 1 corresponded to C-OH stretching vibrations of the algal salt polysaccharide structure. Peaks at 1701 cm− 1 and 1449 cm− 1 corresponded to the asymmetric and symmetrical elongation vibrations of carboxylate (COO−) groups, while the broad peak at 3466 cm− 1 corresponded to the tensile vibration of O-H stretching31,32.
In the FTIR spectra, the intensity and position of the characteristic peaks in RB and RB/PAA differed from those in RASH samples. Moreover, the lower intensity of hydroxyl stretching vibrations in RB and RB/PAA confirmed the anchoring of functional groups. As shown in Fig. 4b, the intensities of all characteristic peaks decreased after adsorption, thereby confirming the interaction of heavy metal ions with the adsorbent.
Figure 5 presents TGA analysis of RB, RB/AA, and RASH samples. We observed distinct differences in the temperature at which the samples began losing weight: RB (76 °C), RB/AA (168 °C), and RASH (174 °C). These findings clearly illustrate the effects of AA and alginate on thermal stability. The initial weight loss (0 and 110 °C) was primarily due to the volatilization of adsorbed water33. RB samples exhibited a sharp weight loss between 240 °C and 360 °C, due mainly to the decomposition of cellulose. RB/AA underwent decomposition at 340 °C ~ 500 °C, due mainly to carboxyl group and glutamamine degradation30, whereas RASH underwent decomposition at 340 °C ~ 500 °C, due to carboxyl group degradation34.
TGA curves of the as-prepared adsorbents.
In a pH-specific environment, the adsorbent surface has zero net charge, referred to as the point of zero charge (pHpzc)35. In this study, we determined the pHpzc of RASH and analyzed the relationship between pH variation and surface charge to elucidate the interaction between heavy metal ions and the adsorbent. As shown in Fig. 6, when the solution pH exceeded 3.28, the surface of RASH carried a net negative charge due to deprotonation of functional groups such as –OH and –COOH, thereby enhancing electrostatic attraction toward positively charged Cu²⁺ and Ni²⁺ ions. Conversely, at pH values below 3.28, protonation of surface groups led to a net positive charge, resulting in electrostatic repulsion between the adsorbent surface and the cationic metal ions, thus lowering adsorption efficiency36.
The zeta potential of RASH under different pH values.
The expansion of the hydrogel adsorbents in an aqueous solution was characterized by comparing the hydrophilicity of RB/AA and RASH hydrogel adsorbents using the weight method. As shown in Fig. 7, water molecules entered the RASH hydrogel network more rapid than the RB/AA during the initial diffusion stage, thereby enhancing the swelling ability of the hydrogel. This effect can be attributed to the electrostatic repulsion produced by the hydrophilic functional groups (carboxyl groups) in the alginate37. However, the three-dimensional (3D) interconnected network of channels in RASH samples restricted water penetration, thereby prolonging the time to reach expansion equilibrium30.
The expansion characteristics of the as-prepared adsorbents.
pH is an important factor in the process of copper/nickel ion adsorption. As shown in Fig. 8, the adsorption capacity of the RASH adsorbent increased with an increase in pH. However, the formation of Cu(OH)2/Ni(OH)2 precipitates under strongly alkaline conditions reduced the overall adsorption capacity38.
The influence of pH value on the adsorption performance for metal ions removal (a) Cu2+, (b) Ni2+.
The amount of adsorbent is one of the important factors affecting adsorption efficiency. From Fig. 9, it can be seen that the adsorption capacity for copper and nickel ion reached 13 mg·g− 1 and 10 mg·g− 1, respectively. However, the dose gradually increased to 5 particle, the adsorption capacity for copper/nickel ion gradually decreased. This is because the concentration of the metal ions remained unchanged, the amount of the adsorbent increased, the number of free adsorption sites increased and agglomeration occurs between adsorption sites, thereby reducing adsorption capacity of the adsorbent39. In order to achieve the best removal effect and maximize the efficiency of the adsorbent, 1 particle was selected as the optimal adsorption dose for removing Cu2+ / Ni2+.
The influence of adsorbent dose on the adsorption performance for metal ions removal (a) Cu2+, (b) Ni2+.
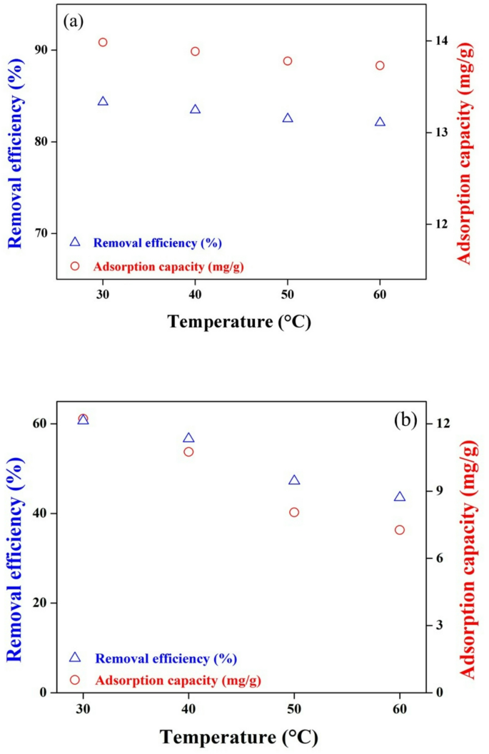
We also explored the effect of temperature on adsorption capacity using an aqueous solution containing Cu2+ ions (100 ppm) at pH 5.5 with an adsorbent dosage of 1 pcs. As shown in Fig. 10 (a), Cu2+ adsorption capacity decreased with an increase in temperature from 30 °C to 60 °C, indicating that the adsorption process involves an exothermic reaction. The increase in temperature increased the rate of metal ion migration, which led to an increase in the number of metal ions that detached from the adsorbent surface with a corresponding decrease in adsorption40. Overall, the optimal temperature for copper ion adsorption was 30 °C.
The influence of temperature on the adsorption performance for metal ions removal (a) Cu2+, (b) Ni2+.
The same experiment was conducted using an aqueous solution containing Ni2+ ions (100 ppm) at pH 8 with adsorbent dosage of 1 pcs. As shown in Fig. 10 (b), the Ni2+ adsorption capacity decreased with an increase in temperature, again indicating an exothermic reaction. Again, the optimal adsorption temperature was 30 °C.
To investigate the effect of initial heavy metal concentration on the adsorption capacity, we conducted an experiment using an aqueous solution containing Cu2+ or Ni2+ ions with an adsorbent dosage of 1 pcs. As shown in Fig. 11 (a), increasing the initial concentration of copper ions from 13 mg·g− 1 to 25 mg·g− 1 led to a gradual increase in adsorption capacity; however, adsorption performance decreased beyond this ion concentration. This can be explained by the fact that the RASH adsorbent possessed sufficient functional groups (carboxyl groups) to react a moderate number of Cu2+ ions, but not enough sites to accommodate high concentrations (adsorption saturation). As shown in Fig. 11 (b), increasing the initial concentration of Ni ions from 10 mg·g− 1 to 28 mg·g− 1 had the same effect as the Cu.
The influence of initial concentration on the adsorption performance for metal ions removal (a) Cu2+, (b) Ni2+.
Isothermal adsorption models describe the interaction between the adsorbate and adsorbent in the solution. In the current study, the isothermal adsorption of RASH adsorbent was assessed from the perspectives of the Langmuir, Freundich, and Dubin Radushkevich (D-R) isothermal equations.
As shown in Table 1, the process of Cu2+ adsorption on RASH conformed to the Langmuir isotherm model (R2 > 0.99), indicating mono-layer adsorption with a maximum adsorption capacity (qm) of 26.50 mg·g− 1. The separation factor (RL) ranged from 0.1783 to 0.2569, confirming a favorable adsorption process. A Freundlich isotherm parameter (n− 1) ranging from 0.18 to 0.21 (0 < RL< 1) confirmed a favorable adsorption process35.
The Dunin-Radushkevich (D–R) model yielded an average free energy (Ea) ranging from 0.15 to 0.17 kJ·mol− 1 (less than 8 kJ·mol− 1), which suggests that physical adsorption was the dominant process41.
As shown in Table 2, the process of Ni ion adsorption on RASH also conformed to the Langmuir isotherm adsorption model, indicating mono-layer adsorption with a maximum adsorption capacity (qm) of 41.81 mg·g− 1. The RL value ranged was 0.4005 to 0.6068 and n− 1 ranged from 0.39 to 0.49, indicating a favorable adsorption process. The D–R model yielded an average Ea range of 0.024 to 0.04 kJ·mol− 1, confirming that physical adsorption governed the process.
As shown in Fig. 12, the adsorption process can be divided into three stages42. In the first stage, the adsorbent had a large number of active sites driving rapid adsorption. In the second stage, the diffusion of metal ions into the pores of the adsorbent slowed the rate of adsorption. In the third stage, adsorption reached a dynamic equilibrium.
Dynamic adsorption curve of metal ions by RASH (a) Cu2+, (b) Ni2+.
We sought to describe the dynamic adsorption behavior of the RASH adsorbent from the perspective of pseudo-first-order, pseudo-second-order, and intraparticle diffusion models.
As shown in Table 3; Fig. 13, the pseudo-second-order kinetic model best described the adsorption kinetics of Cu2+ on RASH adsorbent, providing a better fit that the pseudo-first-order model. The calculated qe (9.34 mg·g− 1) closely aligned with the qe obtained in experiments (8.31 mg·g− 1), confirming that the adsorption process followed the pseudo-second-order kinetic model.
Pseudo-first-order model curve (a) Cu2+, (b) Ni2+.
As shown in Table 4; Fig. 14, the pseudo-second-order kinetic model best described the adsorption kinetics of Ni2+ on RASH. Again, the calculated qexp (9.34 mg·g− 1) closely aligned with the value obtained in experiments (8.29 mg·g− 1), confirming that the adsorption process followed the pseudo-second-order kinetic model.
Pseudo-second-order model curve (a) Cu2+, (b) Ni2+.
The intraparticle diffusion model was used to elucidate the mechanism underlying the adsorption of Cu and Ni ions on RASH. As shown in Fig. 15, the adsorption process exhibited a multi-linear profile, indicative of multiple adsorption stages. The fact that intercept (C) was not zero further indicates that the internal diffusion of particles was not the only rate-controlling mechanism involved in the adsorption process.
Internal diffusion model curve (a) Cu2+, (b) Ni2+.
As shown in Tables 3 and 4, the boundary layer effect increased with an increase in intercept values (C), hindering ion diffusion to active sites. The diffusion rate constants followed the trend kid1> kid2, indicating that in the initial stage of diffusion, the adsorption of Cu2+ and Ni2+ ions on the RASH can be attributed to the abundance of active sites43. Comparison of heavy metal adsorption in wastewater by agricultural waste, as shown in Table 544,45,46.
The recycling ability of an adsorbent is crucial to the cost-effectiveness of water treatment. This study explored the reusability of RASH by conducting cyclic experiments. As shown in Fig. 16, the removal rate of Cu2+ was 80% after 5 adsorption-desorption cycles, while the removal rate of Ni2+ was 58%, demonstrating good reusability.
Recycling stability tests over as-obtained RASH.
Conclusions
A novel hydrogel adsorbent (RASH) was successfully synthesized from RB, AA, and SA for the efficient removal of Cu²⁺ and Ni²⁺ from aqueous solutions. The hydrogel exhibited maximum adsorption capacities of 26.5 mg g⁻¹ for Cu²⁺ (88% removal efficiency) and 41.81 mg g⁻¹ for Ni²⁺ (62% removal efficiency) under optimal conditions. Adsorption behavior conformed to the Langmuir isotherm model, indicating monolayer adsorption, while Dubinin–Radushkevich analysis suggested physical adsorption as the dominant mechanism. The hydrogel maintained over 85% of its initial adsorption capacity after five reuse cycles, demonstrating strong regeneration ability. Given its low production cost, environmental friendliness, and robust adsorption performance, the RASH hydrogel shows significant potential for scalable industrial wastewater treatment. Future research could explore the use of other agricultural wastes (such as fruit shells, stems, and peels) as materials for hydrogel synthesis to achieve excellent and accessible low-cost and sustainable adsorbents.
Data availability
All data generated and analyzed during this study are included in this published article. Further information and additional datasets are available from the corresponding author upon reasonable request.
References
Tian, X. et al. Evolution of china’s water footprint and virtual water trade: A global trade assessment. Environ. Int. 121, 178–188 (2018).
Hawkes, S. J. What is a heavy metal? J. Chem. L Educ. 74, 1374 (1997).
Huang, Y., Xu, X., Li, X., Liu, X. & Liu, C. Effect of lubricant addition on bubble motion of refrigerant CO2 in the nucleate boiling process. Int. J. Refrig. 139, 104–112 (2022).
Mitra, S. et al. Impact of heavy metals on the environment and human health: novel therapeutic insights to counter the toxicity. J. King Saud Univ. Sci. 34, 101865 (2022).
Qiao, G. et al. Associations of urinary metal concentrations with anemia: A cross-sectional study of Chinese community-dwelling elderly. Ecotox Environ. Safe. 270, 115828 (2024).
Das, S., Mishra, S. & Sahu, H. A review of activated carbon to counteract the effect of iron toxicity on the environment. Environ. Chem. Ecotoxicol. 5, 86–97 (2023).
Kim, J. G. et al. Ion-exchangeable and sorptive reinforced membranes for efficient electrochemical removal of heavy metal ions in wastewater. J. Clean. Prod. 438, 140779 (2024).
Chen, H. et al. Three kinds of apatite adsorbents prepared by co-precipitation for Pb (II) and cd (II) removal from wastewater: performance, competitive effects and mechanisms. J. Mol. Liq. 400, 124478 (2024).
Kumar, M., Nandi, M. & Pakshirajan, K. Recent advances in heavy metal recovery from wastewater by biogenic sulfide precipitation. J. Environ. Manage. 278, 111555 (2021).
Nazari, B., Abdolalian, S. & Taghavijeloudar, M. An environmentally friendly approach for industrial wastewater treatment and bio-adsorption of heavy metals using pistacia soft shell (PSS) through flocculation-adsorption process. Environ. Res. 235, 116595 (2023).
Yang, Z. et al. Simultaneous chelated heavy metals removal and sludge recovery through titanium coagulation: from waste to resource. Sci. Total Environ. 912, 168821 (2024).
Radoor, S., Karayil, J., Jayakumar, A. & Siengchin, S. Efficient removal of dyes, heavy metals and oil-water from wastewater using electrospun nanofiber membranes: A review. J. Water Process. Eng. 59, 104983 (2024).
Goyburo-Chávez, C. et al. Pilot-scale reverse osmosis treatment of gold cyanidation effluent for the removal of cyanide, heavy metal(loid)s, and ionic species. Case Stud. Chem. Environ. Eng. 9, 100688 (2024).
Wang, Y. et al. Effect of extracellular polymers in the wastewater on the incorporation of heavy metals with Struvite and their adsorption mechanism. J. Environ. Chem. Eng. 11, 110017 (2023).
Meena, H. M., Kukreti, S. & Jassal, P. S. Synthesis of a novel chitosan-TiO2 nanocomposite as an efficient adsorbent for the removal of methylene blue cationic dye from wastewater. J. Mol. Struct. 1319, 139420 (2025).
Meena, H. M., Kukreti, S. & Jassal, P. S. Synthesis of novel Chitosan-Tannic acid adsorbent for removal of aluminum (III) from wastewater: characterisation, kinetics, equilibrium isotherms and thermodynamic studies. Adsorption 31, 46 (2025).
Meena, H., Mohan, S., Kukreti & Jassal, P. S. A case study on cross-linked formaldehyde-chitosan adsorbent to the removal of Zn (II) and Pb (II) ions from wastewater solution: equilibrium isotherms, kinetics, and desorption studies. J. Mol. Liq. 427, 127417 (2025).
Meena, H. M., Kukreti, S. & Jassal, P. S. Graphene oxide/goethite-chitosan composite to optimize adsorption of arsenic (III) from contaminated aquatic solution. Int. J. Biol. Macromol. 318, 145110 (2025).
Biswal, B. K. & Balasubramanian, R. Use of Biochar as a low-cost adsorbent for removal of heavy metals from water and wastewater: A review. J. Environ. Chem. Eng. 11, 110986 (2023).
Topare, N. S. & Wadgaonkar, V. S. A review on application of low-cost adsorbents for heavy metals removal from wastewater. Mater. Today: Proc. ;77:8–18. (2023).
Wibowo, Y. G. et al. Rapid and highly efficient adsorption of dye and heavy metal on low-cost adsorbent derived from human feces and chlorella vulgaris. Environ. Nanotechnol Monit. Manag. 20, 100905 (2023).
De Gisi, S., Lofrano, G., Grassi, M. & Notarnicola, M. Characteristics and adsorption capacities of low-cost sorbents for wastewater treatment: A review. Sustain. Mater. Technol. 9, 10–40 (2016).
Fouda-Mbanga, B. G., Velempini, T., Pillay, K. & Tywabi-Ngeva, Z. Heavy metals removals from wastewater and reuse of the metal loaded adsorbents in various applications: A review. Hybrid. Adv. 6, 100193 (2024).
Sarkar, S., Bar, N. & Das, S. K. Cr(VI) and Cu(II) removal from aqueous solution in fixed bed column using rice bran; experimental, statistical and GA modelling. J. Indian Chem. Soc. 98, 100216 (2021).
Kainth, S., Sharma, P. & Pandey, O. P. Green sorbents from agricultural wastes: A review of sustainable adsorption materials. App Surf. Sci. Adv. 19, 100562 (2024).
Ma, C. M., Yu, T. J., Yang, C. H. & Hong, G. B. Enhancement of plasticizer adsorption by utilizing a RB-derived adsorbent. Ecotox Environ. Safe. 228, 112972 (2021).
Wu, Q. et al. Comparison of Cd(II) adsorption properties onto cellulose, hemicellulose and lignin extracted from RB. LWT 144, 111230 (2021).
Lin, Q. et al. Effectively removal of cationic and anionic dyes by pH-sensitive amphoteric adsorbent derived from agricultural waste-wheat straw. J. Taiwan. Inst. Chem. Eng. 76, 65–72 (2017).
Arun, V., Perumal, E. M., Prakash, K. A., Rajesh, M. & Tamilarasan, K. Sequential fractionation and characterization of lignin and cellulose fiber from waste RB. J. Environ. Chem. Eng. 8, 104124 (2020).
Gharekhani, H., Olad, A., Mirmohseni, A. & Bybordi, A. Superabsorbent hydrogel made of NaAlg-g-poly(AA-co-AAm) and rice husk ash: Synthesis, characterization, and swelling kinetic studies. Carbohydr. Polym. 168, 1–13 (2017).
Samanta, H. S. & Ray, S. K. Synthesis, characterization, swelling and drug release behavior of semi-interpenetrating network hydrogels of SA and polyacrylamide. Carbohydr. Polym. Jan. 99, 666–678 (2014).
Shi, X., Wang, W., Kang, Y. & Wang, A. Enhanced swelling properties of a novel SA-based superabsorbent composites: NaAlg-g-poly(NaA-co-St)/APT. J. Appl. Polym. Sci. 125, 1822–1832 (2012).
Yang, W. et al. Structural characterization, antioxidant and hypolipidemic activity of Grifola frondosa polysaccharides in novel submerged cultivation. Food Biosci. 42, 101187 (2021).
Mahmoud, M. E., Saleh, M. M., Zaki, M. M. & Nabil, G. M. A sustainable nanocomposite for removal of heavy metals from water based on crosslinked SA with iron oxide waste material from steel industry. J. Environ. Chem. Eng. 8, 104015 (2020).
Kosmulski, M. The pH dependent surface charging and points of zero charge. X. Update. Adv. Colloid Interface Sci. 319, 102973 (2023).
Xiong, Y., Liu, X. & Xiong, H. Aggregation modeling of the influence of pH on the aggregation of variably charged nanoparticles. Sci. Rep. 11, 17386 (2021).
Chen, M., Ni, Z., Shen, Y., Xiang, G. & Xu, L. Reinforced swelling and water-retention properties of super-absorbent hydrogel fabricated by a dual stretchable single network tactic. Colloid Surf. A-Physicochem Eng. Asp. 602, 125133 (2020).
Zhu, S., Wang, Z., Huang, F., Zhang, H. & Li, S. Hierarchical Cu(OH)2@Ni2(OH)2CO3 core/shell nanowire arrays in situ grown on three-dimensional copper foam for high-performance solid-state supercapacitors. J. Mater. Chem. A. 5 (20), 9960–9969 (2017).
Jiang, C. et al. Adsorption performance of a polysaccharide composite hydrogel based on crosslinked glucan/chitosan for heavy metal ions. Compos. Pt B-Eng. 169, 45–54 (2019).
Wadhawan, S., Jain, A., Nayyar, J. & Mehta, S. K. Role of nanomaterials as adsorbents in heavy metal ion removal from waste water: A review. J. Water Process. Eng. 33, 101038 (2020).
Crini, G., Peindy, H. N., Gimbert, F. & Robert, C. Removal of C.I. Basic green 4 (Malachite green) from aqueous solutions by adsorption using cyclodextrin-based adsorbent: kinetic and equilibrium studies. Sep. Purif. Technol. 53, 97–110 (2007).
Hu, H. et al. Nano-ZnO functionalized Biochar as a superhydrophobic biosorbent for selective recovery of low-concentration Re(VII) from strong acidic solutions. Min. Eng. 142, 105885 (2019).
Tanhaei, B., Ayati, A., Lahtinen, M. & Sillanpää, M. Preparation and characterization of a novel chitosan/Al2O3/magnetite nanoparticles composite adsorbent for kinetic, thermodynamic and isotherm studies of Methyl orange adsorption. Chem. Eng. J. 259, 1–10 (2015).
Shahmohammadi-Kalalagh, Babazadeh, H., Nazemi, A. H. & Manshouri, M. Isotherm and kinetic studies on adsorption of Pb, Zn and Cu by Kaolinite. Caspian Journal of Environmental Sciences ;9: 243 ~ 255. (2011).
Senthil Kumar, P. et al. Adsorption of metal ions onto the chemically modified agricultural waste. CLEAN. – Soil. Air Water. 40, 188–197 (2012).
Kataria, N. & Garg, V. K. Green synthesis of Fe3O4 nanoparticles loaded sawdust carbon for cadmium (II) removal from water: regeneration and mechanism. Chemosphere 208, 818–828 (2018).
Acknowledgements
The authors wish to express their gratitude for the technical support provided by the Department of Chemical Engineering and Biotechnology, National Taipei University of Technology, Taipei.
Funding
This research was funded by the Ministry of Science and Technology, Taiwan (grant number MOST 109-2221-E-027-076).
Author information
Authors and Affiliations
Contributions
Gui-Bing Hong: Conceptualization, writing original draft, investigation, visualization. Yue-Hui Lin: Conceptualization. Wang-De Lin: Conceptualization, supervision, resources, data analysis, methodology.
Corresponding author
Ethics declarations
Competing interests
The authors declare no competing interests.
Additional information
Publisher’s note
Springer Nature remains neutral with regard to jurisdictional claims in published maps and institutional affiliations.
Rights and permissions
Open Access This article is licensed under a Creative Commons Attribution-NonCommercial-NoDerivatives 4.0 International License, which permits any non-commercial use, sharing, distribution and reproduction in any medium or format, as long as you give appropriate credit to the original author(s) and the source, provide a link to the Creative Commons licence, and indicate if you modified the licensed material. You do not have permission under this licence to share adapted material derived from this article or parts of it. The images or other third party material in this article are included in the article’s Creative Commons licence, unless indicated otherwise in a credit line to the material. If material is not included in the article’s Creative Commons licence and your intended use is not permitted by statutory regulation or exceeds the permitted use, you will need to obtain permission directly from the copyright holder. To view a copy of this licence, visit http://creativecommons.org/licenses/by-nc-nd/4.0/.
About this article
Cite this article
Hong, GB., Lin, Yh. & Lin, WD. Heavy metal removal by hydrogel synthesized from rice bran/acrylic acid/sodium alginate. Sci Rep 15, 44484 (2025). https://doi.org/10.1038/s41598-025-28108-0
Received:
Accepted:
Published:
Version of record:
DOI: https://doi.org/10.1038/s41598-025-28108-0


















