Fig. 5
From: Prognostic value of ultrasonography findings in patients with cervical cancer

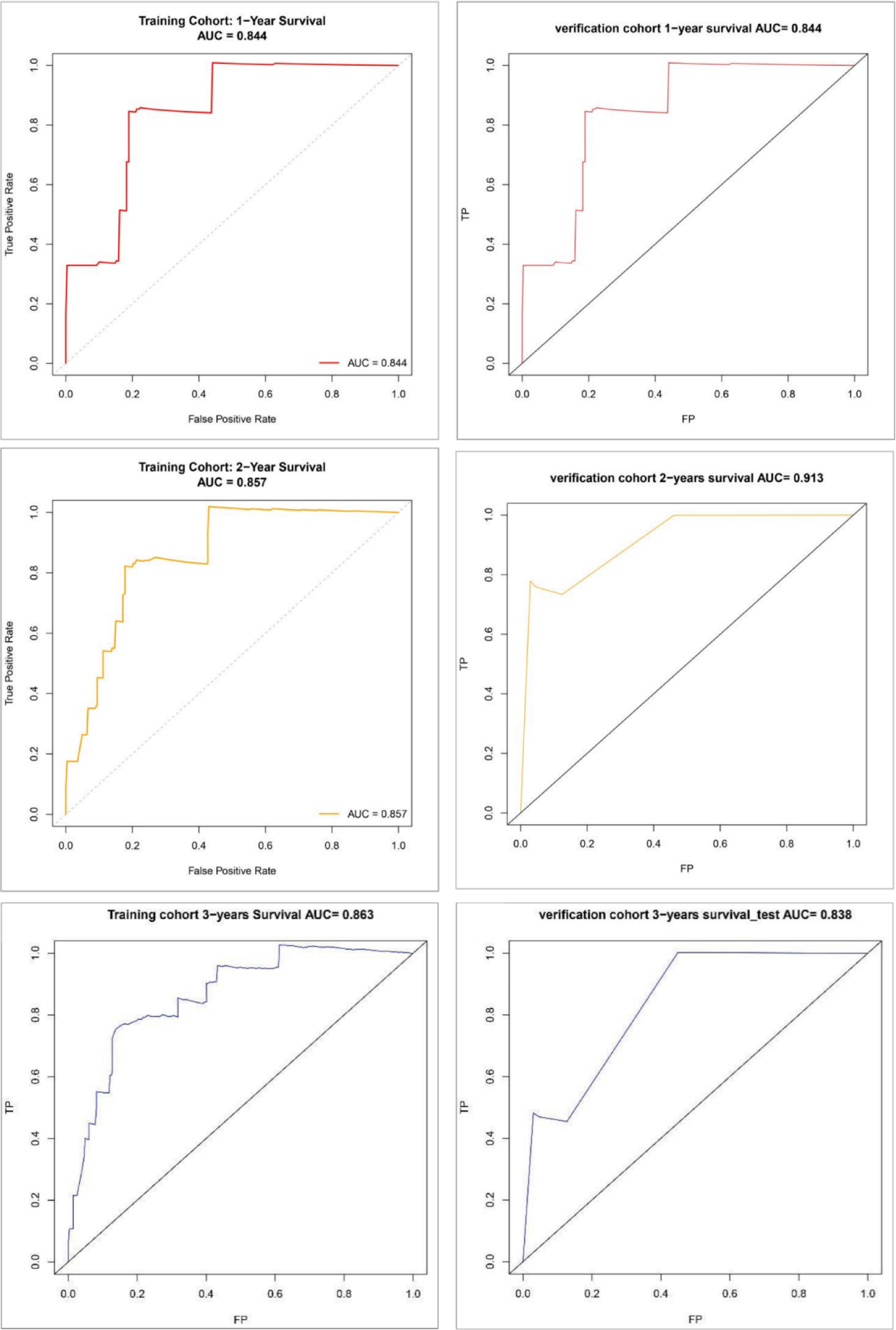
The training and validation cohorts prognostic model for 1, 2, and 3 years, each have ROC curves displayed.
From: Prognostic value of ultrasonography findings in patients with cervical cancer

The training and validation cohorts prognostic model for 1, 2, and 3 years, each have ROC curves displayed.